Thermodynamic Analysis of In-Cylinder Steam Assist Technology within an Internal Combustion Engine
Abstract
:1. Introduction
2. Methodology
2.1. Thermodynamic Model and Validation
2.2. Heat Exchanger Design
2.3. Boundary Definition and Verification
3. Results and Discussion
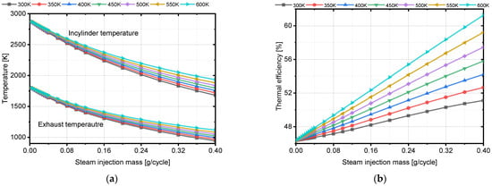
3.1. Effects of Injection Temperature and Mass on Cycle Performance
3.2. Effects of Injection Pressure on Cycle Performance
3.3. Effects of Intake Pressure on Cycle Performance
3.4. Analysis of Thermal Efficiency Boundary
4. Conclusions
- Theoretical calculations based on the developed thermodynamic model show that both steam injection temperature and injection mass improve thermal efficiency. Without steam injection, the base thermal efficiency of the prototype is 46.34%. This gradually increases to 51.11% with increases in steam injection mass and to 61.25% at a steam injection temperature of 600 K. Increases in steam injection pressure contribute little to thermal efficiency.
- The thermal efficiency of the developed cycle increases with the injected steam enthalpy, which is determined by the exhaust gas energy. However, excessive steam decreases the exhaust temperature, so there is a trade-off between them. According to the assumption of instant in-cylinder steam evaporation, the optimum thermal efficiency of the in-cylinder steam-assisted cycle is 59.71% at an injection temperature of 500 K and a steam injection mass of 0.2 g/cycle.
- The maximum gain in thermal efficiency achieved with the cycle is 14.5% at a compression ratio of 10. From a thermodynamic perspective, the reason is that the specific heat ratio rises from 1.27 to 1.333, which improves the thermal-heat conversion efficiency. Similarly, increases in compression ratio also benefit the optimum thermal efficiency of the in-cylinder steam-assisted cycle. The optimum thermal efficiency can be increased from 54.0% to 59.71% by increasing the compression ratio from 10 to 16.
- As this work conducts theoretical investigation regarding in-cylinder steam assist, the real in-cylinder combustion process, intake and exhaust gas exchange process, non-ideal gas effect and other realistic process are simplified, the results of this work only provide theoretical results and guidance for future in-cylinder steam assist application within modern internal combustion engine. Future work will be focused on enhancing the precision of the theoretical model by establishing 1-D or 3-D models.
Author Contributions
Funding
Institutional Review Board Statement
Informed Consent Statement
Conflicts of Interest
Nomenclature
| Abbreviations | |
| AFR | Air/fuel ratio |
| AKI | Anti-knock index |
| ATDC | After top dead centre |
| BEV | Battery electric vehicle |
| BSFC | Brake specific fuel consumption |
| CA | Crank angle |
| CO | Carbonic oxide |
| FCV | Fuel cell vehicle |
| GHG | Greenhouse gas |
| HEV | Hybrid electric vehicle |
| ICE | Internal combustion engine |
| ICEV | Internal combustion engine vehicle |
| ICRC | Internal combustion Rankine cycle |
| LMTD | Logarithmic mean temperature difference |
| NTU | Number of transfer units |
| TDC | Top dead centre |
| WHR | Waste heat recovery |
| Symbols | |
| H | Indicated thermal efficiency |
| Dynamic viscosity | |
| Carbon steel thermal conductivity | |
| Heat flux | |
| A | Heat transfer area |
| Specific heat at constant pressure | |
| Specific heat at constant volume | |
| D | Shell diameter |
| D | Tube diameter |
| H | Specific enthalpy |
| K | Heat transfer coefficient |
| K | Fluid thermal conductivity |
| L | Tube length |
| Intake charge mass | |
| Mass flow rate | |
| N | Number of tubes |
| Nusselt number | |
| Prandtl number | |
| Tube centre distance | |
| Thermal energy | |
| Reynolds number | |
| Temperature | |
| Internal energy | |
| Work | |
| Subscripts | |
| Air | Air parameters |
| G | Exhaust gases parameters |
| I | Inner parameters of tubes |
| In | Inlet of heat exchanger |
| Indicated | Indicated parameters |
| Max | Maximum value |
| Min | Minimum value |
| O | Outer parameters of tubes |
| Out | Outlet of heat exchanger |
| Pump | Pump parameters |
| W | Water steam parameters |
| Wall | Tube wall |
References
- Alagumalai, A. Internal combustion engines: Progress and prospects. Renew. Sustain. Energy Rev. 2014, 38, 561–571. [Google Scholar] [CrossRef]
- Hannah, R.; Max, R. CO2 and Greenhouse Gas Emissions. Our World Data. 2020. Available online: https://ourworldindata.org/co2-and-other-greenhouse-gas-emissions (accessed on 1 August 2020).
