Next Article in Journal
Lean Screening for Greener Energy Consumption in Retrofitting a Residential Apartment Unit
Previous Article in Journal
A Computer-Assisted Approach Regarding the Optimization of the Geometrical Planning of Medial Opening Wedge High Tibial Osteotomy
 
 
Font Type:
Arial Georgia Verdana
Font Size:
Aa Aa Aa
Line Spacing:
Column Width:
Background:
Article

Navigation Path Extraction and Experimental Research of Pusher Robot Based on Binocular Vision

1
Shandong Provincial Engineering Laboratory of Agricultural Equipment Intelligence, Shandong Provincial Key Laboratory of Horticultural Machineries and Equipment, Tai’an 271018, China
2
College of Mechanical and Electronic Engineering, Shandong Agricultural University, Tai’an 271018, China
3
College of Life Sciences, Shandong Agricultural University, Tai’an 271018, China
4
Chinese Academy of Agricultural Mechanization Sciences, Beijing 100083, China
5
College of Animal Science and Technology, Shandong Agricultural University, Tai’an 271018, China
*
Author to whom correspondence should be addressed.
Appl. Sci. 2022, 12(13), 6641; https://doi.org/10.3390/app12136641
Submission received: 10 June 2022 / Revised: 27 June 2022 / Accepted: 27 June 2022 / Published: 30 June 2022

Abstract

:
The pushing robot working in the complex farming environment encounters several problems. For example, the precision of its navigation path extraction is low, and its working quality is greatly affected by the weather. In view of this, a method of farm operation path extraction based on machine vision is proposed in this study in order to solve the problems above and realize the autonomous and intelligent operation of the robot. First of all, the RGB images of the working area in front of the robot are obtained by using an RGB camera installed on the machine. Then, the collected images are preprocessed by means of sky removal, denoising and grayscale transformation. After that, the image is segmented to obtain the front fence, feed belt and ground data. Finally, the navigation path is obtained by extracting the features of the feed belt. The test results show that the absolute deviation of the pushing robot at different initial lateral distances is less than ±15 cm, and the deviation between the actual navigation route and the target route is within the expected range. The absolute value of the maximum lateral deviation in five test areas is 8.9 cm, and the absolute value of the average maximum lateral deviation is 7.6 cm. These experimental results show that the pushing robot can work stably without disturbing the feeding of cows. Particle swarm optimization is used to optimize the parameters of the PID and find the optimal parameters. This makes the system balanced and more responsive. Through this test, it is found that the initial direction of the robot will have a certain impact on the path production and tracking efficiency, and this effect is more significant when the robot changes the working area or turns. In which case, the trajectory of the robot should be in such a way that it immediately faces the next row at a small angular deviation, thus ensuring smoother motion. The method proposed in this study can provide support for the automatic navigation of pushing robots in dairy farms.

1. Introduction

The development of dairy farming is closely related to animal husbandry and even agriculture. It not only has more connections with other industries, but also has the advantages of grain saving and high efficiency. Compared with other countries, the development of dairy farming in China is relatively late. However, after years of accumulation and rapid development, China’s dairy farming industry has become an important part of animal husbandry, ranking at the forefront of the world in terms of total milk production and farming scale [1]. The development status of dairy-related industries can be used to measure a country’s level of agricultural modernization [2]. Benefitting from the development of dairy farming, in 2020, China’s total milk production reached 35.3 million tons, an increase of 4.3 times compared with 2000. It is undeniable that China’s dairy farming industry plays a key role in increasing the supply of dairy products, meeting the consumption needs of residents’ dairy cows, optimizing the rural industrial structure and increasing the income of dairy farmers [3].
The increase of dairy farming enterprises is the inevitable result of the development of dairy farming and related industries. In the traditional dairy farming process, forage is usually laid beside the dairy cow pen but, according to the feeding habits of dairy cows, only the closest forage is eaten. Not only that, in the process of eating, part of the forage will be gradually pushed to the outside by the dairy cows, which will lead to the spoilage of uneaten forage due to accumulation for an extended amount of time. This requires external intervention to push all-weather feed to the dairy cow pen in time to ensure the normal feeding of dairy cows. The current solution is to use manual or manually driven pushing equipment to push the outer forage into the feeding area of the dairy cow. As a result, breeding enterprises need to arrange more labor or equipment to push the forage [4]. Relying on manual labor is not only labor-intensive, but also makes it difficult to complete the feeding work in a timely and stable manner. If the feeding is not pushed in time at night, the milk production of the dairy cows will be reduced. Therefore, many types of pusher robots have emerged. These pusher robots mainly use magnetic induction technology to realize the self-propelled operation of the robot. For example, Shen used the magnetic induction navigation method to determine the walking route of the robot, completed the motion control through PID control, and detected the pushing resistance and output thrust in real time [5]. This not only solved the defects of the high work intensity and untimely feeding at night, but also realized the full automation and intelligence of the feeding process. The drive motor has a high transmission precision and fast response speed. However, motors are sensitive to external disturbances and load changes. The control accuracy of traditional control methods (such as PID control) is based on the accuracy of the mathematical model of the controlled object [6,7]. In practical industrial applications, the variation of disturbance and load is inevitable; it is almost impossible to establish an accurate mathematical model of the controlled object [8]. When the drive motor works in an uncertain environment and needs to maintain a high precision, traditional control methods cannot satisfactorily meet the control requirements of linear motors. Therefore, a control method that can change the control parameters in real time is required.
On the other hand, under the mature application of image processing, embedded, electromechanical control and other technologies, visual signals stand out due to their advantages of a large amount of information and strong applicability [9,10]. Machine vision has become an important direction for the development of autonomous robot operation technology. Agricultural robots such as pusher robots have also begun to develop in the direction of intelligence, becoming a research hotspot in self-propelled robots and precision animal husbandry. In recent years, researchers at home and abroad have carried out related studies on the extraction of navigation paths for agricultural robots based on vision. Chen et al. proposed a new algorithm for the fitting of a navigation path for greenhouse cucumber-picking robots. The proposed prediction point, the Hough transform, fits the navigation paths with an average error less than 0.5°, which is 10.25° lower than the average error of the least-square method [11]. Kim et al. proposed a novel path detection approach for orchards using CNN-based partial area classification. The approach involves generating a path score map by using a four-layer CNN for tree and path classification, path area segmentation and target path detection by using boundary line determination [12]. Whether in a greenhouse sprayer [13], rubber-tapping robot [14] or tomato harvesting robot [15], machine vision was used in navigation path extraction and tracking control research. The research and development of various agricultural robots with autonomous navigation and obstacle avoidance functions can complete various automated operations, improve the operational efficiency of agricultural labor and reduce overall production costs. Therefore, in this study, the visual navigation method will be applied to develop a pusher robot for dairy farms.
At present, the existing research at home and abroad has solved the problem of navigation path extraction in some agricultural scenarios, but the working environment of dairy farms is rarely mentioned. In this study, a new type of machine vision system was developed to fill this gap. The system will be used for the extraction and tracking control of the working path of the pusher robot. The binocular vision sensor was used as the image acquisition device, and only binary images were used in the algorithm, thus reducing the computational load of the system. A method for extracting the working path of a pusher robot based on binocular vision proposed in this study is summarized as follows: Firstly, the camera mounted on the robot acquired the image of the working area in front of the robot in real time and preprocessed the image by means of sky removal, noise removal and grayscale. Then, the preprocessed image was segmented, and, at the same time, the front fence, feed belt and ground data were collected. Finally, the navigation path was obtained by extracting the characteristics of the feed belt. The system designed in this study could autonomously generate accurate navigation paths for robots in a dynamic farm environment, which will provide a technical reference for the autonomous navigation of farming robots and the development of precision animal husbandry.
This paper is organized as follows: Section 2 details the materials and methods employed to achieve the research objective. In Section 3, the experimental results and discussion on the proposed technique are presented. Finally, in Section 4, the conclusion and future work is provided.

