Abstract
Iontophoresis technology could improve the efficiency of transdermal drug delivery through the skin and be a promising prospective tool for clinical drug therapy in the near future. Surface-enhanced Raman spectroscopy (SERS) was used to analyze the concentration distribution of penicillin sodium in the skin of a mice model, and the iontophoresis delivery efficiency of drug percutaneous permeation was evaluated with various times and concentrations of penicillin sodium through Raman spectra. The results showed both the action time and drug concentration for iontophoresis can deeply influence transdermal drug delivery effects, and the Raman spectrum might be an effective method to evaluate transdermal drug delivery efficiency.
1. Introduction
The transdermal drug delivery system (TDDS) allows drugs to pass through the skin at a certain rate and enter the systemic circulation through the deep blood capillary. TDDS avoids the first-pass metabolism of the drug in the liver and can maintain a stable concentration of drugs in the blood [1]. However, the delivery efficiency of drugs across the skin is low due to the complex composition and structure of the skin, which is composed of lipophilic stratum corneum (SC), hydrophilic epidermis, and dermis [2]. Physical technologies, such as iontophoresis [3], laser ablation [4], micro-needles [5], and ultrasound, have been used to enhance drug delivery efficiency across skin [6].
The iontophoresis technology is based on the general principle that charges repel each other. During iontophoresis, if delivery of a positively charged drug (D+) is desired, the charged drug is dissolved in the electrolyte surrounding the electrode of similar polarity [3]. Under electromotive force, the drug is repelled and moves across the stratum corneum toward another electrode placed on the skin. Thus, with little affinity for lipids and good electric mobility, water-soluble hydrophilic/charged molecules are poor candidates for passive delivery but are ideally suited to electrically assisted transport across the skin [7]. A relevant study showed that the permeation effect of ionic drugs and polypeptide molecules is prominent with iontophoresis technology [8]. However, as for iontophoresis of high current densities, researchers have strived for the balance between achieving increased delivery across the stratum corneum and protecting deeper tissues from damage [9]. Some related studies have demonstrated that transient side effects are a normal consequence of this usage and that the current density at the electrode (not more than 1.3 mA·cm−2) and action time (20 min is the recommended time) need to be adjusted according to the specific circumstances of each case [10].
Many studies devote iontophoretic drug delivery to promoting the permeation of different drugs in different pathologic conditions; salbutamol [11] and acyclovir [12] were delivered as iontophoretic drugs in early studies. At present, more kinds of drugs are delivered by iontophoresis for improving treatment effects, such as ocular drugs [13], propranolol [14], biological macromolecular drugs [15], etc. Scars can be treated with iontophoresis, in which cathodal iontophoresis enhances the delivery of sodium fluorescein across the scar skin epidermis by approximately 46 folds, meaning iontophoresis could be utilized to overcome the barrier resistance of the scar skin epidermis and treat scars regionally [16]. Micro-needles or ultrasound have been combined with iontophoresis for the transdermal delivery of drugs [17,18]. However, despite being a key index to evaluate the therapeutic effect of a drug, drug concentration in the skin is difficult to accurately measure. At the same time, some traditional methods are utilized to analyze the drug concentration on the skin, such as high-performance liquid chromatography (HPLC) [19] and mass spectrometry (MS) [20]. By using penicillin V as the internal standard, Liu [21] developed and validated the method applied in the determination of amoxicillin and penicillin G (determined mean levels were 287/320 ng·mL−1) and their major metabolites in bovine milk samples using ultra-high-performance liquid chromatography–tandem mass spectrometry (UHPLC–MS/MS). However, these methods showed some limitations involving low sensitivity, time-consuming procedures, and complex sample preparation. Raman spectroscopy can provide information at the molecular level as a measurement and analysis method [22]. The intensities of Raman characteristic peaks are related to the concentrations of the corresponding molecules in samples [18,23]. Chen [24] detected the residue of penicillin G in milk using Raman spectroscopy with a detection limit of 0.85 μg·kg−1. It has been well-documented that Raman spectroscopy is suitable for the acquisition of qualitative permeation profiles [25], but a comprehensive investigation regarding its suitability for quantitative effect evaluations of drug iontophoresis permeation remains to be conducted.
