How Useful Are Strain Rates for Estimating the Long-Term Spatial Distribution of Earthquakes?
Abstract
:1. Introduction
2. Method and Data
2.1. Multiplicative Hybrid Model
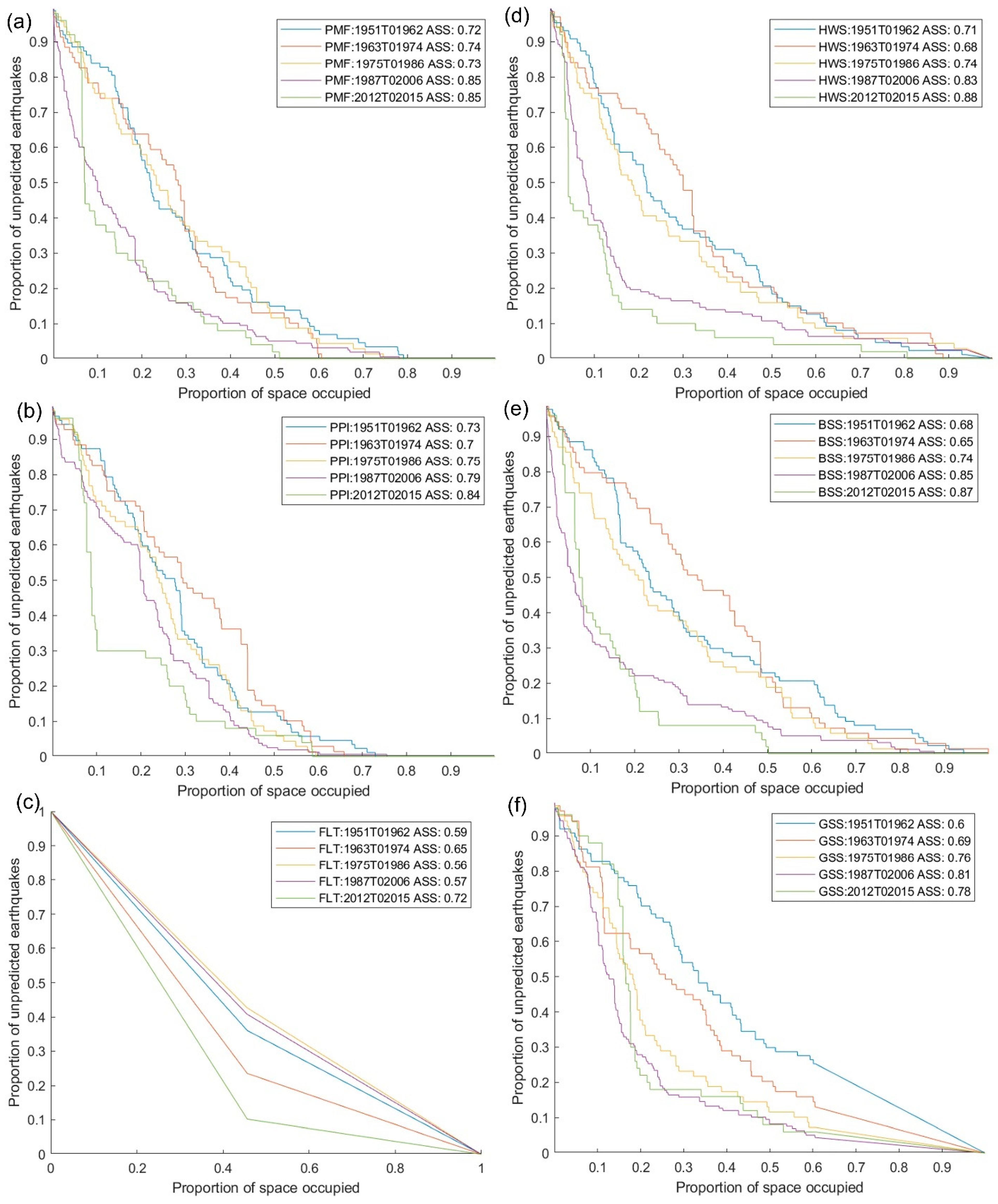
2.2. Molchan Error Diagram
2.3. Scatter Plot of Covariates for the Target Earthquakes
2.4. Data
3. Results
3.1. Hybrid Models
3.2. Error Diagrams
3.3. Smoothed Scatter Plots
4. Discussion
5. Conclusions
Author Contributions
Funding
Institutional Review Board Statement
Informed Consent Statement
Data Availability Statement
Acknowledgments
Conflicts of Interest
Appendix A
Strain Rate Covariates
Appendix B
Appendix B.1. Proximity to the Plate Interface (PPI)
Appendix B.2. Proximity to Mapped Faults (PMF)
Appendix B.3. Fault in Cell (FLT)
References
- Ward, S.N. On the consistency of earthquake moment rates, geological fault data, and space geodetic strain: The United States. Geophys. J. Int. 1998, 134, 172–186. [Google Scholar] [CrossRef] [Green Version]
- Kreemer, C.; Holt, W.E.; Haines, A.J. The global moment rate distribution within plate boundary zones. In Plate Boundary Zones; Stein, S., Freymueller, J.T., Eds.; AGU: Washington, DC, USA, 2002; pp. 173–190. [Google Scholar]
- Bird, P.; Kreemer, C.; Holt, W.E. A Long-term Forecast of Shallow Seismicity Based on the Global Strain Rate Map. Seismol. Res. Lett. 2010, 81, 184–194. [Google Scholar] [CrossRef]
- Bird, P.; Jackson, D.D.; Kagan, Y.Y.; Kreemer, C.; Stein, R.S. GEAR1: A Global Earthquake Activity Rate Model Constructed from Geodetic Strain Rates and Smoothed Seismicity. Bull. Seismol. Soc. Am. 2015, 105, 2538–2554. [Google Scholar] [CrossRef]
- Mazzotti, S.; Leonard, L.J.; Cassidy, J.F.; Rogers, G.C.; Halchuk, S. Seismic hazard in western Canada from GPS strain rates versus earthquake catalog. J. Geophys. Res. Earth Surf. 2011, 116, B12310. [Google Scholar] [CrossRef]
- Rhoades, D.A.; Gerstenberger, M.C.; Christophersen, A.; Zechar, J.D.; Schorlemmer, D.; Werner, M.; Jordan, T.H. Regional Earthquake Likelihood Models II: Information Gains of Multiplicative Hybrids. Bull. Seismol. Soc. Am. 2014, 104, 3072–3083. [Google Scholar] [CrossRef] [Green Version]
- Field, E.H. Overview of the Working Group for the Development of Regional Earthquake Likelihood Models (RELM). Seismol. Res. Lett. 2007, 78, 7–16. [Google Scholar] [CrossRef]
- Schorlemmer, D.; Gerstenberger, M.C. RELM Testing Center. Seismol. Res. Lett. 2007, 78, 30–36. [Google Scholar] [CrossRef]