2. Materials and Methods

2.1. The Composition of the Pusher Robot System in the Farm

The pusher robot was mainly composed of a vehicle navigation hardware system, pushing operation system and navigation and operation control system. Among them, the vehicle navigation hardware system and the pushing operation system were the specific execution systems of the instructions, which were responsible for receiving and executing the task instructions issued by the control system to complete the autonomous navigation and pushing operation. The navigation and operation control system was responsible for setting the working mode of the vehicle system, issuing target point instructions, displaying the robot position in real time and controlling the pushing operation system. Through the fusion and analysis of various sensor information, the pusher robot could realize autonomous positioning and navigation in the natural environment. With adaptive sensor fusion technology, it could independently complete the automatic feeding function of the robot in the dairy farm without any environmental assistance.
The hardware device and the control system communicated in real time through the wireless network to complete the autonomous navigation and operation tasks of the pusher robot in the farm together, as shown in Figure 1. The vehicle navigation hardware system mainly included robot chassis, drive module, control module, environmental information perception module, communication module and power supply module.
According to the task of the farm operation and the needs of the environment, the driving module of the robot adopted a two-wheel differential drive structure, and the steering control of the robot was realized by setting different speeds for the two driving wheels. The front wheel adopted a two-wheel differential drive structure, and the rear wheel adopted a universal wheel. This drive system was not only simple in structure and small in turning radius, but also more flexible in movement, which greatly improved the control accuracy of the whole machine. The power system was provided by 60 V lithium battery modules. In order to ensure that the robot had powerful computing functions, the main control unit used an NVIDIA Jetson Nano development board equipped with Tegra X1 heterogeneous SoC; the size of this unit was 100 mm × 80 mm × 29 mm. The basic framework of the robot operating system navigation was built under the Ubuntu 18.04 system, and information was exchanged with the chassis by means of RS-485 communication. The ZED 2 binocular camera of Stereo Labs was used to build the environmental information perception module. The horizontal field of view was 90° and the vertical field of view was 60°. It supported a maximum frequency of 15 Hz to output a binocular image of 4416 × 1242 (pixels). The generated signal was transmitted to the main control unit via USB3.0. The car was equipped with an STM32F103 embedded motherboard as the underlying controller. According to the speed information provided by the encoder, the odometer data (moving speed, driving distance and turning angle) of the vehicle system were obtained through kinematics calculation. Finally, the control of the vehicle-mounted system and the pushing operation system was completed through the control algorithm.

2.2. Motion Modeling and Control

In this study, a two-wheel differential drive was used for the steering control, so as to realize the autonomous movement of the robot in the farm. During steering control, steering was achieved by changing the speed difference of the servo motors on both sides used to drive the wheels. The differences between the servo motor speeds caused the vehicle to deviate from the desired direction, and the yaw angle varied with the magnitude of the speed difference. Likewise, if the speed of the servo motors on both sides was equal, there would be no direction change. The robot could keep driving in a straight line without lateral deviation.

2.2.1. Motion Modeling

Without considering the slippage and sideslip of the crawler car [16], the motion model of the robot is shown in Figure 2. Firstly, we established the world coordinate system XwOYw: Xw represented the horizontal direction, O represented the origin of the world coordinate system, and Yw represented the direction perpendicular to the Xw axis. Then, the kinematics model of the pusher robot was established in the coordinate system. The rectangle represented the chassis of the robot, the two small black squares represented the two driving wheels of the robot, and the circle inside the rectangle represented a universal wheel. Point C was located in the center of the two driving wheels, which was also the center of mass of the entire robot chassis. Point C coordinates were set to C (x, y). The distance between the two wheels was represented by L, and the radius of the wheel was represented by r. The robot’s own local coordinate system (XrCYr) was established with point C as the reference point of the robot, where Xr pointed to the full right side of the moving robot’s forward direction, and Yr indicated the forward direction of the mobile robot. θ was the angle between the forward direction of the robot [17] and the world coordinate system Xw, which represented the pose angle of the robot. vl, vr, wl, and wr represented the linear and angular velocities of the left and right wheels. v, w, and OC represented the instantaneous velocity, angular velocity and instantaneous center of the robot motion, respectively.
The robot’s pose is expressed as:
p = [ x , y , θ ] T
The motion of the robot in the world coordinate system was mapped to the robot coordinate system by the orthogonal rotation matrix R(θ) [18]:
R ( θ ) = [ cos θ sin θ 0 sin θ cos θ 0 0 0 1 ]
p ˙ J = R ( θ ) 1 p ˙
That is:
[ x ˙ J y ˙ J θ ˙ J ] = [ cos θ sin θ 0 sin θ cos θ 0 0 0 1 ] [ x ˙ y ˙ θ ˙ ]
The motion equation of the robot’s center of mass in the world coordinate system was as follows:
{ x ˙ = ν cos θ y ˙ = ν sin θ θ ˙ = ω
From this, the kinematics model of the robot was as follows:
[ x ˙ y ˙ θ ˙ ] = [ cos θ sin θ 0 0 0 1 ] [ ν ω ]
It can be seen from Formula (5) that the pose of the robot was determined by the linear velocity and the angular velocity, and, according to the kinematics principle, the velocity at point C was as follows:
V = V l + V r 2
The pose vector of the mobile robot:
[ x ˙ y ˙ θ ˙ ] = [ r 2 cos θ r 2 sin θ r L r 2 cos θ r 2 sin θ r L ] [ ω l ω r ]
It can be seen from Formula (7) that the pose state of the robot at each moment was obtained by using the angular velocity of the driving wheels on both sides of the robot at the corresponding moment.

