A Simple and Compact Laser Scattering Setup for Characterization of a Pulsed Low-Current Discharge
Abstract
:1. Introduction
2. Theoretical Considerations
Influence of Rotational Raman Scattering
3. Experimental Setup
3.1. Test Object
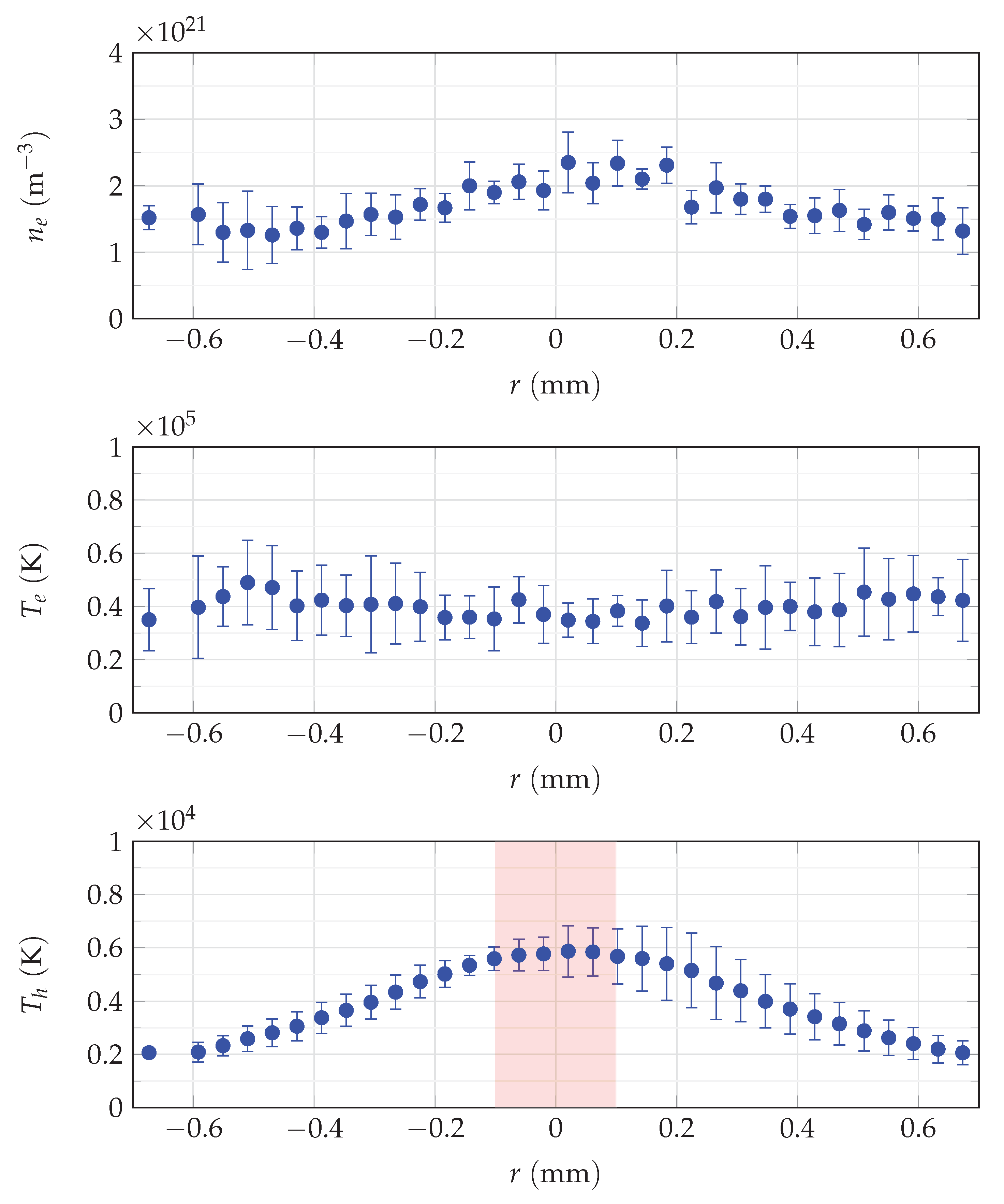
4. Results
5. Discussion of the Results
6. Conclusions and Outlook
Author Contributions
Funding
Institutional Review Board Statement
Informed Consent Statement
Data Availability Statement
Acknowledgments
Conflicts of Interest
Abbreviations
| CCD | Charge-coupled device |
| ICCD | Intensified charge-coupled device |
| RyS | Rayleigh scattering |
| ThS | Thomson scattering |
References
- Bruggeman, P.J.; Iza, F.; Brandenburg, R. Foundations of atmospheric pressure non-equilibrium plasmas. Plasma Sources Sci. Technol. 2017, 26, 123002. [Google Scholar] [CrossRef] [Green Version]
- Snoeckx, R.; Bogaerts, A. Plasma technology—A novel solution for CO2 conversion? Chem. Soc. Rev. 2017, 46, 5805–5863. [Google Scholar] [CrossRef] [PubMed] [Green Version]
- Hsu, C.C.; Wu, C.Y. Electrical characterization of the glow-to-arc transition of an atmospheric pressure pulsed arc jet. J. Phys. D Appl. Phys. 2009, 42, 215202. [Google Scholar] [CrossRef]
- Kruger, C.H.; Laux, C.O.; Yu, L.; Packan, D.M.; Pierrot, L. Nonequilibrium discharges in air and nitrogen plasmas at atmospheric pressure. Pure Appl. Chem. 2002, 74, 337–347. [Google Scholar] [CrossRef]
- Bogaerts, A.; Neyts, E.; Gijbels, R.; van der Mullen, J.J.A.M. Gas discharge plasmas and their applications. Spectrochim. Acta B 2002, 57, 609–658. [Google Scholar] [CrossRef]
- Weltmann, K.D.; Kolb, J.F.; Holub, M.; Uhrlandt, D.; Šimek, M.; Ostrikov, K.K.; Hamaguchi, S.; Cvelbar, U.; Černák, M.; Locke, B.; et al. The future for plasma science and technology. Plasma Process. Polym. 2019, 16, 1800118. [Google Scholar] [CrossRef] [Green Version]
- Kim, Y. Exploring emerging technologies with analysis of bibliographic data focused on plasma surface treatment. Coatings 2021, 11, 1291. [Google Scholar] [CrossRef]
- Cvelbar, U.; Walsh, J.L.; Černák, M.; de Vries, H.W.; Reuter, S.; Belmonte, T.; Corbella, C.; Miron, C.; Hojnik, N.; Jurov, A.; et al. White paper on the future of plasma science and technology in plastics and textiles. Plasma Process. Polym. 2017, 16, 1700228. [Google Scholar] [CrossRef] [Green Version]
- Aggelopoulos, C.A. Recent advances of cold plasma technology for water and soil remediation: A critical review. Chem. Eng. J. 2022, 428, 131657. [Google Scholar] [CrossRef]
- Mai-Prochnow, A.; Zhou, R.; Zhang, T.; Ostrikov, K.K.; Mugunthan, S.; Rice, S.A.; Cullen, P.J. Interactions of plasma-activated water with biofilms: Inactivation, dispersal effects and mechanisms of action. NPJ Biofilms Microbiomes 2021, 7, 11. [Google Scholar] [CrossRef]