- Zechar, J.D.; Schorlemmer, D.; Werner, M.; Gerstenberger, M.C.; Rhoades, D.; Jordan, T.H. Regional Earthquake Likelihood Models I: First-Order Results. Bull. Seismol. Soc. Am. 2013, 103, 787–798. [Google Scholar] [CrossRef]
- Rhoades, D.A.; Christophersen, A.; Gerstenberger, M.C. Multiplicative Earthquake Likelihood Models Based on Fault and Earthquake Data. Bull. Seismol. Soc. Am. 2015, 105, 2955–2968. [Google Scholar] [CrossRef]
- Rhoades, D.; Christophersen, A.; Gerstenberger, M. Multiplicative earthquake likelihood models incorporating strain rates. Geophys. J. Int. 2017, 208, 1764–1774. [Google Scholar] [CrossRef]
- Beavan, J.; Wallace, L.M.; Palmer, N.; Denys, P.; Ellis, S.; Fournier, N.; Hreinsdottir, S.; Pearson, C.; Denham, M. New Zealand GPS velocity field: 1995–2013. N. Z. J. Geol. Geophys. 2016, 59, 5–14. [Google Scholar] [CrossRef] [Green Version]
- Kreemer, C.; Blewitt, G.; Klein, E.C. A geodetic plate motion and Global Strain Rate Model. Geochem. Geophys. Geosyst. 2014, 15, 3849–3889. [Google Scholar] [CrossRef]
- Haines, A.J.; Wallace, L.M. New Zealand-Wide Geodetic Strain Rates Using a Physics-Based Approach. Geophys. Res. Lett. 2020, 47, e2019GL084606. [Google Scholar] [CrossRef]
- Rhoades, D.A.; Schorlemmer, D.; Gerstenberger, M.C.; Christophersen, A.; Zechar, J.D.; Imoto, M. Efficient testing of earthquake forecasting models. Acta Geophys. 2011, 59, 728–747. [Google Scholar] [CrossRef]
- Hurvich, C.M.; Tsai, C.-L. Regression and time series model selection in small samples. Biometrika 1989, 76, 297–307. [Google Scholar] [CrossRef]
- Gerstenberger, M.C.; Rhoades, D.A. New Zealand Earthquake Forecast Testing Centre. Pure Appl. Geophys. 2010, 167, 877–892. [Google Scholar] [CrossRef]
- Van Dissen, R.; Seebeck, H.; Litchfield, N.; Barnes, P.; Nicol, A.; Langridge, R.; Barrell, D.; Villamor, P.; Ellis, S.; Rattenbury, M.; et al. Development of the New Zealand Community Fault Model version 1.0. In Proceedings of the NZSEE Annual Technical Conference, Christchurch, New Zealand, 15 April 2021; p. 92. [Google Scholar]
- Molchan, G. Strategies in strong earthquake prediction. Phys. Earth Planet. Inter. 1990, 61, 84–98. [Google Scholar] [CrossRef]
- Molchan, G.M. Structure of optimal strategies in earthquake prediction. Tectonophysics 1991, 193, 267–276. [Google Scholar] [CrossRef]
- Green, D.M.; Swets, J.A. Signal Detection Theory and Psychophysics; John Wiley: Oxford, UK, 1966. [Google Scholar]
- Fawcett, T. An introduction to ROC analysis. Pattern Recognit. Lett. 2006, 27, 861–874. [Google Scholar] [CrossRef]