2.2.2. Motion Control

The lateral deviation and angular deviation of the robot was obtained through the fitting of the cowshed fence, the extraction of the operation route and the determination of the robot’s pose state [19]. The motion deviation of the pusher robot is shown in Figure 3. During the working process of the pusher robot, the linear speed was related to the angle deviation. When there was no angular deviation, the actual line speed moved according to the set line speed; when there was an angular deviation, within a certain range, the larger the angle deviation, the smaller the actual line speed should be, so as to avoid the robot deviating further and further away. The actual angular velocity was related to lateral deviation and heading deviation [20]. When there was lateral deviation or angular deviation, the mobile robot would generate a corresponding angular velocity to eliminate the deviation; when both the lateral deviation and the angular deviation were zero, the actual angular velocity of the mobile robot was zero.
As shown in Figure 4, the PID control algorithm is usually composed of three units, namely a proportional control unit, integral control unit and differential control unit. The e(t) is the deviation between the actual value and the given value, and it is also the input value of the PID control algorithm. The expression of e(t) is shown in Equation (8).
e ( t ) = t ( t ) y ( t )
where, r(t) is the actual value transmitted to the system; y(t) is the actual control value of the system; and e(t) is the deviation between the actual value and the expected value of the system.
After the linear combination, u(t) is output as the output value, and it is used as the input value of the control object. Therefore, the expression of the PID control algorithm is shown in Equation (9).
u ( t ) = k p [ e ( t ) + 1 k i 0 t e ( t ) d ( t ) + k d d e d t ]
where, t is the sampling time; kp is the proportional coefficient of the controller; ki is the integral coefficient of the controller; and kd is the differential coefficient of the controller.
The transfer function of Equation (9) is of the form:
G ( s ) = k p ( 1 + 1 k i s + k d s )
The fuzzy control algorithm can adjust the PID parameters according to the difference of the system [21,22]. However, the initial PID parameters need to be adjusted. This makes it difficult to make the system perform optimally. Therefore, particle swarm optimization is used to optimize the parameters of the PID and find the optimal parameters. This makes the system balanced and more responsive.
The particle swarm optimization algorithm is a random search algorithm with group collaboration as the core [23]. As shown in Figure 4, in this algorithm, the particles in the search space represent the solution to the problem, and these particles form a population. The direction and distance a particle flies is determined by its velocity. The particle flies in the solution space along the optimal solution, and when a certain number of iterations is reached, the optimal position vector of the particle is the optimal approximate solution of the problem. The particle swarm optimization has the advantages of simple iteration and fast convergence, and is suitable for parameter optimization of control systems.
The process of optimizing the fuzzy PID controller with the particle swarm optimization algorithm is shown in Figure 5. Assuming that K particles are initialized in the D-dimensional solution space, each particle has its own spatial position Xm = (Xm1, Xm2, …, XmD) and its own flying speed Vm = (Vm1, Vm2, …, VmD), where m = 1, 2, 3, …, K. Each time the particle iterates in the solution space, it optimizes its own solution through the optimal solution Pbestm = (Pm1, Pm2, …, PmD) of the individual particle and the optimal solution Gbestm = (G1, G2, …, GD) of the particle population’s speed and position. The update formulas for particle velocity and position at the Nth iteration are shown in Equations (11) and (12).
V m D N = V m D N 1 + c 1 r 1 ( P m D X m D N 1 ) + c 2 r 2 ( G m D X m D N 1 )
X m D N = X m D N 1 + V m D N 1
where, V m D N represents the velocity of the mth particle, XmD represents the position of the mth particle, c1 and c2 represent the learning factors, r1 and r2 represent the learning factor random number function whose value ranges from [0, 1], and N represents the number of iterations.

2.3. Navigation Path Extraction Algorithm

As shown in Figure 6, after a dairy cow had eaten for a period of time, a large portion of the forage would be pushed by the dairy cow to the area where it cannot be eaten, which made the stacking shape of the forage become irregular, and the stacking thickness become uneven. Therefore, the pusher robot was operated along the outer edge of the area where the dairy cows could not eat the forage, and the forage in this area was pushed to the area where the dairy cows could reach. The outer boundary of the no-feed zone was the tangent to the outermost forage and was parallel to the fence. As shown in Figure 7, during the entire operation process, the centerline of the pusher robot was kept coincidental with the outer boundary of the no-feed zone.
By analyzing the above operation process, it was found that the navigation path of the pusher robot was the outer boundary of where the cows were unable to eat. The navigation path extraction process is shown in Figure 8. The extraction of the navigation path in the RGB image collected by the ZED 2 camera was done through the Jetson Nano development board. Firstly, the camera mounted on the robot would acquire the RGB image of the working area in front of the robot in real time, and preprocess the image by means of sky removal, noise removal and grayscale. Then, the preprocessed image was segmented and, at the same time, the front fence, feed belt and ground data were collected; Finally, the navigation path was obtained by extracting the characteristics of the feed belt.

2.4. Image Acquisition

Image data were collected at the Jinlan Dairy Farming Company (Tai’an, Shandong, China). The image acquisition time was from 7 September to 10 September 2021. The company currently had 6 cowsheds (70 m and 30 m in length and width), with a total of 2000 high-quality Holstein dairy cows. A ZED 2 camera was installed at the top front end of the robot at a height of 1.2 m above the ground to collect RGB images of the cowshed environment on the robot’s driving path. In order to reduce the calculation amount of image processing and meet the requirements of reducing the computing power of the development board, the SDK provided by the manufacturer was deployed on the Jetson Nano development board, and image acquisition was performed at a frame rate of 2 fps and a resolution of 1280 × 720. A total of 400 cowshed images were acquired throughout the whole process, as shown in Figure 9, and the acquisition period was 8:00–18:00. The image set covers different lighting situations (front, back, side, etc.) and road environments (inside the barn, side of the barn and between the barns).