- Machala, Z.; Tarabová, B.; Sersenová, D.; Janda, M.; Hensel, K. Chemical and antibacterial effects of plasma activated water: Correlation with gaseous and aqueous reactive oxygen and nitrogen species, plasma sources and air flow conditions. J. Phys. D Appl. Phys. 2019, 52, 034002. [Google Scholar] [CrossRef]
- Zeghioud, H.; Nguyen-Tri, P.; Khezami, L.; Amrane, A.; Assadi, A.A. Review on discharge plasma for water treatment: Mechanism, reactor geometries, active species and combined processes. J. Water Process. Eng. 2020, 38, 101664. [Google Scholar] [CrossRef]
- Lu, X. Effects of gas temperature and electron temperature on species concentration of air plasmas. J. Appl. Phys. 2007, 102, 033302. [Google Scholar] [CrossRef]
- Dorai, R.; Kushner, M.J. A model for plasma modification of polypropylene using atmospheric pressure discharges. J. Phys. D Appl. Phys. 2003, 36, 666–685. [Google Scholar] [CrossRef]
- Tanaka, Y. Time-dependent two-temperature chemically non-equilibrium modelling of high-power Ar-N2 pulse-modulated inductively coupled plasmas at atmospheric pressure. J. Phys. D Appl. Phys. 2006, 39, 307–319. [Google Scholar] [CrossRef]
- Muraoka, K.; Maeda, M. Laser-Aided Diagnostics of Plasmas and Gases; Series in Plasma Physics; Institute of Physics Publishing: Bristol, UK, 2001. [Google Scholar]
- Akishev, Y.; Grushin, M.; Karalnik, V.; Petryakov, A.; Trushkin, N. Non-equilibrium constricted dc glow discharge in N2 flow at atmospheric pressure: Stable and unstable regimes. J. Phys. D Appl. Phys. 2010, 43, 075202. [Google Scholar] [CrossRef]
- Akishev, Y.; Grushin, M.; Karalnik, V.; Petryakov, A.; Trushkin, N. On basic processes sustaining constricted glow discharge in longitudinal N2 flow at atmospheric pressure. J. Phys. D Appl. Phys. 2010, 43, 215202. [Google Scholar] [CrossRef]
- Benilov, M.S.; Naidis, G.V. Modelling of low-current discharges in atmospheric-pressure air taking account of non-equilibrium effects. J. Phys. D Appl. Phys. 2003, 36, 1834–1841. [Google Scholar] [CrossRef] [Green Version]
- Wang, W.Z.; Rong, M.Z.; Yan, J.D.; Murphy, A.B.; Spencer, J.W. Thermophysical properties of nitrogen plasmas under thermal equilibrium and non-equilibrium conditions. Phys. Plasmas 2011, 18, 113502. [Google Scholar] [CrossRef] [Green Version]
- Hübner, S.; Santos Sousa, J.; Graham, W.G.; van der Mullen, J.J.A.M. Thomson scattering on non-thermal atmospheric pressure plasma jets. Plasma Sources Sci. Technol. 2015, 24, 054005. [Google Scholar] [CrossRef] [Green Version]