Based on all these premises, in this study, we explored the SERS method for quantitatively analyzing the influence of iontophoresis action time and drug concentration on the permeation effect for penicillin sodium.
2. Method
2.1. Materials and Device
Materials: male hairless mice (BALB/C, 7 weeks old) were purchased from Jess jaguar experimental animals Co. LTD (Shanghai, China) and kept in a professional animal breeding room at 25 ± 2 °C. Penicillin sodium, AgNO3, and sodium citrate were purchased from Bangsheng chemical Co. LTD (Shijiazhuang, China). Inhalation anesthesia machine was used for animals (Ohio Medical, Gurnee, IL, USA). Confocal Raman spectrometer (LabRAM HR Evolution, Horiba, Longjumeau, French) was used.
Device: The drug delivery iontophoresis device was composed of a battery, control circuit board, electrodes, and drug storage tanks. The shell of the drug delivery iontophoresis device was made using 3D printing, and the device model is shown in Figure 1. Gelatin-based hydrogels with high hygroscopicity and low toxicity [26,27,28] were linked with the electrode and attached to the surface of the skin in this study (current density, 0.38 ± 0.02 mA·cm−2).
Figure 1.
The model diagram of the drug delivery iontophoresis device.
2.2. Experimental Method
The experiment was divided into four steps:
The first step: Silver sol was prepared by reduction of sodium citrate [29]. First, a 200 mL water solution containing 0.036 g AgN03 was heated to a slightly boiling state, and then, a sodium citrate solution with a concentration of 4 mL 1% was added rapidly under agitation. The solution was kept slightly boiling for 40 min, then cooled to room temperature. The solution changed from originally colorless to grey-green.
The second step: First, we configured three different concentrations of penicillin sodium solutions (0.48 g·mL−1, 0.24 g·mL−1, and 0.16 g·mL−1) for subsequent Raman measurements and experimental use. Then, by inhaling isoflurane and oxygen mixture (2% isoflurane, oxygen flow 2 L·min−1), untreated mice were generally anesthetized and fixed.
The third step: The experiments we carried out had two aspects. One aspect was transdermal drug delivery without iontophoresis (Group A), and another aspect was transdermal drug delivery with iontophoresis. In drug natural permeation experiments without iontophoresis (Group A), the control circuit board of the device was not energized, the drug storage tank was filled with 0.16 g·mL−1 of penicillin sodium solution, and the natural permeation time was 20 min. For drug permeation experiments with iontophoresis, the control circuit board of the device was energized.
To observe the effects of different variables on the iontophoresis penetration effect, we divided the iontophoresis drug penetration experiments into 5 groups: When the iontophoresis time was the same (20 min), different concentrations of penicillin sodium solution (0.16 g·mL−1, 0.24 g·mL−1, and 0.48 g·mL−1) were used as experimental variables, corresponding to Group B, Group C, and Group D, respectively; when the concentration of penicillin sodium solution was the same (0.16 g·mL−1), different action times (20 min, 30 min, and 40 min) were selected as experimental variables, corresponding to Group B, Group E, and Group F respectively.
The fourth step: After the permeation experiments in the third step, due to the negatively charged penicillin ions in the penicillin sodium solution [30], the mouse skins were excised on the attachment site of the cathode hydrogel on the mouse back. After removing the subcutaneous fat carefully and checking for integrity, these mouse skins were kept at 4 °C for the Raman measurement experiment.
2.3. SERS Measurement
Raman spectra were collected using a Raman microscope equipped with a 50× objective and a 633 nm excitation light source, where the initial parameters were configured as follows: exciting power of 3.3 mW (10% of the maximum power of the light source), resolution of 1 cm−1, acquisition time of 10 s, and spectral range from 400 to 1800 cm−1. Each sample was measured for five parallel spectra from different spots to reduce random error. In the Raman spectrum measuring instrument, as shown in Figure 2, the skin was soaked in silver sol to enhance the measurement of the Raman spectrum.