- Zechar, J.D.; Jordan, T.H. The Area Skill Score Statistic for Evaluating Earthquake Predictability Experiments. Pure Appl. Geophys. 2010, 167, 893–906. [Google Scholar] [CrossRef]
- Cleveland, W.S. Robust Locally Weighted Regression and Smoothing Scatterplots. J. Am. Stat. Assoc. 1979, 74, 829–836. [Google Scholar] [CrossRef]
- Haines, A.J.; Holt, W.E. A procedure for obtaining the complete horizontal motions within zones of distributed deformation from the inversion of strain rate data. J. Geophys. Res. Earth Surf. 1993, 98, 12057–12082. [Google Scholar] [CrossRef]
- Haines, A.J.; Jackson, J.A.; Holt, W.E.; Agnew, D.C. Representing Distributed Deformation by Continuous Velocity Fields; Sci. Rep.98/5; GNS Science: Lower Hutt, New Zealand, 1998; p. 110. [Google Scholar]
- Holt, W.E.; Shen-Tu, B.; Haines, J.; Jackson, J. On the determination of self-consistent strain rate fields within zones of distributed continental deformation. Geophys. Monogr. Ser. 2000, 121, 113–141. [Google Scholar] [CrossRef]
- Iezzi, F.; Roberts, G.; Walker, J.F.; Papanikolaou, I.; Ganas, A.; Deligiannakis, G.; Beck, J.; Wolfers, S.; Gheorghiu, D. Temporal and spatial earthquake clustering revealed through comparison of millennial strain-rates from 36Cl cosmogenic exposure dating and decadal GPS strain-rate. Sci. Rep. 2021, 11, 23320. [Google Scholar] [CrossRef] [PubMed]
- Bondár, I.; Engdahl, E.R.; Villaseñor, A.; Harris, J.; Storchak, D. ISC-GEM: Global instrumental earthquake catalogue (1900–2009), II. Location and seismicity patterns. Phys. Earth Planet. Inter. 2015, 239, 2–13. [Google Scholar] [CrossRef] [Green Version]
- Beavan, J.; Haines, J. Contemporary horizontal velocity and strain rate fields of the Pacific-Australian plate boundary zone through New Zealand. J. Geophys. Res. Earth Surf. 2001, 106, 741–770. [Google Scholar] [CrossRef] [Green Version]
- Johnson, K.; Wallace, L.M.; Maurer, J.; Hamling, I.; Williams, C.; Rollins, C.; Gerstenberger, M. The 2022 New Zealand National Seismic Hazard Model: Geodetic Deformation Model, GNS Science Report. In Proceedings of the 2021 New Zealand Society for Earthquake Engineering Annual Technical Conference, Christchurch, New Zealand, 15 April 2021. [Google Scholar]
- Haines, A.J.; Dimitrova, L.L.; Wallace, L.M.; Williams, C.A. Enhanced Surface Imaging of Crustal Deformation: Obtaining Tectonic Force Fields Using GPS Data. Springer Briefs in Earth Sciences. 2015. 99p. Available online: https://link.springer.com/book/10.1007/978-3-319-21578-5 (accessed on 1 April 2022).