- Murphy, A.B. Laser-scattering temperature measurements of a free-burning arc in nitrogen. J. Phys. D Appl. Phys. 1994, 27, 1492–1498. [Google Scholar] [CrossRef]
- Kühn-Kauffeldt, M.; Marques, J.L.; Forster, G.; Schein, J. Electron temperature and density measurement of tungsten inert gas arcs with Ar-He shielding gas mixture. J. Instrum. 2013, 8, C10017. [Google Scholar] [CrossRef]
- Thalman, R.; Zarzana, K.J.; Tolbert, M.A.; Volkamer, R. Rayleigh scattering cross-section measurements of nitrogen, argon, oxygen and air. J. Quant. Spectrosc. Radiat. Transf. 2014, 147, 171–177. [Google Scholar] [CrossRef]
- Muraoka, K.; Kono, A. Laser Thomson scattering for low-temperature plasmas. J. Phys. D Appl. Phys. 2011, 44, 043001. [Google Scholar] [CrossRef]
- van de Sande, M.J. Laser Scattering on Low Temperature Plasmas: High Resolution and Stray Light Rejection. Ph.D. Thesis, Technische Universiteit Eindhoven, Eindhoven, The Netherlands, 2002. [Google Scholar]
- van Gessel, A.F.H.; Carbone, E.A.D.; Bruggeman, P.J.; van der Mullen, J.J.A.M. Laser scattering on an atmospheric pressure plasma jet: Disentangling Rayleigh, Raman and Thomson scattering. Plasma Sources Sci. Technol. 2012, 21, 015003. [Google Scholar] [CrossRef]
- Kono, A.; Iwamoto, K. High-spatial-resolution multichannel Thomson scattering measurements for atmospheric pressure microdischarge. Jpn. J. Appl. Phys. 2004, 43, L1010. [Google Scholar] [CrossRef]
- Zhu, J.; Ehn, A.; Gao, J.; Kong, C.; Aldén, M.; Salewski, M.; Leipold, F.; Kusano, Y.; Li, Z. Translational, rotational, vibrational and electron temperatures of a gliding arc discharge. Opt. Express 2017, 25, 20243–20257. [Google Scholar] [CrossRef] [Green Version]
- Froula, D.H.; Glenzer, S.H.; Luhmann, N.C., Jr.; Sheffield, J. Plasma Scattering of Electromagnetic Radiation: Theory and Measurement Techniques; Elsevier Academic Press: Amsterdam, The Netherlands, 2011. [Google Scholar]
- Gregori, G.; Schein, J.; Schwendinger, P.; Kortshagen, U.; Heberlein, J.; Pfender, E. Thomson scattering measurements in atmospheric plasma jets. Phys. Rev. E 1999, 59, 2286–2291. [Google Scholar] [CrossRef]
- Narishige, S.; Kitamura, S.; Sakemi, S.; Tomita, K.; Uchino, K.; Muraoka, K.; Sakoda, T. Thomson scattering diagnostics of glow discharge plasmas produced in Raman active gases. Jpn. J. Appl. Phys. 2002, 41, 1259–1262. [Google Scholar] [CrossRef]
- Palomares, J.M.; Hübner, S.; Carbone, E.A.D.; de Vries, N.; van Veldhuizen, E.M.; Sola, A.; Gamero, A.; van der Mullen, J.J.A.M. Hβ Stark broadening in cold plasmas with low electron densities calibrated with Thomson scattering. Spectrochim. Acta B 2012, 73, 39–47. [Google Scholar] [CrossRef] [Green Version]