Figure 2.
The experimental instrument for Raman measurement.
3. Results
To visualize the presence of penicillin sodium in mouse skins after drug penetration experiments (Figure 3), we measured and compared the Raman spectra of the three experimental groups: three different concentrations of the penicillin sodium solution (0.16 g·mL−1, 0.24 g·mL−1, and 0.48 g·mL−1), untreated mouse skins, and mouse skins of small mice after conducting iontophoresis drug penetration experiments (Group A).
Figure 3.
The Raman spectra of three different concentrations of penicillin sodium solution (0.16 g·mL−1, 0.24 g·mL−1, and 0.48 g·mL−1), and the Raman spectrum of the mouse skin after the drug permeation experiment without iontophoresis.
In Figure 3, the shaded bands are the characteristic peak bands selected in the spectral analysis, and their tentative attributions were marked in the figure according to the explanation in Table 1.
Table 1.
Tentative Raman spectral peak assignments for penicillin sodium solution and the skins of mice [31,32].
For the Raman spectrum of the untreated skin of mice in Figure 3, the peak at 1003 cm−1 was assigned to phenylalanine, and the keratin conformation structure was seen through the amide I (1658 cm−1) and amide III (1194 cm−1 and 1236 cm−1) peaks. The peak at 1446 cm−1 was related to proteins and/or lipids. For the Raman spectra of the three different concentrations of the penicillin sodium solution (0.16 g·mL−1, 0.24 g·mL−1, and 0.48 g·mL−1) in Figure 3, the Raman characteristic peaks of the penicillin sodium solution were located at 847 cm−1, 1002 cm−1, 1032 cm−1, 1373 cm−1, and 1597 cm−1. The peaks at 1002, 1032, 1373, and 1597 cm−1 were attributed to the stretching vibration of the benzene ring, O-CH3 stretching of methoxy groups, in-plane deformation of COH and CH2, and the oscillation of the carboxyl group, respectively. For the Raman spectrum of the mouse skin after the drug permeation experiment without iontophoresis (Group A) in Figure 3, it can be viewed as a superposition of the Raman spectrum of untreated mouse skin with the Raman spectra of the penicillin sodium solution.
For the experimental groups with different concentrations of the penicillin sodium solution and the same action time (Group B, Group C, and Group D), compared with the Raman spectrum of the mouse skin after the drug permeation experiment without iontophoresis (Group A), the Raman spectral distribution was similar, but there were differences in the height (intensity) of some characteristic peaks. As shown in Figure 4, the peak at 1597 cm−1 significantly changed with the increase in drug concentration in Group B, Group C, and Group D compared with other peaks marked in Figure 4. The peaks (570, 1194, 1236, and 1446 cm−1) had virtually no significant change, and the differences in our intuitive observations were due to the relative changes caused by the change in the peak intensity at 1597 cm−1.
Figure 4.
The comparison between the Raman spectra of groups of the mouse skin after drug permeation experiment with iontophoresis (different concentrations of penicillin sodium solution and the same action time) and the Raman spectrum of the mouse skin after drug permeation experiment without iontophoresis (0.16 g·mL−1 and 20 min).
For the experimental groups with different action times and the same concentrations of the penicillin sodium solution (Group B, Group E, and Group F), compared with the Raman spectrum of the mouse skin after the drug permeation experiment without iontophoresis (Group A), the Raman spectral distributions were similar, but there were also differences in the height (intensity) of some characteristic peaks. As shown in Figure 5, the peak at 1597 cm−1 slightly changed with the increase in action time in Group B, Group E, and Group F compared with other peaks marked in Figure 5.
Figure 5.
The comparison between the Raman spectra of groups of the mouse skin after drug permeation experiment with iontophoresis (different action times and the same concentrations of penicillin sodium solution) and the Raman spectrum of the mouse skin after drug permeation experiment without iontophoresis (0.16 g·mL−1 and 20 min).
