Situation-Aware Survivable Network Design for Tactical Environments
Abstract
:1. Introduction
- We design and implement a situational backoff reset algorithm for meeting the requirements of military QoS (MQoS) by adjusting a length of the AIFS for avoiding priority inversion and conducting situational backoff reset for preventing collision;
 - The novel branch node based routing algorithm for providing resilient connectivity by finding the branch node, which duplicates pass through when a source-destination pair discovers several end-to-end paths, is presented and analyzed.
 
2. Related Work
3. Proposed Algorithm
3.1. Situational Backoff Reset Algorithm
3.1.1. Military Quality of Service
3.1.2. The Mechanism of the Proposed Algorithm
| Algorithm 1 Pseudocode of situational backoff reset | 
  | 
3.2. Branch Node Based Routing Algorithm
3.2.1. Branch Node Detection
3.2.2. Operation Process
| Algorithm 2 Pseudocode of branch node-based routing | 
  | 
4. Performance Evaluation
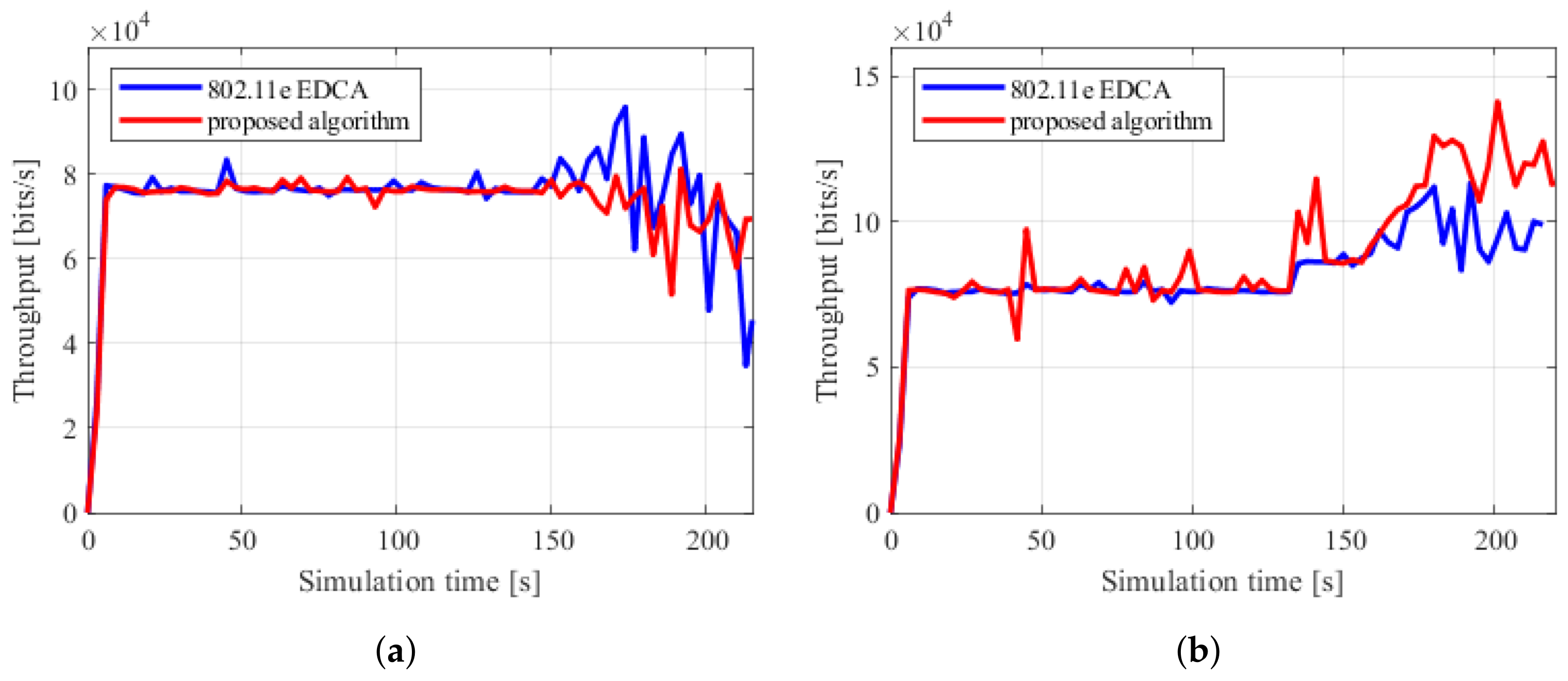
4.1. Situational Backoff Reset Algorithm
4.2. Branch Node Based Routing Algorithm
5. Conclusions
Author Contributions
Funding
Institutional Review Board Statement
Informed Consent Statement
Data Availability Statement
Conflicts of Interest
References
- Kim, K.D.; Kumar, P.R. Cyber-physical systems: A perspective at the centennial. Proc. IEEE 2012, 100, 1287–1308. [Google Scholar]
 - Aschenbruck, N.; Gerhards-Padilla, E.; Martini, P. A survey on mobility models for performance analysis in tactical mobile networks. J. Telecommun. Inf. Technol. 2008, 2008, 54–61. [Google Scholar]
 - Crow, B.P.; Widjaja, I.; Kim, J.G.; Sakai, P.T. IEEE 802.11 wireless local area networks. IEEE Commun. Mag. 1997, 35, 116–126. [Google Scholar] [CrossRef]
 - Zhao, Q.; Du, P.; Gerla, M.; Brown, A.J.; Kim, J.H. Software defined multi-path tcp solution for mobile wireless tactical networks. In Proceedings of the MILCOM 2018—2018 IEEE Military Communications Conference (MILCOM), Los Angeles, CA, USA, 29–31 October 2018; pp. 1–9. [Google Scholar]
 - Keum, D.; Lim, J.; Ko, Y.B. Trust based multipath qos routing protocol for mission-critical data transmission in tactical ad-hoc networks. Sensors 2020, 20, 3330. [Google Scholar] [CrossRef] [PubMed]
 - std. 802.11 e 2005, I. Wireless LAN Medium Access Control (MAC) and PHYsical Layer (PHY) Specifications: Amendment 8: Medium Access Control (MAC) Quality of Service Enhancements. 2005. Available online: https://standards.ieee.org/ieee/802.11e/3131 (accessed on 30 June 2022).