- GB 27999-2019; Fuel Consumption Evaluation Methods and Targets for Passenger Cars. SAC: Beijing, China, 2019.
- Zardini, A.; Bonnel, P. Real Driving Emissions Regulation. European Methodology to Fine Tune the EU Real Driving Emissions Data Evaluation Method; Publications Office of the European Union: Luxembourg, 2020. [Google Scholar]
- Reitz, R.D.; Ogawa, H.; Payri, R.; Fansler, T.; Kokjohn, S.; Moriyoshi, Y.; Agarwal, A.; Arcoumanis, D.; Assanis, D.; Bae, C.; et al. IJER editorial: The future of the internal combustion engine. Int. J. Engine Res. 2020, 21, 3–10. [Google Scholar] [CrossRef] [Green Version]
- Heywood, J.; MacKenzie, D.; Akerlind, I.; Bastani, P.; Berry, I.; Bhatt, K.; Chao, A.; Chow, E.; Karplus, V.; Keith, D. On the Road toward 2050: Potential for Substantial Reductions in Light-Duty Vehicle Energy Use and Greenhouse Gas Emissions; Massachusetts Institute of Technology: Cambridge, MA, USA, 2015. [Google Scholar]
- Nakata, K.; Nogawa, S.; Takahashi, D.; Yoshihara, Y.; Kumagai, A.; Suzuki, T. Engine technologies for achieving 45% thermal efficiency of S.I. engine. SAE Int. J. Engines 2015, 9, 179–192. [Google Scholar] [CrossRef]
- Sok, R.; Yamaguchi, K.; Kusaka, J. Prediction of ultra-lean spark ignition engine performances by quasi-dimensional combustion model with a refined laminar flame speed correlation. J. Energy Resour. Technol. 2020, 143, 032306. [Google Scholar] [CrossRef]
- Ratnak, S.; Kusaka, J.; Daisho, Y.; Yoshimura, K.; Nakama, K. Experiments and simulations of a lean-boost spark ignition engine for thermal efficiency improvement. SAE Int. J. Engines 2015, 9, 379–396. [Google Scholar]
- Zhao, J. Research and application of over-expansion cycle (Atkinson and Miller) engines—A review. Appl. Energy 2017, 185, 300–319. [Google Scholar] [CrossRef]
- Kaminaga, T.; Yamaguchi, K.; Ratnak, S.; Jin, K.; Yamakawa, M. A Study on Combustion Characteristics of a High Compression Ratio SI Engine with High Pressure Gasoline Injection. In Proceedings of the 14th International Conference on Engines & Vehicles, Napoli, Italy, 12–16 September 2019. [Google Scholar]
- Fraidl, G.; Kapus, P.; Mitterecker, H.; WeißbÄck, M. Internal combustion Engine 4.0. TZ Worldw. 2018, 79, 26–33. [Google Scholar] [CrossRef]
- Wu, Z.; Wu, J.; Kang, Z.; Deng, J.; Hu, Z.; Li, L. A review of water-steam-assist technology in modern internal combustion engines. Energy Rep. 2021, 7, 5100–5118. [Google Scholar] [CrossRef]
- Zhu, S.; Hu, B.; Akehurst, S.; Copeland, C.; Lewis, A.; Yuan, H.; Kennedy, I.; Bernards, J.; Branney, C. A review of water injection applied on the internal combustion engine. Energy Convers. Manag. 2019, 184, 139–158. [Google Scholar] [CrossRef]
- Gonca, G.; Sahin, B. Effect of turbo charging and steam injection methods on the performance of a Miller cycle diesel engine (MCDE). Appl. Therm. Eng. 2017, 118, 138–146. [Google Scholar] [CrossRef]
- Gonca, G.; Sahin, B. The influences of the engine design and operating parameters on the performance of a turbocharged and steam injected diesel engine running with the Miller cycle. Appl. Math. Model. 2016, 40, 3764–3782. [Google Scholar] [CrossRef]
- Gonca, G. Effects of engine design and operating parameters on the performance of a spark ignition (SI) engine with steam injection method (SIM). Appl. Math. Model. 2017, 44, 655–675. [Google Scholar] [CrossRef]