4. Discussion
Based on the attribution analysis of the characteristic peaks of the Raman spectra for the drug-associated mouse skins and the other mouse skins in Figure 3 and Table 1, there were overlaps between the characteristic peaks in the Raman spectra of the penicillin sodium solution and the Raman spectra of the mouse skin. Five stable and highly differentiated characteristic peaks were selected for the experimental analysis: 570 cm−1, 1194 cm−1, 1236 cm−1, and 1446 cm−1 represent mouse skins, and 1597 cm−1 represents the penicillin sodium solution.
For the experimental groups in Figure 4 and Figure 5, the integral intensities of the above-mentioned five spectral peaks were obtained after spectrum fitting, as shown in Table 2.
Table 2.
Corresponding Raman spectral characteristic peak intensities after resolution of overlapped peaks.
The intensity ratios of the spectral peaks were used to further analyze the enhanced permeation effect for different concentrations of the penicillin sodium solution and different action times. The ratios of spectral peak intensities (heights or areas) were applied for the quantitative analysis [33,34], which included the drug quantitative determination inside skin [35]. Combining the above analysis and data, four spectral peak intensity ratios (1597 cm−1/570 cm−1, 1597 cm−1/1194 cm−1, 1597 cm−1/1236 cm−1, and 1597 cm−1/1446 cm−1) was selected as the reference factors to measure the enhanced permeation effect, as shown in Table 3.
Table 3.
The intensity ratios of corresponding spectral peaks (1597 cm−1/570 cm−1, 1597 cm−1/1194 cm−1, 1597 cm−1/1236 cm−1, and 1597 cm−1/1446 cm−1) for Raman spectra of each experimental group.
As shown in Figure 6, compared with Group A, the penetration enhancement effect of Groups B, C, and D had the same increasing trend, which was noted by observing the ratios of the corresponding spectral peaks (1597 cm−1/570 cm−1, 1597 cm−1/1194 cm−1, 1597 cm−1/1236 cm−1, and 1597 cm−1/1446 cm−1). However, with the increasing concentration of the penicillin sodium solution, the enhancement trend slowed down. The ratio of the corresponding spectral peaks at 1597 cm−1/1446 cm−1 was more obvious.
Figure 6.
The intensity ratios of corresponding spectral peaks (1597 cm−1/570 cm−1, 1597 cm−1/1194 cm−1, 1597 cm−1/1236 cm−1, and 1597 cm−1/1446 cm−1) and the enhanced permeation effects of drug permeation experiment groups with iontophoresis (B: 0.16 g·mL−1 and 20 min; C: 0.24 g·mL−1 and 20 min; D: 0.48 g·mL−1 and 20 min) were compared with the enhanced permeation effect of drug permeation experiment without iontophoresis (A: 0.16 g·mL−1 and 20 min). All results are expressed as mean ± S.E.