- Carbone, E.A.D.; Nijdam, S. Thomson scattering on non-equilibrium low density plasmas: Principles, practice and challenges. Plasma Phys. Control Fusion 2015, 57, 014026. [Google Scholar] [CrossRef]
- Continuum. Specification of Surelite I, II, III Series. 2002. Available online: https://amplitude-laser.com/wp-content/uploads/2019/03/Surelite-I-II-III_ref-d_BD.pdf (accessed on 13 March 2022).
- Evans, D.E.; Katzenstein, J. Laser light scattering in laboratory plasmas. Rep. Prog. Phys. 1969, 32, 207–271. [Google Scholar] [CrossRef]
- Jackson, J.D. Classical Electrodynamics, 3rd ed.; John Wiley & Sons Ltd.: Hoboken, NJ, USA, 1999. [Google Scholar]
- Carbone, E.A.D.; Hübner, S.; Iordanova, E.; Palomares, J.M.; van der Mullen, J.J.A.M. Revision of the criterion to avoid electron heating during Laser Aided Plasma Diagnostics (LAPD). J. Instrum. 2012, 7, C01016. [Google Scholar] [CrossRef]
- Palomares, J.M.; Iordanova, E.; Hübner, S.; Carbone, E.A.D.; van der Mullen, J.J.A.M. Towards poly-diagnostics on cool atmospheric plasmas. J. Instrum. 2012, 7, C02027. [Google Scholar] [CrossRef]
- Forster, G. Bestimmung von Parametern Thermischer Plasmen Mittels Thomsonstreuung. Ph.D. Thesis, Bundeswehr University Munich, Neubiberg, Germany, 1995. [Google Scholar]
- Compaan, A.; Wagoner, A.; Aydinli, A. Rotational Raman scattering in the instructional laboratory. Am. J. Phys. 1994, 62, 639–645. [Google Scholar] [CrossRef]
- Miles, R.B.; Lempert, W.R.; Forkey, J.N. Laser Rayleigh scattering. Meas. Sci. Technol. 2001, 12, R33–R51. [Google Scholar] [CrossRef]
- Kempkens, H.; Uhlenbusch, J. Scattering diagnostics of low-temperature plasmas (Rayleigh scattering, Thomson scattering, CARS). Plasma Sources Sci. Technol. 2000, 9, 492–506. [Google Scholar] [CrossRef]
- Hoess, P. 4 Picos Ultra High Speed ICCD Camera Brochure; Stanford Computer Optics Inc.: Berkeley, CA, USA, 2018. [Google Scholar]
- Szulc, M.; Forster, G.; Marques, J.L.; Schein, J. Spectroscopic characterization of a pulsed low-current high-voltage discharge operated at atmospheric pressure. Appl. Sci. 2022, 12, 6366. [Google Scholar] [CrossRef]
- Gao, L.; Feng, C.L.; Wang, Z.W.; Ding, H. High sensitive and high temporal and spatial resolved image of reactive species in atmospheric pressure surface discharge reactor by laser induced fluorescence. Rev. Sci. Instrum. 2017, 88, 053107. [Google Scholar] [CrossRef]
- Nilson, D.G.; Hill, D.N.; Evans, J.C.; Carlstrom, T.N.; Hsieh, C.L.; Stockdale, R.E. Thomson scattering stray light reduction techniques using a CCD camera. Rev. Sci. Instrum. 1997, 68, 704–707. [Google Scholar] [CrossRef] [Green Version]