- Parlak, A. A study on performance and exhaust emissions of the steam injected DI diesel engine running with different diesel-conola oil methyl ester blends. J. Energy Inst. 2019, 92, 717–729. [Google Scholar] [CrossRef]
- Cesur, I.; Parlak, A.; Ayhan, V.; Boru, B.; Gonca, G. The effects of electronic controlled steam injection on spark ignition engine. Appl. Therm. Eng. 2013, 55, 61–68. [Google Scholar] [CrossRef]
- Zhang, Z.; Li, L. Investigation of in-cylinder steam injection in a turbocharged diesel engine for waste heat recovery and NOx emission control. Energies 2018, 11, 936. [Google Scholar] [CrossRef] [Green Version]
- Kang, Z.; Wu, Z.J.; Zhang, Z.H.; Deng, J.; Hu, Z.J.; Li, L.G. Study of the combustion characteristics of a HCCI engine coupled with oxy-fuel combustion mode. SAE Int. J. Engines 2017, 10, 908–916. [Google Scholar] [CrossRef]
- Kang, Z.; Wu, Z.; Fu, L.; Deng, J.; Hu, Z.; Li, L. Experimental study of ion current signals and characteristics in an internal combustion rankine cycle engine based on water injection. J. Eng. Gas Turbines Power 2018, 140, 111506. [Google Scholar] [CrossRef]
- Kang, Z.; Zhang, Z.; Deng, J.; Li, L.; Wu, Z. Experimental research of high-temperature and high-pressure water jet characteristics in ICRC engine relevant conditions. Energies 2019, 12, 1763. [Google Scholar] [CrossRef] [Green Version]
- Kang, Z.; Wu, Z.; Deng, J.; Hu, Z.; Li, L. Experimental research of diffusion combustion and emissions characteristics under oxy-fuel combustion mode. J. Eng. Gas Turbines Power 2020, 142, 061002. [Google Scholar] [CrossRef]
- Wu, Z.-J.; Yu, X.; Fu, L.-Z.; Deng, J.; Li, L.-G. Experimental study of the effect of water injection on the cycle performance of an internal-combustion Rankine cycle engine. Proc. Inst. Mech. Eng. Part D J. Automob. Eng. 2014, 228, 580–588. [Google Scholar] [CrossRef]
- Wu, Z.J.; Yu, X.; Fu, L.Z.; Deng, J.; Hu, Z.J.; Li, L.G. A high efficiency oxyfuel internal combustion engine cycle with water direct injection for waste heat recovery. Energy 2014, 70, 110–120. [Google Scholar] [CrossRef]
- Wu, Z.J.; Kang, Z.; Deng, J.; Hu, Z.J.; Li, L.G. Effect of oxygen content on n-heptane auto-ignition characteristics in a HCCI engine. Appl. Energy 2016, 184, 594–604. [Google Scholar] [CrossRef]
- Wu, Z.J.; Fu, L.Z.; Gao, Y.; Yu, X.; Deng, J.; Li, L.G. Thermal efficiency boundary analysis of an internal combustion Rankine cycle engine. Energy 2016, 94, 38–49. [Google Scholar] [CrossRef]
- Wu, Z.; Zhang, Z.; Li, W.; Chen, H.; Li, Z.; Deng, J. Morphology analysis on the effect of injection pressure on jet trajectory deviation of multi-jet sprays. Fuel 2019, 243, 362–370. [Google Scholar] [CrossRef]
- Li, L.; Zhang, Z. Investigation on steam direct injection in a natural gas engine for fuel savings. Energy 2019, 183, 958–970. [Google Scholar] [CrossRef]
- Conklin, J.C.; Szybist, J.P. A highly efficient six-stroke internal combustion engine cycle with water injection for in-cylinder exhaust heat recovery. Energy 2010, 35, 1658–1664. [Google Scholar] [CrossRef]
- Arabaci, E.; İçingür, Y.; Solmaz, H.; Uyumaz, A.; Yilmaz, E. Experimental investigation of the effects of direct water injection parameters on engine performance in a six-stroke engine. Energy Convers. Manag. 2015, 98, 89–97. [Google Scholar] [CrossRef]
- Fu, J.; Liu, J.; Ren, C.; Wang, L.; Deng, B.; Xu, Z. An open steam power cycle used for IC engine exhaust gas energy recovery. Energy 2012, 44, 544–554. [Google Scholar] [CrossRef]