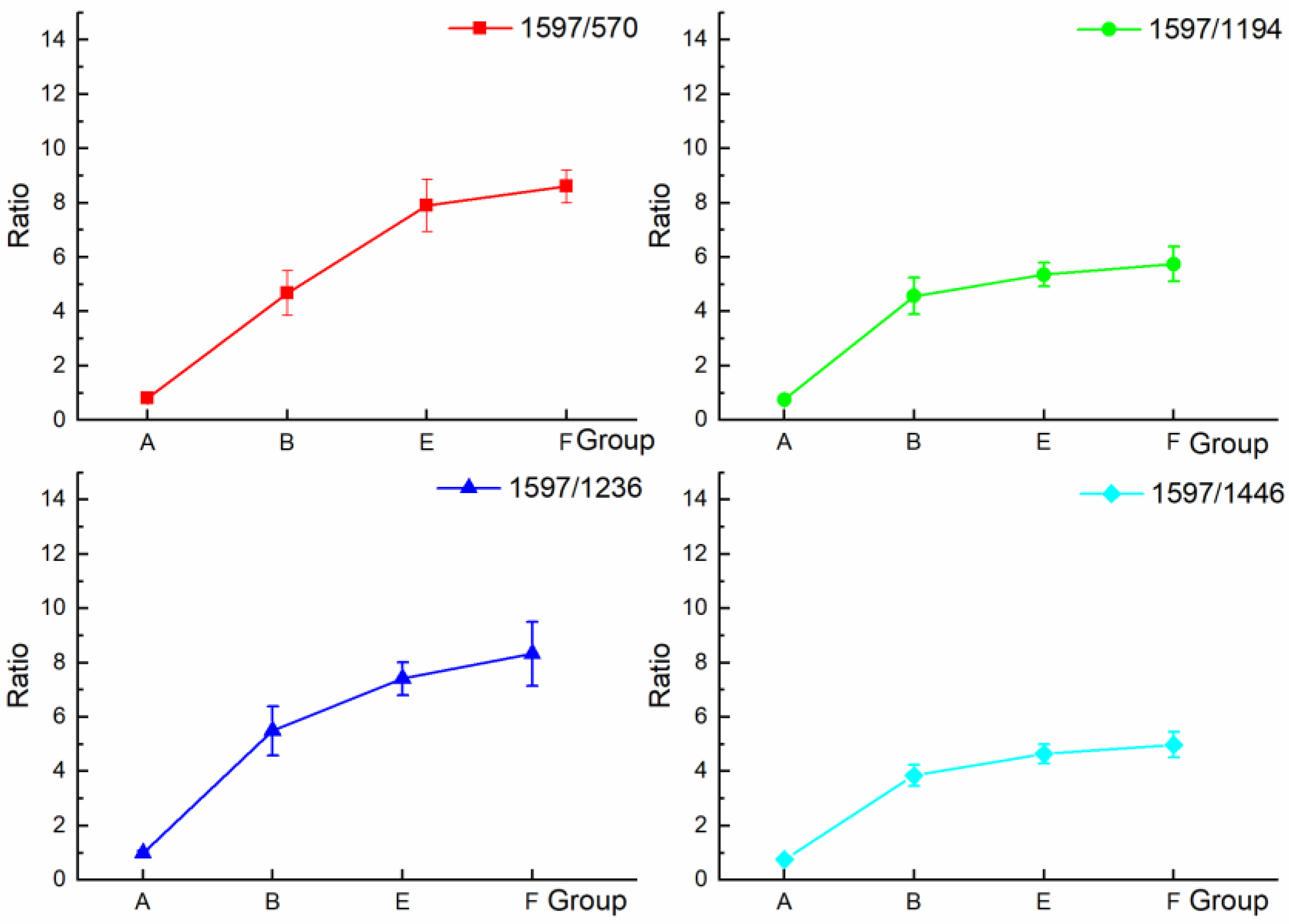
As shown in Figure 7, compared with Group A, the penetration enhancement effect of Groups B, E, and F had the same increasing trend, which was noted by observing the ratios of the corresponding spectral peaks (1597 cm−1/570 cm−1, 1597 cm−1/1194 cm−1, 1597 cm−1/1236 cm−1, and 1597 cm−1/1446 cm−1). However, the enhancement trends with the increase in action time were slower than those with different concentrations of the penicillin sodium solution. The performance was more evident in the ratio of the corresponding spectral peak of 1597 cm−1/1446 cm−1.
Figure 7.
The intensity ratios of corresponding spectral peaks (1597 cm−1/570 cm−1, 1597 cm−1/1194 cm−1, 1597 cm−1/1236 cm−1, and 1597 cm−1/1446 cm−1) and the enhanced permeation effects of drug permeation experiment groups with iontophoresis (B: 0.16 g·mL−1 and 20 min; E: 0.16 g·mL−1 and 30 min; F: 0.16 g·mL−1 and 40 min) were compared with the enhanced permeation effect of drug permeation experiment without iontophoresis (A: 0.16 g·mL−1 and 20 min). All results are expressed as mean ± S.E.