- Rastin, S.J.; Rhoades, D.A.; Rollins, C.; Gerstenberger, M.C.; Christophersen, A. Spatial Distribution of Earthquake Occurrence for the New Zealand National Seismic Hazard Model Revision; GNS Science report, SR 2021/51; GNS Science: Lower Hutt, New Zealand, 2022. [Google Scholar] [CrossRef]
- Beavan, J.; Moore, M.; Pearson, C.; Henderson, M.; Parsons, B.; Bourne, S.; England, P.; Walcott, D.; Blick, G.; Darby, D.; et al. Crustal deformation during 1994–1998 due to oblique continental collision in the central Southern Alps, New Zealand, and implications for seismic potential of the Alpine fault. J. Geophys. Res. Earth Surf. 1999, 104, 25233–25255. [Google Scholar] [CrossRef]
- Darby, D.; Beavan, J. Evidence from GPS measurements for contemporary interplate coupling on the southern Hikurangi subduction thrust and for partitioning of strain in the upper plate. J. Geophys. Res. Earth Surf. 2001, 106, 30881–30891. [Google Scholar] [CrossRef]
- Denys, P.; Norris, R.; Pearson, C.; Denham, M. A Geodetic Study of the Otago Fault System of the South Island of New Zealand. In Earth on the Edge: Science for a Sustainable Planet; Rizos, C., Willis, P., Eds.; International Association of Geodesy Symposia; Springer: Berlin/Heidelberg, Germany, 2014; Volume 139. [Google Scholar] [CrossRef]
- Williams, C.A.; Eberhart-Phillips, D.; Bannister, S.; Barker, D.H.N.; Henrys, S.; Reyners, M.; Sutherland, R. Revised Interface Geometry for the Hikurangi Subduction Zone, New Zealand. Seismol. Res. Lett. 2013, 84, 1066–1073. [Google Scholar] [CrossRef]
- Stirling, M.; McVerry, G.; Gerstenberger, M.; Litchfield, N.; Van Dissen, R.; Berryman, K.; Barnes, P.; Wallace, L.; Villamor, P.; Langridge, R.; et al. National Seismic Hazard Model for New Zealand: 2010 Update. Bull. Seismol. Soc. Am. 2012, 102, 1514–1542. [Google Scholar] [CrossRef] [Green Version]
- Rhoades, D.A.; Stirling, M.W. An Earthquake Likelihood Model Based on Proximity to Mapped Faults and Cataloged Earthquakes. Bull. Seismol. Soc. Am. 2012, 102, 1593–1599. [Google Scholar] [CrossRef]











| Covariate or Model Name | Acronym | Identifier |
|---|---|---|
| Stationary uniform Poisson baseline model | SUP | “1” |
| Proximity to plate interface covariate | PPI | “2” |
| Proximity to mapped faults covariate | PMF | “3” |
| Fault in cell covariate (binary) | FLT | “4” |
| Beavan shear strain rate covariate | BSS | “5” |
| Global shear strain rate covariate | GSS | “5” |
| Haines and Wallace shear strain rate covariate | HWS | “5” |
Publisher’s Note: MDPI stays neutral with regard to jurisdictional claims in published maps and institutional affiliations. |
© 2022 by the authors. Licensee MDPI, Basel, Switzerland. This article is an open access article distributed under the terms and conditions of the Creative Commons Attribution (CC BY) license (https://creativecommons.org/licenses/by/4.0/).
Share and Cite
Rastin, S.J.; Rhoades, D.A.; Rollins, C.; Gerstenberger, M.C. How Useful Are Strain Rates for Estimating the Long-Term Spatial Distribution of Earthquakes? Appl. Sci. 2022, 12, 6804. https://doi.org/10.3390/app12136804
Rastin SJ, Rhoades DA, Rollins C, Gerstenberger MC. How Useful Are Strain Rates for Estimating the Long-Term Spatial Distribution of Earthquakes? Applied Sciences. 2022; 12(13):6804. https://doi.org/10.3390/app12136804
Chicago/Turabian StyleRastin, Sepideh J., David A. Rhoades, Christopher Rollins, and Matthew C. Gerstenberger. 2022. "How Useful Are Strain Rates for Estimating the Long-Term Spatial Distribution of Earthquakes?" Applied Sciences 12, no. 13: 6804. https://doi.org/10.3390/app12136804
APA StyleRastin, S. J., Rhoades, D. A., Rollins, C., & Gerstenberger, M. C. (2022). How Useful Are Strain Rates for Estimating the Long-Term Spatial Distribution of Earthquakes? Applied Sciences, 12(13), 6804. https://doi.org/10.3390/app12136804