- Zhao, R.; Li, W.; Zhuge, W.; Zhang, Y.; Yin, Y. Numerical study on steam injection in a turbocompound diesel engine for waste heat recovery. Appl. Energy 2017, 185, 506–518. [Google Scholar] [CrossRef]
- Zhao, R.; Zhang, Z.; Zhuge, W.; Zhang, Y.; Yin, Y. Comparative study on different water/steam injection layouts for fuel reduction in a turbocompound diesel engine. Energy Convers. Manag. 2018, 171, 1487–1501. [Google Scholar] [CrossRef]
- Zhu, S.; Deng, K.; Qu, S. Thermodynamic analysis of an in-cylinder waste heat recovery system for internal combustion engines. Energy 2014, 67, 548–556. [Google Scholar] [CrossRef]
- Zhu, S.; Liu, S.; Qu, S.; Deng, K. Thermodynamic and experimental researches on matching strategies of the pre-turbine steam injection and the Miller cycle applied on a turbocharged diesel engine. Energy 2017, 140, 488–505. [Google Scholar] [CrossRef]











| Item | Value |
|---|---|
| Initial conditions | |
| Fuel | Iso-octane |
| Ignition mode | Spark ignition |
| Low Heat value (kJ/kg) | 47.67 |
| Air-fuel ratio (-) | 14.7 |
| Initial temperature (K) | 298 |
| Assumptions | |
| Heat transfer | Adiabatic |
| Steam injection timing | Instantaneous at TDC |
| Steam and air mixing | Instantaneous at TDC |
| Boundaries | |
| Intake pressure (MPa) | 0.1~0.3 |
| Compression ratio (-) | 10~16 |
| Steam injection temperature (K) | 300~600 |
| Steam injection pressure (MPa) | 20~50 |
| Steam injection mass (g/cycle) | 0~0.4 |
| Item | Value |
|---|---|
| Engine type | SI engine |
| Bore (mm) | 74 |
| Stroke (mm) | 86.6 |
| Connecting rod length (mm) | 127.9 |
| Compression ratio (-) | 10 |
| Item | Value |
|---|---|
| Engine speed | 5000 r/min |
| Steam mass | 0.2 |
| Steam inlet temperature | 298 K |
| Steam outlet temperature (target) | 463 K |
| Item | Value |
|---|---|
| Outer diameter of tubes (do) | 12 mm |
| Inner diameter of tubes (di) | 10 mm |
| Centre distance (Pt) | 17 mm |
| Number of tubes (N) | 43 |
| Length of tubes (L) | 450 mm |
| Baffle space (Lb) | 50 mm |
| Shell diameter (Di) | 140 mm |
| Heat exchanger area (A) | 0.73 m2 |
Publisher’s Note: MDPI stays neutral with regard to jurisdictional claims in published maps and institutional affiliations. |
© 2022 by the authors. Licensee MDPI, Basel, Switzerland. This article is an open access article distributed under the terms and conditions of the Creative Commons Attribution (CC BY) license (https://creativecommons.org/licenses/by/4.0/).
Share and Cite
Wu, J.; Kang, Z.; Wu, Z. Thermodynamic Analysis of In-Cylinder Steam Assist Technology within an Internal Combustion Engine. Appl. Sci. 2022, 12, 6818. https://doi.org/10.3390/app12136818
Wu J, Kang Z, Wu Z. Thermodynamic Analysis of In-Cylinder Steam Assist Technology within an Internal Combustion Engine. Applied Sciences. 2022; 12(13):6818. https://doi.org/10.3390/app12136818
Chicago/Turabian StyleWu, Jingtao, Zhe Kang, and Zhijun Wu. 2022. "Thermodynamic Analysis of In-Cylinder Steam Assist Technology within an Internal Combustion Engine" Applied Sciences 12, no. 13: 6818. https://doi.org/10.3390/app12136818
APA StyleWu, J., Kang, Z., & Wu, Z. (2022). Thermodynamic Analysis of In-Cylinder Steam Assist Technology within an Internal Combustion Engine. Applied Sciences, 12(13), 6818. https://doi.org/10.3390/app12136818