5. Conclusions
The results indicated that iontophoresis can effectively enhance the transdermal permeation of a penicillin sodium solution, and that the SERS method is an effective, simple, sensitive, and rapid method with no chemical reagent pollution for analyzing the concentrations of drugs in skin studied with iontophoresis. By analyzing the obtained enhancement ratios of iontophoresis with different times and drug concentrations, it can be concluded that there is a certain upper limit for the drug concentration and action time used in the enhancement of the percutaneous permeation of penicillin sodium solutions; in the paper, the upper limits were determined to be approximately 0.48 g·mL−1 and 40 min, respectively.
Author Contributions
Conceptualization, S.L. (Shupeng Liu), K.F. and N.C.; methodology, X.B., J.B. and S.L. (Shuyang Li); validation, S.L. (Shuyang Li) and J.B.; formal analysis, X.B.; resources, K.F. and S.L. (Shupeng Liu); writing—original draft preparation, X.B. and J.B.; writing—review and editing, S.L. (Shupeng Liu), K.F. and S.L. (Shuyang Li); supervision, N.C. and S.L. (Shupeng Liu); funding acquisition, N.C. All authors have read and agreed to the published version of the manuscript.
Funding
This work was funded by the National Natural Science Foundation of China (NSFC) (62175142, 61875118).
Institutional Review Board Statement
This work was approved by the Ethics Committee of Shanghai University, approval code: ECSHU 2021-106 (date: 5 March 2021).
Informed Consent Statement
Not applicable.
Conflicts of Interest
The authors declare that they have no conflict of interest.
References
- Jhawat, V.C.; Saini, V.; Kamboj, S.; Maggon, N. Transdermal drug delivery systems: Approaches and advancements in drug absorption through skin. Int. J. Pharm. Sci. Rev. Res. 2013, 20, 47–56. [Google Scholar]
- Bolzinger, M.A.; Briançon, S.; Pelletier, J.; Chevalier, Y. Penetration of drugs through skin, a complex rate-controlling membrane. Curr. Opin. Colloid Interface Sci. 2012, 17, 156–165. [Google Scholar] [CrossRef]
- Wang, Y.; Thakur, R.; Fan, Q.; Michniak, B. Transdermal iontophoresis: Combination strategies to improve transdermal iontophoretic drug delivery. Eur. J. Pharm. Biopharm. 2005, 60, 179–191. [Google Scholar] [CrossRef] [PubMed]
- Garvie-Cook, H.; Stone, J.M.; Yu, F.; Guy, R.H.; Gordeev, S. Femtosecond pulsed laser ablation to enhance drug delivery across the skin. J. Biophotonics 2016, 9, 144–154. [Google Scholar] [CrossRef]
- Singh, A.; Yadav, S. Microneedling: Advances and widening horizons. Indian Dermatol. Online J. 2016, 7, 244. [Google Scholar]
- Prausnitz, M.R.; Langer, R. Transdermal drug delivery. Nat. Biotechnol. 2008, 26, 1261. [Google Scholar] [CrossRef]
- Singh, P.; Maibach, H.I. Iontophoresis in drug delivery: Basic principles and applications. Crit. Rev. Ther. Drug Carr. Syst. 1994, 11, 161–213. [Google Scholar]
- Kanikkannan, N. Iontophoresis-based transdermal delivery systems. BioDrugs 2002, 16, 339–347. [Google Scholar] [CrossRef]
- Sieg, A.; Wascotte, V. Diagnostic and therapeutic applications of iontophoresis. J. Drug Target. 2009, 17, 690–700. [Google Scholar] [CrossRef]