2.5. Image Preprocessing

Raw images taken directly from a cowshed were always affected by a variety of factors, including changing backgrounds, lighting and occlusions. Therefore, segmentation and path extraction could not be performed directly on the original image. Generally, the original image was preprocessed through a series of algorithms to convert it into a form that was convenient and fast for the robot to process [24,25]. Image preprocessing may involve one or several steps, depending on the nature of the original image. In this work, we employed two techniques (image transformation [26] and smoothing [27]) to perform sky removal, noise removal and grayscale operations on the original image.

2.5.1. Sky Removal

During the working process of the robot, there were generally feed belts and dairy cow pens beside the road, and the background was generally the sky and the roof outside the dairy cow barn. After identifying the areas on both sides, the road and sky range in the middle could be obtained. Then, road feature information and navigation paths could be extracted by sky removal. Therefore, the image transformation should be utilized to remove the sky in the background element. OpenCV was used to read the RGB values of the sky area. The sum of squared deviations (SS) of the RGB values of the sky (252, 240, 200) and other elements were calculated through the threshold processing function, as a measure of the similarity between the current pixel and the background, as shown in Equation (13).
SS = ( p 0 S C 0 ) 2 + ( p 1 S C 1 ) 2 + ( p 2 S C 2 ) 2
where, p0, p1 and p2 were the G, B and R values of the other elements in the image, respectively; SC0, SC1 and SC2 were the G, B and R values of a point in the sky, respectively
Combined with the actual environment of the cattle farm, the threshold was determined to be 9000 after many tests. The test results showed that more pixels were covered and a better processing result was obtained. Filling the sky color with black (0, 0, 0) eliminates unnecessary image factors, which was beneficial to subsequent image segmentation processing and reduced computational costs. For each GBR image pixel, the values of the B, G and R channels were converted to the same value, and the grayscale effect was observed. As shown in Equation (14), in this study, the average value method was used to average the G, B, and R values of each pixel on the original image, replace the original pixels and convert the original image to a grayscale image. The processing effect is shown in Figure 10.
B 1 = R 1 = G 1 = ( B + G + R ) 3 = G r a y
where, B, G and R are the values of each component of the RGB image from which the sky was removed; Gray is the value to be replaced; and B1, G1 and R1 are the values of the replaced components.
The K-means clustering is also often used for such problems. The K-means algorithm is also more widely used in practice due to its good scalability and low complexity. During the task of the sky removal of background elements, the number of clusters can be determined as 2. A total of 50 images were randomly selected from each of the RGB images acquired during the work outside and inside the barn and tested using the K-means algorithm. The average success rate of clustering by K-means was 79%, in which 47 of the 50 images outside the barn were successfully clustered, and 32 of the 50 images inside the barn were successfully clustered.
The similarity measure between classes is calculated by the discrete sum of squares method, which is slow due to the need to calculate the inter-class distance in each clustering step; the K-means clustering algorithm is sensitive to the initial clustering center and cannot specify a more accurate initial clustering center, which easily falls into the local optimal solution in the face of complex situations and can easily remove the road elements by mistake. Considering the above situation, we used the following algorithm for the sky removal operation.
The global threshold algorithm used the threshold segmentation method of threshold de-binarization on the entire image to segment the pixels from the image [28]. The RGB images inside and outside the barn were randomly selected for a segmentation test, and the maximum value in the threshold segmentation was 255. The key to the global threshold segmentation was to choose the specified value. The test results showed that when the threshold was set to 210, the sky could be effectively segmented by the scene inside the cowshed, and the road surface could be preserved. The processing effect is shown in Figure 11.

2.5.2. Image Noise Reduction

In order to make the image brightness smooth and gradual, the sudden gradient must be reduced, the wide area, low frequency and main part of the image highlighted, and the impulse noise of a given image suppressed for the image to be smoothed. The median filter method was used in this study, and its basic principle was to replace the value of a certain point in the digital image with the median value of each point value in the neighborhood of the point, which would eliminate isolated noise points by making nearby pixel values close to the true value. For noise points, an effective median filter was selected for processing, which could remove the noise points without destroying the information of other normal image points, and at the same time retain the boundary information [29]. The choice of kernel size directly affected output quality and processing time. The experimental results showed that the output quality of the 3 × 3 core was also satisfactory without increasing the processing resources. Therefore, image regions were processed to remove noise by median filtering of a 3 × 3 kernel neighborhood. The transformation and smoothing effects of the image are shown in Figure 12.

2.6. Image Segmentation

2.6.1. Gabor Filter

Depending on the problem to be solved and the content of the images, segmentation could be done in a variety of ways. However, considering the complex background of the cowshed, a Gabor filter was used to extract the texture features of the cowshed environment. The Gabor filter is robust enough to image brightness and contrast changes as well as pose changes, and it expresses the most useful local features for image recognition. Therefore, Gabor filters are widely used in texture segmentation, edge detection and content detection [30]. From a biological point of view, the Gabor filter is very suitable for the expression and separation of texture, and its frequency and direction expression is similar to the human visual system. In previous studies, no one has attempted to use this technique in a cattle barn environment, especially in the study of pusher robot navigation.
In the spatial domain, a two-dimensional Gabor filter is the product of a sine plane wave and a Radial Basis Function (Gaussian kernel). The former is a harmonics function and the latter is online analytical processing. The following is the complex number expression of the two-dimensional Gabor function.
g ( x , y ; λ , θ , ψ , σ , γ ) = e x 2 + λ 2 y 2 2 σ 2 e i ( 2 π x λ + ψ )
{ x = x cos θ + y sin θ y = x sin θ + y cos θ
where, x, y represent the original pixel coordinate position, and x’, y’ are the pixel coordinate positions after Gabor transformation; λ is the wavelength—the wavelength directly affects the filtering scale of the filter, and its value is specified in pixels; θ is the direction of the filter—this parameter specifies the direction of the parallel stripes of the Gabor function, and its value was 0–360°; Ψ is the phase offset of the tuning function; γ is the spatial aspect ratio, which determines the shape of the filter; and σ is the bandwidth, which is the variance of the Radial Basis Function. The relationship between standard deviation and wavelength was σ = 0.56λ. The smaller the bandwidth, the larger the standard deviation, the larger the Gabor shape, and the greater the number of visible parallel stripes.