 - Cengiz, K.; Dag, T. Energy aware multi-hop routing protocol for WSNs. IEEE Access 2017, 6, 2622–2633. [Google Scholar] [CrossRef]
 - Zhang, A.; Sun, M.; Wang, J.; Li, Z.; Cheng, Y.; Wang, C. Deep reinforcement learning-based multi-hop state-aware routing strategy for wireless sensor networks. Appl. Sci. 2021, 11, 4436. [Google Scholar] [CrossRef]
 - Fraga-Lamas, P.; Castedo-Ribas, L.; Morales-Méndez, A.; Camas-Albar, J. Evolving military broadband wireless communication systems: WiMAX, LTE and WLAN. In Proceedings of the 2016 International Conference on Military Communications and Information Systems (ICMCIS), Brussels, Belgium, 23–24 May 2016; pp. 1–8. [Google Scholar]
 - Al-Shehri, S.M.; Loskot, P.; Numanoğlu, T.; Mert, M. Comparing tactical and commercial MANETs design strategies and performance evaluations. In Proceedings of the MILCOM 2017—2017 IEEE Military Communications Conference (MILCOM), Baltimore, MD, USA, 23–25 October 2017; pp. 599–604. [Google Scholar]
 - Komulainen, A.; Grönkvist, J.; Sterner, U. On the performance of using CSMA for broadcast traffic in tactical ad hoc networks. In Proceedings of the 2018 International Conference on Military Communications and Information Systems (ICMCIS), Warsaw, Poland, 22–23 May 2018; pp. 1–7. [Google Scholar]
 - Pradhan, M.; Gökgöz, F.; Bau, N.; Ota, D. Approach towards application of commercial off-the-shelf internet of things devices in the military domain. In Proceedings of the 2016 IEEE 3rd world forum on internet of things (WF-IoT), Reston, VA, USA, 12–14 December 2016; pp. 245–250. [Google Scholar]
 - Felemban, E.; Lee, C.G.; Ekici, E. MMSPEED: Multipath Multi-SPEED protocol for QoS guarantee of reliability and. Timeliness in wireless sensor networks. IEEE Trans. Mob. Comput. 2006, 5, 738–754. [Google Scholar] [CrossRef]
 - Park, K.J.; Kim, J.; Lim, H.; Eun, Y. Robust path diversity for network quality of service in cyber-physical systems. IEEE Trans. Ind. Inform. 2014, 10, 2204–2215. [Google Scholar] [CrossRef]
 - Kim, D.; Won, Y.; Eun, Y.; Park, K.J. Resilient architecture for network and control co-design under wireless channel uncertainty in cyber-physical systems. Trans. Emerg. Telecommun. Technol. 2019, 30, e3499. [Google Scholar] [CrossRef]
 - Cheng, H.; Yan, X.; Lian, H.; Weng, L.; Zhang, Q.; Feng, Z. A novel collision avoidance algorithm for IEEE 802.11 wireless LANs. In Proceedings of the 2014 IEEE Military Communications Conference, Baltimore, MD, USA, 6–8 October 2014; pp. 879–884. [Google Scholar]