- Nitsche, M.A.; Cohen, L.G.; Wassermann, E.M.; Priori, A.; Lang, N.; Antal, A.; Pascual-Leone, A. Transcranial direct current stimulation: State of the art 2008. Brain Stimul. 2008, 1, 206–223. [Google Scholar] [CrossRef]
- Bannon, Y.B.; Corish, J.; Corrigan, O.I.; Masterson, J.G. Iontophoretically induced transdermal delivery of salbutamol. Drug Dev. Ind. Pharm. 1988, 14, 2151–2166. [Google Scholar] [CrossRef]
- Volpato, N.M.; Santi, P.; Colombo, P. Iontophoresis enhances the transport of acyclovir through nude mouse skin by electrorepulsion and electroosmosis. Pharm. Res. 1995, 12, 1623–1627. [Google Scholar] [CrossRef] [PubMed]
- Chopra, P.; Hao, J.; Li, S.K. Iontophoretic transport of charged macromolecules across human sclera. Int. J. Pharm. 2010, 388, 107–113. [Google Scholar] [CrossRef] [Green Version]
- Teong, B.; Kuo, S.; Tsai, W.H.; Ho, M.L.; Chen, C.H.; Huang, H. Liposomal encapsulation for systemic delivery of propranolol via transdermal iontophoresis improves bone microarchitecture in ovariectomized rats. Int. J. Mol. Sci. 2017, 18, 822. [Google Scholar] [CrossRef] [Green Version]
- Hasan, M.; Khatun, A.; Kogure, K. Iontophoresis of Biological Macromolecular Drugs. Pharmaceutics 2022, 14, 525. [Google Scholar] [CrossRef]
- Manda, P.; Angamuthu, M.; Hiremath, S.R.; Raman, V.; Murthy, S.N. Iontophoretic drug delivery for the treatment of scars. J. Pharm. Sci. 2014, 103, 1638–1642. [Google Scholar] [CrossRef]
- Junaid, M.; Banga, A. Transdermal Delivery of Baclofen Using Iontophoresis and Microneedles. AAPS Pharm. Sci. Tech. 2022, 23, 84. [Google Scholar] [CrossRef] [PubMed]
- Liu, S.P.; Bao, X.; Zhang, S.B.; Zhang, H.; Lu, X.; Li, T.; Chen, Z.Y.; Chen, N. The study of ultrasound and iontophoresis on oxaprozin transdermal penetration using surface-enhanced Raman spectroscopy. Drug Deliv. Transl. Res. 2020, 10, 83–92. [Google Scholar] [CrossRef]
- Paula, D.D.; Martins, C.A.; Bentley, M.V.L.B. Development and validation of HPLC method for imiquimod determination in skin penetration studies. Biomed. Chromatogr. 2008, 22, 1416–1423. [Google Scholar] [CrossRef]
- Sjövall, P.; Greve, T.M.; Clausen, S.K.; Moller, K.; Eirefelt, S.; Johansson, B.; Nielsen, K.T. Imaging of distribution of topically applied drug molecules in mouse skin by combination of time-of-flight secondary ion mass spectrometry and scanning electron microscopy. Anal. Chem. 2014, 86, 3443–3452. [Google Scholar] [CrossRef]
- Liu, C.; Wang, H.; Jiang, Y.; Du, Z. Rapid and simultaneous determination of amoxicillin, penicillin G, and their major metabolites in bovine milk by ultra-high-performance liquid chromatography–tandem mass spectrometry. J. Chromatogr. B 2011, 879, 533–540. [Google Scholar] [CrossRef] [PubMed]
- Paudel, A.; Raijada, D.; Rantanen, J. Raman spectroscopy in pharmaceutical product design. Adv. Drug Deliv. Rev. 2015, 89, 3–20. [Google Scholar] [CrossRef] [PubMed] [Green Version]
- Fukunaga, Y.; Okada, T. Quantification using statistical parameters derived from signal intensity distributions in surface enhanced Raman scattering (SERS). Anal. Chim. Acta 2021, 1181, 338931. [Google Scholar] [CrossRef] [PubMed]