2.6.2. Principal Component Analysis

For each pixel, the Gabor filter extracted 40 amplitude features using 40 different filters at 5 scales (λ = 2, 3, 4, 5, 6) and 8 directions (θ = 0, π/8, π/4, 3π/8, π/2, 5π/8, 3π/4, 7π/8). A barn image has 1280 × 720 × 40 = 36,864,000 dimensional features, and it is more difficult to directly characterize such high-dimensional features; therefore, in order to minimize the computational requirements during processing, the principal component analysis (PCA) technique is used. The PCA technique is a common method of data analysis, is often used for dimensionality reduction of high-dimensional data and can be used to extract the main features of the data [31]. The principle of PCA is to reduce the dimensionality of a dataset with a large number of correlated variables while preserving as much of the variation present in the dataset as possible. PCA eliminates redundancy by transforming several interrelated variables to generate a new set of orthogonal features, called principal components.
In this work, we implement the PCA algorithm based on the eigenvalue decomposition covariance matrix. For an input of 36,864,000-dimensional data, the eigenvalues and eigenvectors of the covariance matrix are calculated by subtracting the respective mean values for each part of the features, selecting the largest 500 of them, and forming the eigenvector matrix P with its corresponding 500 eigenvectors as row vectors, respectively. PX is our mathematical expression after dimensionality reduction, and the expression is as follows.
X = { x 1 , x 2 , x 3 , x n }
D ( X ) = 1 n X X T
where, X represents the input n-dimensional vector, n = 36,864,000, and D(X) represents the covariance matrix of the n-dimensional vector.
The Gabor filter data were run through a PCA algorithm that identifies the principal components used as texture descriptors representing the cow field paths, thus allowing a more natural segmentation and reducing the dimensionality of the data.

2.6.3. Images Segmented by Global Thresholding

The next step was to perform a threshold binarization process with a maximum value of 255 and a threshold value of 80, which could extract fences and road surfaces, as shown in Figure 13.
The thresholding method occupies a very important position in image processing, and the selection of the correct threshold is the key to successful segmentation. Generally speaking, the thresholding methods we can choose from are basic global thresholding, which uses the idea of iterative thresholding, and optimal global thresholding using Otsu, which uses the idea of variance maximization; these are often chosen by histogram. When the separation between the wave peaks in the image histogram is very obvious, the basic thresholding method is often a good solution to the problem, and the farther the separation between the wave peaks, the greater the chance of separation. In the image pre-processing stage, we also perform image transformation and smoothing, and the image grayscale histogram before and after processing is shown in Figure 13.
As shown in Figure 14, after image pre-processing, the image grayscale distribution was smooth and uniform, and we quickly found the suitable threshold value after testing. When the threshold value was set to 80, the extraction of cattle fence and path could obtain a better segmentation effect for the acquired image. When the threshold value was less than 80, the road surface and the feed strip could not be distinguished, and when the threshold value was greater than 80, the road surface could not be segmented completely.
The feature extraction of feed belt was carried out in the cowshed, as shown in Figure 15.

2.7. Image Processing

Extracting regions of interest (ROI) from images is a research hotspot in the field of digital image processing. Therefore, in the image processing stage, the ROI was used to extract the coordinates of the robot’s navigation path. When the pusher robot transferred from barn to barn, it needed to find the outline of the path. The specific processing was: it took the edge point set of the path contour, and then obtained the moment of the contour, so as to obtain the contour of the path, as shown in Figure 16a. The center coordinates of the contour can be calculated from the known moments, as shown in Figure 16b. The center coordinates are the navigation coordinates. When the pusher robot extracted front images at a frame rate of 2 fps, the midpoints of these images were extracted and connected to form a line, and the navigation path could be obtained.
When the pusher robot pushed the material in the cowshed, it needed to work along the outermost area of the area where the dairy cows couldn’t eat the forage (the shape was irregular), and pushed the forage into an area where the dairy cows could eat it. Therefore, it was necessary to keep the centerline of the robot coincidental with the outermost boundary of where the cows were unable to eat during the entire operation. Considering the computing power and working efficiency of the system, it was not realistic to build a 3D model for each RGB image. In this work, the information that can reflect the three-dimensional space was still extracted from the two-dimensional image. As shown in Figure 17, in path extraction, the image was first processed for boundary extraction with the help of mathematical methods. The first step was the erosion operation, i.e., the internal points in the feed band were preserved by a 3 × 3 structural element, the obtained internal points were the erosion image, and the erosion image was operated with the original feed band to find the complementary set, i.e., the feed band boundary was obtained. After extracting the contour of the feed band, the contour was analyzed in the connected domain, the 8 pixel points around each pixel were analyzed, and the seed-filling connected domain labeling algorithm was used to separate the foreground target of interest from the image background in the image, so that the relevant image processing operations could subsequently be performed on the foreground target of interest. The main idea of the seed-filling-based tagging algorithm is to select a pixel point in the image as the seed for the start of the algorithm traversal, and then merge the eligible pixel points into the set according to the specified neighboring relationship, and after the traversal, all the pixel points in the set belong to the same connected region. In the two-dimensional image, the straight-line envelope of the irregular feeding belt contour boundary could achieve the processing effect. The minimum envelope triangle was found by the above connectivity domain analysis (three sides contained all the points in the set) and ensured that the feed was within the pushing range, which could better reflect the three-dimensional space. Compared with the traditional polygon and convex hull processing contours, the path obtained by the minimum circumscribed triangle was shorter and the work efficiency was higher.