- James, J.F. Spectrograph Design Fundamentals; Cambridge University Press: Cambridge, UK, 2007. [Google Scholar]
- Sutton, J.A.; Driscoll, J.F. Rayleigh scattering cross sections of combustion species at 266, 355 and 532nm for thermometry applications. Opt. Lett. 2004, 29, 2620–2622. [Google Scholar] [CrossRef] [PubMed]
- Griem, H.R.; Lovberg, R.H. Plasma Physics; Methods in Experimental Physics; Academic Press Inc.: New York, NY, USA, 1970; Volume 9A. [Google Scholar]
- Dowling, D.P.; O’Neill, F.T.; Langlais, S.J.; Law, V.J. Influence of a DC pulsed atmospheric pressure plasma jet processing conditions on polymer activation. Plasma Process. Polym. 2011, 8, 718–727. [Google Scholar] [CrossRef] [Green Version]
- Kewitz, T.; Fröhlich, M.; von Frieling, J.; Kersten, H. Investigation of a commercial atmospheric pressure plasma jet by a newly designed calorimetric probe. IEEE Trans. Plasma Sci. 2015, 43, 1769–1773. [Google Scholar] [CrossRef]
- Korzec, D.; Nettesheim, S. Application of a pulsed atmospheric arc plasma jet for low-density polyethylene coating. Plasma Process. Polym. 2020, 17, 1900098. [Google Scholar] [CrossRef]
- Wiegand, C.; Beier, O.; Horn, K.; Pfuch, A.; Tölke, T.; Hipler, U.C.; Schimanski, A. Antimicrobial impact of cold atmospheric pressure plasma on medical critical yeasts and bacteria cultures. Skin Pharmacol. Physiol. 2014, 27, 25–35. [Google Scholar] [CrossRef]
- Köhler, R.; Sauerbier, P.; Militz, H.; Viöl, W. Atmospheric pressure plasma coating of wood and MDF with polyester powder. Coatings 2017, 7, 171. [Google Scholar] [CrossRef] [Green Version]
- Korzec, D.; Burger, D.; Nettesheim, S. Plasma activation from roll to roll. Adhes. Adhes. Sealants 2015, 12, 36–40. [Google Scholar] [CrossRef]
- Szulc, M.; Schein, S.; Schaup, J.; Schein, J.; Zimmermann, S. Suitability of thermal plasmas for large-area bacteria inactivation on temperature-sensitive surfaces—First results with Geobacillus stearothermophilus spores. J. Phys. Conf. Ser. 2017, 825, 012017. [Google Scholar] [CrossRef] [Green Version]
- Wallenhorst, L. Protective Particle Coatings Applied by Cold Plasma Spraying. Ph.D. Thesis, Georg-August University School of Science, Göttingen, Germany, 2017. [Google Scholar]
- Reece Roth, J. Industrial Plasma Engineering—Volume 1: Principles; Institute of Physics Publishing: Bristol, UK, 1995. [Google Scholar]
- Orrière, T.; Moreau, E.; Pai, D.Z. Ionization and recombination in nanosecond repetitively pulsed microplasmas in air at atmospheric pressure. J. Phys. D Appl. Phys. 2018, 51, 494002. [Google Scholar] [CrossRef]
- Pai, D.Z.; Lacoste, D.A.; Laux, C.O. Nanosecond repetitively pulsed discharges in air at atmospheric pressure—The spark regime. Plasma Sources Sci. Technol. 2010, 19, 065015. [Google Scholar] [CrossRef]