- Chen, Y.; Li, X.; Yang, M.; Yang, L.; Han, X.; Jiang, X.; Zhao, B. High sensitive detection of penicillin G residues in milk by surface-enhanced Raman scattering. Talanta 2017, 167, 236–241. [Google Scholar] [CrossRef] [PubMed]
- Razavi, M.; Khandan, A. Safety, regulatory issues, long-term biotoxicity, and the processing environment. In Nanobiomaterials Science, Development and Evaluation; Woodhead Publishing: Sawston, UK, 2017; pp. 261–279. [Google Scholar]
- Rashid, T.U.; Sadia, S.; Biswas, S.; Ahmed, T.; Mallik, A.; Shahruzzaman, M.; Sakib, M.N.; Papia, H.; Mohammed, M.R. Gelatin-Based Hydrogels. In Cellulose-Based Superabsorbent Hydrogels; Polymers and Polymeric Composites: A Reference Series; Mondal, M., Ed.; Springer: Berlin/Heidelberg, Germany, 2019; pp. 1601–1641. [Google Scholar]
- Khandan, A.; Jazayeri, H.; Fahmy, M.D.; Razavi, M. Hydrogels: Types, structure, properties, and applications. Biomat. Tiss. Eng. 2017, 4, 143–169. [Google Scholar]
- Zhang, H.; Liu, S.P.; Yang, X.F.; Chen, N.; Pang, F.F.; Chen, Z.Y.; Wang, T.Y.; Zhou, J.S.; Ren, F.J.; Xu, X.Y.; et al. LED phototherapy with gelatin sponge promotes wound healing in mice. Photochem. Photobiol. 2018, 94, 179–185. [Google Scholar] [CrossRef]
- Braun, G.B.; Lee, S.J.; Laurence, T.; Fera, N.; Fabris, L.; Bazan, G.C.; Reich, N.O. Generalized approach to SERS-active nanomaterials via controlled nanoparticle linking, polymer encapsulation, and small-molecule infusion. J. Phys. Chem. C 2009, 113, 13622–13629. [Google Scholar] [CrossRef]
- Finholt, P.; Jürgensen, G.; Kristiansen, H. Catalytic effect of buffers on degradation of penicillin G in aqueous solution. J. Pharm. Sci. 1965, 54, 387–393. [Google Scholar] [CrossRef]
- Förster, M.; Bolzinger, M.A.; Ach, D.; Montagnac, G.; Briançon, S. Ingredients tracking of cosmetic formulations in the skin: A confocal Raman microscopy investigation. Pharm. Res. 2011, 28, 858–872. [Google Scholar] [CrossRef]
- Sagdinc, S.G.; Esme, A. Theoretical and vibrational studies of 4, 5-diphenyl-2-2 oxazole propionic acid (oxaprozin). Spectrochim. Acta Part A Mol. Biomol. Spectrosc. 2010, 75, 1370–1376. [Google Scholar] [CrossRef]
- Zhao, F.T.; Wang, W.P.; Zhong, H.D.; Yang, F.; Fu, W.Y.; Ling, Y.H.; Zhang, Z.J. Robust quantitative SERS analysis with Relative Raman scattering intensities. Talanta 2021, 221, 121465. [Google Scholar] [CrossRef] [PubMed]
- Strachan, C.J.; Rades, T.; Gordon, K.C.; Rantanen, J. Raman spectroscopy for quantitative analysis of pharmaceutical solids. J. Pharm. Pharmacol. 2007, 59, 179–192. [Google Scholar] [CrossRef] [PubMed]
- Franzen, L.; Anderski, J.; Windbergs, M. Quantitative detection of caffeine in human skin by confocal Raman spectroscopy–a systematic in vitro validation study. Eur. J. Pharm. Biopharm. 2015, 95, 110–116. [Google Scholar] [CrossRef] [PubMed]
Publisher’s Note: MDPI stays neutral with regard to jurisdictional claims in published maps and institutional affiliations. |
© 2022 by the authors. Licensee MDPI, Basel, Switzerland. This article is an open access article distributed under the terms and conditions of the Creative Commons Attribution (CC BY) license (https://creativecommons.org/licenses/by/4.0/).