3. Results and Analysis

3.1. Navigation Path Extraction Test

Image data were collected at the Jinlan Dairy Farming Company (Tai’an, Shandong, China) to verify the precision and accuracy of the navigation path extraction method. The image acquisition time was from 3 November to 7 November 2021. At 9:00 and 16:00 every day, the farm used the TMR spreader to add feed to the cowshed, and the dairy cows ate freely. Two hours after the work of the spreader was over, the pusher robot was used to automatically move along the forage stacking area to the front of the dairy cow feed fence. As shown in Figure 18, during operation, the robot pushed the feed to the vicinity of the feed fence and concentrated the scattered feed to the feeding area without disturbing the normal feeding. In all experiments, the operating speed was monitored by the encoder’s odometer, and the travel speed was maintained at 0.5 m/s.
To verify the performance of the proposed vision-based navigation path-tracking extraction system, field tests were performed using the pusher robot designed in this study. The laser ranging module (measurement range is 0.03–40 m, accuracy ±1 mm) was installed in the center and tail of the pusher robot, and the center height of all laser transmitters was consistent with the center height of the horizontal fence to ensure the accuracy of the measurement results. The algorithm proposed was used to extract the path and control the robot to perform the actual operation. The lateral deviation (D) and angular deviation (θ) of the pusher robot could be obtained by calculating the difference between the actual and theoretical operation route. The performance of the navigation path extraction algorithm proposed was evaluated by D and θ. Therefore, two sets of experiments were conducted to determine the performance of the proposed algorithm. The experiments in each group were repeated three times, and the results of each index of the experiment were taken as the average value as the deviation of the experimental conditions.

3.2. Lateral Deviation Assessment

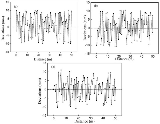
Lateral deviation (D) was defined as positive (+D, left of the specified working route), negative (-D, right of the specified working route) or zero (0 D, at the specified working route) deviation, relative to the specified working route. The expected travel path of the pusher robot was obtained by the path extraction system. The actual operation route was measured by the laser ranging module (Modbus Rtu, precision: 1 mm, Beidou Technology Group Co., Ltd., Chongqing, China) installed in the middle of the pusher robot. The road boundary could be determined by the positions of the fences on both sides. In the test of path extraction and motion control system stability, the working area of one dairy cow barn was randomly selected, the pusher robot was placed at one end of the working area, and different initial lateral distances (+0.1, −0.1 and 0 m) were maintained from the fence. The pusher robot was set up to operate autonomously along the extraction navigation path with a working distance of 50 m. Figure 19 shows the lateral deviation from the different D values.
It was found from Figure 17 that when the initial lateral distances were +0.1, −0.1 and 0 m, the maximum lateral deviation between the actual navigation path and the target path was less than 12, 14 and 11 cm, respectively. The absolute deviations of the three initial lateral distances of the pusher robot were all within 15 cm. Although there were some deviations between the actual navigation route and the target route, there was no serious deviation. At the same time, all three groups of experiments were able to complete autonomous navigation and reach the end point safely. This proved the stability of the path extraction and motion control system under different initial lateral errors.
In the tests of path extraction and motion control system accuracy, the five barn work areas were randomly selected and the robot was placed at the beginning of each work area. The path of the pusher robot was measured by the laser ranging module installed in the middle of the robot. The distance between the pusher robot and the fence was measured and recorded every time the robot advanced 0.5 m, and the D value of the pusher robot was obtained by calculating the difference between it and the theoretical operating route. The statistical results are shown in Table 1.
Table 1 shows the errors generated by the path extraction and motion control systems in actual operation. It can be seen from Table 1 that the maximum lateral deviation in the five different test areas was 8.9 cm, and the average maximum lateral deviation was 7.6 cm; the largest average lateral deviation was 4.8 cm, and all the average lateral deviations were 3.5 cm. This showed that the pusher robot could operate stably without affecting the feeding of the dairy cows. The maximum value was generated in the fourth test area, mainly because there was only a cowshed on one side of this test area, and the error was relatively large when the road boundary was extracted on the other side, which may have affected the accuracy of path extraction. Although there was a deviation between the actual navigation route and the target route, there was no serious deviation. In addition, the standard deviation and RMSE of all tests were relatively constant, with standard deviation between 1.8–3.3 and RMSE between 3.1–5.5, which further indicated the reliability of the system proposed in this study and the effectiveness of the fuzzy PID controller, leading to robotic insufficient stability during navigation. The reasons for the above errors were analyzed. The main reason was that part of the fence may have been deformed, which led to certain errors when measuring the actual distance with the laser range finder. On the other hand, because the ground was relatively smooth, the situation occasionally occurred, which led to certain deviations in the test experiments. The maximum error under the five test areas was 8.9 cm, which could meet the accuracy requirements of navigation in dairy farms under normal circumstances and could meet the requirements of feeding operations.