- Pai, D.Z.; Lacoste, D.A.; Laux, C.O. Transitions between corona, glow and spark regimes of nanosecond repetitively pulsed discharges in air at atmospheric pressure. J. Appl. Phys. 2010, 107, 093303. [Google Scholar] [CrossRef]
- Lo, A.; Cessou, A.; Lacour, C.; Lecordier, B.; Boubert, P.; Xu, D.A.; Laux, C.O.; Vervisch, P. Streamer-to-spark transition initiated by a nanosecond overvoltage pulsed discharge in air. Plasma Sources Sci. Technol. 2017, 26, 045012. [Google Scholar] [CrossRef]
- Gröger, S.; Ramakers, M.; Hamme, M.; Medrano, J.A.; Bibinov, N.; Gallucci, F.; Bogaerts, A.; Awakowicz, P. Characterization of a nitrogen gliding arc plasmatron using optical emission spectroscopy and high-speed camera. J. Phys. D Appl. Phys. 2018, 52, 065201. [Google Scholar] [CrossRef] [Green Version]
- Becker, K.H.; Kogelschatz, U.; Schoenbach, K.H.; Barker, R.J. Non-Equilibrium Air Plasmas at Atmospheric Pressure; Plasma Physics; Institute of Physics Publishing: Bristol, UK, 2005. [Google Scholar]
- Kong, C.; Gao, J.; Zhu, J.; Ehn, A.; Aldén, M.; Li, Z. Re-igniting the afterglow plasma column of an AC powered gliding arc discharge in atmospheric-pressure air. Appl. Phys. Lett. 2018, 112, 264101. [Google Scholar] [CrossRef]
- Hontañón, E.; Palomares, J.M.; Stein, M.; Guo, X.; Engeln, R.; Nirschl, H.; Kruis, F.E. The transition from spark to arc discharge and its implications with respect to nanoparticle production. J. Nanopart. Res. 2013, 15, 1957. [Google Scholar] [CrossRef]
- Kalra, C.S.; Cho, Y.I.; Gutsol, A.; Fridman, A.A.; Rufael, T.S. Gliding arc in tornado using a reverse vortex flow. Rev. Sci. Instrum. 2005, 76, 025110. [Google Scholar] [CrossRef]
- Czernichowski, A.; Nassar, H.; Ranaivosoloarimanana, A.; Fridman, A.A.; Šimek, M.; Musiol, K.; Pawelec, E.; Dittrichova, L. Spectral and electrical diagnostics of gliding arc. Acta Phys. Pol. 1996, 89, 595–603. [Google Scholar] [CrossRef]
- Gutsol, A.; Kossitsyn, M.; Fridman, A.A. Generation and diagnostics of non-equilibrium plasma in gliding arc discharge. In Proceedings of the Electronic proceedings of 16th International Symposium on Plasma Chemistry, Taormina, Italy, 22–27 June 2003. [Google Scholar]
- Mutaf-Yardimci, O.; Saveliev, A.V.; Fridman, A.A.; Kennedy, L.A. Thermal and nonthermal regimes of gliding arc discharge in air flow. J. Appl. Phys. 2000, 87, 1632–1641. [Google Scholar] [CrossRef]
- Machala, Z.; Laux, C.O.; Kruger, C.H.; Candler, G.V. Atmospheric air and nitrogen DC glow discharges with thermionic cathodes and swirl flow. In Proceedings of the 42nd AIAA Aerospace Sciences Meeting and Exhibit, Reno, NV, USA, 5–8 January 2004. [Google Scholar]