 - Sanabria-Russo, L.; Bellalta, B. Traffic differentiation in dense collision-free WLANs using CSMA/ECA. Ad Hoc Netw. 2018, 75, 33–51. [Google Scholar] [CrossRef]
 - Zhang, C.; Chen, P.; Ren, J.; Wang, X.; Vasilakos, A.V. A backoff algorithm based on self-adaptive contention window update factor for IEEE 802.11 DCF. Wirel. Netw. 2017, 23, 749–758. [Google Scholar] [CrossRef]
 - Cheng, Y.; Zhou, H.; Yang, D. Ca-CWA: Channel-aware contention window adaption in IEEE 802.11 ah for soft real-time industrial applications. Sensors 2019, 19, 3002. [Google Scholar] [CrossRef] [PubMed] [Green Version]
 - Kim, J.D.; Laurenson, D.I.; Thompson, J.S. Adaptive centralized random access for collision free wireless local area networks. IEEE Access 2019, 7, 37381–37393. [Google Scholar] [CrossRef]
 - Lei, J.; Tao, J.; Huang, J.; Xia, Y. A differentiated reservation MAC protocol for achieving fairness and efficiency in multi-rate IEEE 802.11 WLANs. IEEE Access 2019, 7, 12133–12145. [Google Scholar] [CrossRef]
 - Thulasiraman, P.; White, K.A. Topology control of tactical wireless sensor networks using energy efficient zone routing. Digit. Commun. Netw. 2016, 2, 1–14. [Google Scholar] [CrossRef] [Green Version]
 - Regis, P.A.; Sengupta, S. Distributed split-path routing strategy for multi-hop mesh networks. In Proceedings of the MILCOM 2017—2017 IEEE Military Communications Conference (MILCOM), Baltimore, MD, USA, 23–25 October 2017; pp. 575–580. [Google Scholar]
 - Tang, L.; Lu, Z.; Fan, B. Energy efficient and reliable routing algorithm for wireless sensors networks. Appl. Sci. 2020, 10, 1885. [Google Scholar] [CrossRef] [Green Version]
 - Taha, A.; Alsaqour, R.; Uddin, M.; Abdelhaq, M.; Saba, T. Energy efficient multipath routing protocol for mobile ad-hoc network using the fitness function. IEEE Access 2017, 5, 10369–10381. [Google Scholar] [CrossRef]
 - Chen, Z.; Zhou, W.; Wu, S.; Cheng, L. An adaptive on-demand multipath routing protocol with QoS support for high-speed MANET. IEEE Access 2020, 8, 44760–44773. [Google Scholar] [CrossRef]
 - Tilwari, V.; Dimyati, K.; Hindia, M.; Fattouh, A.; Amiri, I.S. Mobility, residual energy, and link quality aware multipath routing in MANETs with Q-learning algorithm. Appl. Sci. 2019, 9, 1582. [Google Scholar] [CrossRef] [Green Version]
 - Capabilities (UC) Reference Architecture (RA). Version 1.0. 11 October 2013. Available online: https://docplayer.net/2665571-U-s-army-unified-capabilities-uc-reference-architecture-ra-version-1-0-11-october-2013.html (accessed on 26 June 2022).