3.3. Angular Deviation Evaluation

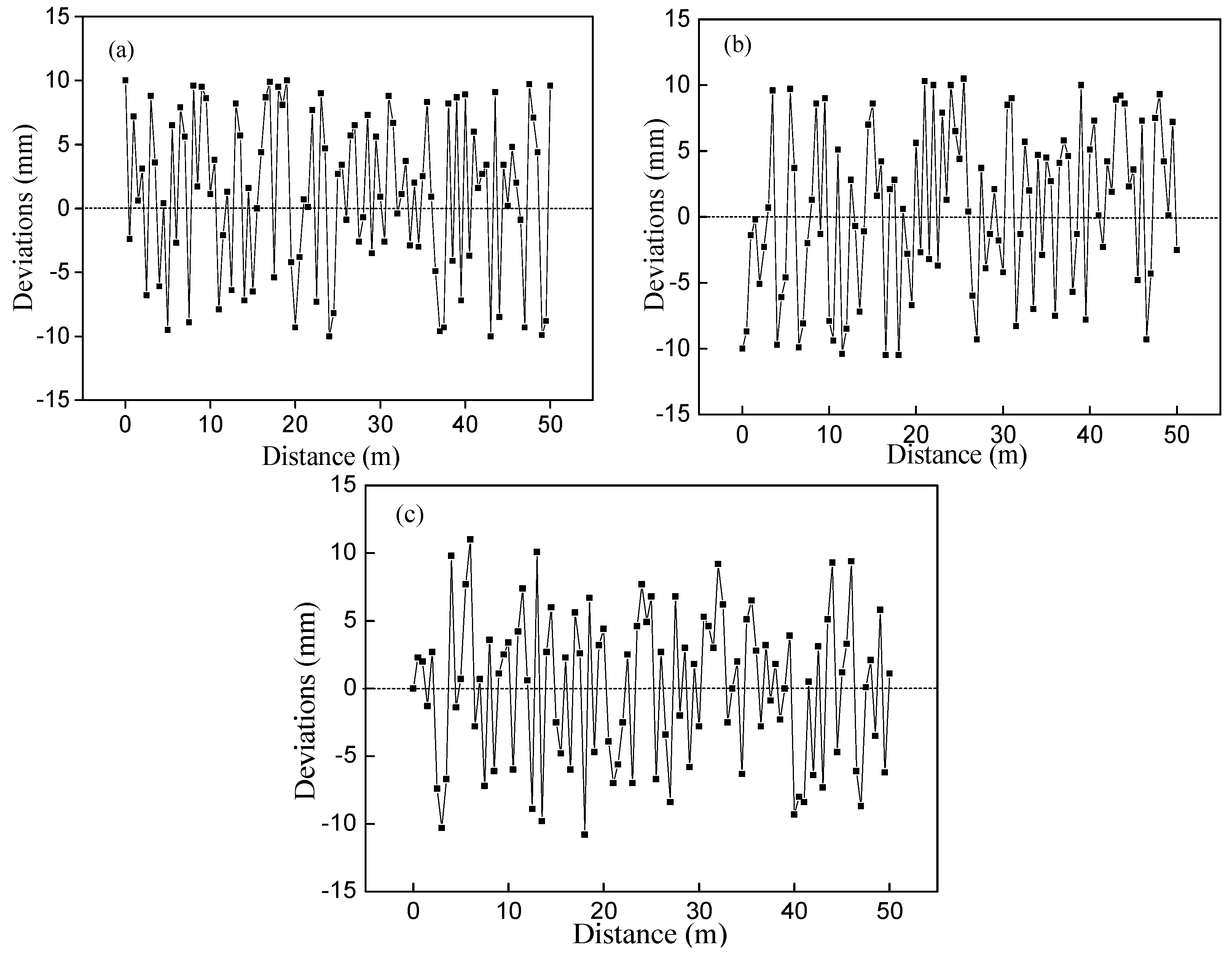
The angular deviation (θ) referred to the positive (+θ, the left side of the specified working route), negative (−θ, the right side of the specified working route) or zero (0θ, at the specified working route) deviation, relative to the actual advancing direction of the pusher robot and the specified working route. The actual working angle deviation was determined by the position connection of the laser ranging module installed in the middle and tail of the pushing robot. θ was used to evaluate the robustness of the system proposed in this study to changes in angular bias. The pusher robot started at the beginning of each row in different directions from −45 to +45, relative to the guide path. Due to the relatively narrow lateral field of view of the camera (90°), the system would not have been able to generate coordinates for the navigation path when the angular deviation exceeded ±45°. Therefore, in this test on angular deviation, the range between −45° and +45° was mainly studied. In the angle deviation test of path extraction and the motion control system, the working area of 1 dairy cow barn was randomly selected, the pushing robot at one end of the working area placed, and a different initial angle from the specified working route (+45 °, +15°, −45° and −15°) maintained. The pusher robot was set up to operate autonomously along the extraction navigation path with a working distance of 50 m. Figure 20 shows the resulting angular deviation from different values of θ.
In Opiyo’s research [32], the stability threshold was set at ±5°, based on the nature of the terrain of the orchard. Based on this basis, the stability threshold in this study was also set to ±5°. It was found from Figure 9 that, despite the different θ values, through the path extraction and the adjustment of the motion control system, the pusher robot could perform effective direction correction, so that the change of θ gradually became smaller. When the initial angles were +45° and −45°, the angle adjustment of the pusher robot was relatively large, and the stability threshold was reached after driving distances of 35 and 34 m, respectively, and continued to be more stable. When the initial angles were + 15° and −15°, the angle adjustment of the pusher robot was relatively smooth, and entered the stable threshold after traveling 13 and 14 m, respectively. Compared with larger initial angles (θ = +45° and −45°), the system could quickly adjust the deviation of smaller initial angles (θ = +15° and −15°), allowing the robot to enter a stable state more quickly.
The above test results showed that a larger starting θ initially showed much difficulty in path tracking. However, as the robot moved forward, it tended to correct the path in successive frames, until it finally achieved the correct path. The sharp peaks observed for a starting θ of 45° could have occurred as a result of the camera not being able to capture one fence sufficiently, thus generating noisy work path coordinates. A quicker stability achievement was observed for a starting θ of 15°. The lowest starting deviation of 15° indicated less struggle by the robot to track the navigation path, which could be attributed to a better view of the rows by the onboard camera, and thus, a quicker and accurate work path generation. From Figure 9, it was found that, in the visual path extraction technology, the initial orientation of the robot could have a large impact on path production and tracking efficiency. The effect of this movement was more pronounced when changing working areas or turning, in which case, the trajectory of the robot should be in such a way that it immediately faces the next row at a small angular deviation, thus ensuring smoother motion. A keyhole turning mechanism could be an appropriate method to integrate with this vision-based navigation. This experiment proved that the system proposed in this study could process images and analyze the deviation between the extracted route and the actual driving route, so as to make quick adjustments to the subsequent driving route.

4. Conclusions

(1)
In this study, a pusher robot based on binocular vision was developed for dairy farms, which was mainly composed of a vehicle navigation hardware system, feeding operation system and control system. Among them, the control system was used for the extraction and tracking control of the pushing operation path, which met the technical requirements of the pushing operation. The device adopted a modular hardware structure design and layered software structure design, which met the requirements for data throughput and response speed.
(2)
This study proposed a method for extracting working paths in farms based on machine vision. The sky removal, noise removal and grayscale operations were performed on the collected images by using image transformation and smoothing. Then, a Gabor filter, PCA and global threshold segmentation were used to further extract the texture features, main feature components and feed belt features of the cowshed environment. ROI was used to extract contour boundary lines for irregular feed bands.
(3)
The navigation test results showed that the absolute deviations of the pusher robot at different initial lateral distances were all within 15 cm. Meanwhile, the maximum lateral deviation in different test areas was 8.9 cm, and the average maximum lateral deviation was 7.6 cm. The above test results showed that the pusher robot could operate stably without affecting the feeding of the cows, and the accuracy met the navigation requirements of the robot in the feeding operation. In the next study, the navigation deviation will be further reduced by means of algorithm optimization and assisted positioning.