- Lebouvier, A.; Delalondre, C.; Fresnet, F.; Boch, V.; Rohani, V.; Cauneau, F.; Fulcheri, L. Three-dimensional unsteady MHD modeling of a low-current high-voltage nontransferred DC plasma torch operating with air. IEEE Trans. Plasma Sci. 2011, 39, 1889–1899. [Google Scholar] [CrossRef] [Green Version]
- Kubota, Y.; Ichiki, R.; Hara, T.; Yamaguchi, N.; Takemura, Y. Spectroscopic analysis of nitrogen atmospheric plasma jet. J. Plasma Fusion Res. 2009, 8, 740–743. [Google Scholar]
- Kehrer, M.; Duchoslav, J.; Hinterreiter, A.; Mehic, A.; Stehrer, T. Surface functionalization of polypropylene using a cold atmospheric pressure plasma jet with gas water mixtures. Surf. Coat. Technol. 2020, 384, 125170. [Google Scholar] [CrossRef]
- Kewitz, T.; Regula, C.; Fröhlich, M.; Ihde, J.; Kersten, H. Influence of the nozzle head geometry on the energy flux of an atmospheric pressure plasma jet. EPJ Tech. Instrum. 2021, 8, 1. [Google Scholar] [CrossRef]
- Pulpytel, J.; Kumar, V.; Peng, P.; Micheli, V.; Laidani, N.; Arefi-Khonsari, F. Deposition of organosilicon coatings by a non-equilibrium atmospheric pressure plasma jet: Design, analysis and macroscopic scaling law of the process. Plasma Process. Polym. 2011, 8, 664–675. [Google Scholar] [CrossRef]







Publisher’s Note: MDPI stays neutral with regard to jurisdictional claims in published maps and institutional affiliations. |
© 2022 by the authors. Licensee MDPI, Basel, Switzerland. This article is an open access article distributed under the terms and conditions of the Creative Commons Attribution (CC BY) license (https://creativecommons.org/licenses/by/4.0/).
Share and Cite
Szulc, M.; Forster, G.; Marques-Lopez, J.-L.; Schein, J. A Simple and Compact Laser Scattering Setup for Characterization of a Pulsed Low-Current Discharge. Appl. Sci. 2022, 12, 6915. https://doi.org/10.3390/app12146915
Szulc M, Forster G, Marques-Lopez J-L, Schein J. A Simple and Compact Laser Scattering Setup for Characterization of a Pulsed Low-Current Discharge. Applied Sciences. 2022; 12(14):6915. https://doi.org/10.3390/app12146915
Chicago/Turabian StyleSzulc, Michał, Günter Forster, Jose-Luis Marques-Lopez, and Jochen Schein. 2022. "A Simple and Compact Laser Scattering Setup for Characterization of a Pulsed Low-Current Discharge" Applied Sciences 12, no. 14: 6915. https://doi.org/10.3390/app12146915
APA StyleSzulc, M., Forster, G., Marques-Lopez, J.-L., & Schein, J. (2022). A Simple and Compact Laser Scattering Setup for Characterization of a Pulsed Low-Current Discharge. Applied Sciences, 12(14), 6915. https://doi.org/10.3390/app12146915