 - Kurose, J.F. Computer Networking: A Top-Down Approach Featuring the Internet, 3/E; Pearson Education India: Noida, India, 2005. [Google Scholar]
 - Perkins, C.; Belding-Royer, E.; Das, S. RFC3561: Ad Hoc on-Demand Distance Vector (AODV) Routing; RFC Editor: Fremont, CA, USA, 2003. [Google Scholar]
 - Network Simulation (Riverbed Modeler Suite) Web Site. Available online: https://www.riverbed.com/sg/products/steelcentral/steelcentral-riverbed-modeler.html (accessed on 29 March 2022).
 - Cole, R.G.; Rosenbluth, J.H. Voice over IP performance monitoring. ACM Sigcomm Comput. Commun. Rev. 2001, 31, 9–24. [Google Scholar] [CrossRef] [Green Version]
 

















| Granular Service Class | End-to-End Delay (ms) | End-to-End Packet Loss (%) | End-to-End Delay Jitter (ms) | 
|---|---|---|---|
| Short Messaging | 1000 | 0.5 | - | 
| Voice (Assured/Non-Assured) | 220/250 | 1/1 | 20/20 | 
| Multimedia Conferencing (Voice/Video only) | 220 | 1 | 20 | 
| Broadcast Video (Voice/Video only) | 1000 | 0.1 | - | 
| Multimedia Streaming (Voice/Video only) | 250 | 1 | 20 | 
| Low Latency Data: IM/Chat, Presence | 300 | 1 | - | 
| High Throughput Data | 300 | 1 | - | 
| Parameters | Value | |
|---|---|---|
| Simulator | OPNET 18.7 | |
| Simulation time | 300 s | |
| Number of nodes | 15 | |
| Routing protocol | AODV | |
| High | VoIP G.723.1 | |
| Traffic type | Middle | Video conferencing (10 frame/s) Low | 
| Low | Short message (1000 byte/s) | |
| MAC protocol | 802.11e EDCA | |
| Data rate | 1 Mbps | |
Publisher’s Note: MDPI stays neutral with regard to jurisdictional claims in published maps and institutional affiliations.  | 
© 2022 by the authors. Licensee MDPI, Basel, Switzerland. This article is an open access article distributed under the terms and conditions of the Creative Commons Attribution (CC BY) license (https://creativecommons.org/licenses/by/4.0/).
Share and Cite
Son, S.; Wi, G.; Park, K.-J. Situation-Aware Survivable Network Design for Tactical Environments. Appl. Sci. 2022, 12, 6738. https://doi.org/10.3390/app12136738
Son S, Wi G, Park K-J. Situation-Aware Survivable Network Design for Tactical Environments. Applied Sciences. 2022; 12(13):6738. https://doi.org/10.3390/app12136738
Chicago/Turabian StyleSon, Sunghwa, Gwangjin Wi, and Kyung-Joon Park. 2022. "Situation-Aware Survivable Network Design for Tactical Environments" Applied Sciences 12, no. 13: 6738. https://doi.org/10.3390/app12136738
APA StyleSon, S., Wi, G., & Park, K.-J. (2022). Situation-Aware Survivable Network Design for Tactical Environments. Applied Sciences, 12(13), 6738. https://doi.org/10.3390/app12136738
        
                                                