Author Contributions

Conceptualization, Z.Y. and F.T.; methodology, F.L. and Z.W.; validation, Y.Y.; formal analysis, Z.S.; investigation, R.W.; resources, S.Y.; writing—original draft preparation, G.H.; writing—review and editing, Z.Y. and F.T.; project administration, F.T.; funding acquisition, F.T. All authors have read and agreed to the published version of the manuscript.

Funding

This study was funded partly supported by National Natural Science Foundation of China, grant number 32072786, and the Shandong Agricultural University Research Foundation, grant number 030-72195.

Institutional Review Board Statement

Not applicable.

Informed Consent Statement

Not applicable.

Data Availability Statement

The data used to support the findings of this study are included in the article.

Conflicts of Interest

The authors declare no conflict of interest.

References

  1. Zhang, J.; Zhang, L.; Wang, M.; Brostaux, Y.; Yin, C.; Dogot, T. Identifying key pathways in manure and sewage management of dairy farming based on a quantitative typology: A case study in China. Sci. Total Environ. 2021, 760, 143326. [Google Scholar] [CrossRef] [PubMed]
  2. Thorsøe, M.; Noe, E.; Maye, D.; Vigani, M.; Kirwan, J.; Chiswell, H.; Grivins, M.; Adamsone-Fiskovica, A.; Tisenkopfs, T.; Tsakalou, E.; et al. Responding to change: Farming system resilience in a liberalized and volatile European dairy market. Land Use Policy 2020, 99, 105029. [Google Scholar] [CrossRef]
  3. Escalante, H.; Castro, L.; Amaya, M.P.; Jaimes, L.; Jaimes-Estevez, J. Anaerobic digestion of cheese whey: Energetic and nutritional potential for the dairy sector in developing countries. Waste Manag. 2018, 71, 711–718. [Google Scholar] [CrossRef]
  4. Yang, S.; Liang, S.; Zheng, Y.; Tan, Y.; Xiao, Z.; Li, B.; Liu, X. Integrated navigation models of a mobile fodder-pushing robot based on a standardized cow husbandry environment. Trans. ASABE 2020, 63, 221–230. [Google Scholar] [CrossRef]
  5. Zhi, S. Design of automatic feeding robot with adaptive PID control. Mach. Des. Manuf. 2020, 10, 261–269. [Google Scholar]
  6. Gao, Y.; Huang, D.; Yu, X.; Zhang, H. Bionic intelligent algorithms used in helicopter individual blade control optimization. Appl. Sci. 2022, 12, 4392. [Google Scholar] [CrossRef]
  7. Dyga, Ł.; Alhasheem, M.; Davari, P.; Rymarski, Z. Robustness of model-predictive and passivity-based control in the three-phase DC/AC converter application. Appl. Sci. 2022, 12, 4329. [Google Scholar] [CrossRef]
  8. Han, J.; Wang, F.; Wang, Y. A control method for the differential steering of tracked vehicles driven independently by a dual hydraulic motor. Appl. Sci. 2022, 12, 6355. [Google Scholar] [CrossRef]
  9. Montoya-Cavero, L.-E.; Díaz de León Torres, R.; Gómez-Espinosa, A.; Escobedo Cabello, J.A. Vision systems for harvesting robots: Produce detection and localization. Comput. Electron. Agric. 2022, 192, 106562. [Google Scholar] [CrossRef]
  10. Răileanu, S.; Borangiu, T.; Anton, F.; Anton, S. Open source machine vision platform for manufacturing and robotics. IFAC-PapersOnLine 2021, 54, 522–527. [Google Scholar] [CrossRef]
  11. Chen, J.; Qiang, H.; Wu, J.; Xu, G.; Wang, Z. Navigation path extraction for greenhouse cucumber-picking robots using the prediction-point hough transform. Comput. Electron. Agric. 2021, 180, 105911. [Google Scholar] [CrossRef]
  12. Kim, W.-S.; Lee, D.-H.; Kim, Y.-J.; Kim, T.; Hwang, R.-Y.; Lee, H.-J. Path detection for autonomous traveling in orchards using patch-based CNN. Comput. Electron. Agric. 2020, 175, 105620. [Google Scholar] [CrossRef]
  13. Lee, I.N.; Lee, K.H.; Lee, J.H.; You, K.H. Autonomous greenhouse sprayer navigation using automatic tracking algorithm. Appl. Eng. Agric. 2015, 31, 17–21. [Google Scholar]
  14. Zhang, C.; Yong, L.; Chen, Y.; Zhang, S.; Ge, L.; Wang, S.; Li, W. A rubber-tapping robot forest navigation and information collection system based on 2D LiDAR and a gyroscope. Sensors 2019, 19, 2136. [Google Scholar] [CrossRef] [PubMed] [Green Version]
  15. Lili, W.; Bo, Z.; Jinwei, F.; Xiaoan, H.; Shu, W.; Yashuo, L.; Qiangbing, Z.; Chongfeng, W. Development of a tomato harvesting robot used in greenhouse. Int. J. Agric. Biol. Eng. 2017, 10, 140–149. [Google Scholar] [CrossRef]
  16. Tian, Y.-M.; Xiong, J.; Wang, G.; Jiang, C.; Zhang, S.; Li, W.-L. A novel position and orientation correction method for specific robot poses by measuring an array of standard balls. Meas. Sci. Technol. 2021, 32, 125014. [Google Scholar] [CrossRef]
  17. Bakker, T.; van Asselt, K.; Bontsema, J.; Müller, J.; van Straten, G. Autonomous navigation using a robot platform in a sugar beet field. Biosyst. Eng. 2011, 109, 357–368. [Google Scholar] [CrossRef]
  18. Cheng, J.; Bi, S.; Yuan, C.; Cai, Y.; Yao, Y.; Zhang, L. Dynamic modeling method of multibody system of 6-DOF robot based on screw theory. Machines 2022, 10, 499. [Google Scholar] [CrossRef]
  19. Zhang, S.; Zhao, X.; Zhu, G.; Shi, P.; Hao, Y.; Kong, L. Adaptive trajectory tracking control strategy of intelligent vehicle. Int. J. Distrib. Sens. Netw. 2020, 16, 1550147720916988. [Google Scholar] [CrossRef]
  20. Zhang, B.; Cheng, J.; Zheng, P.; Li, A.; Cheng, X. Research and experiment on path-tracking control of autonomous tractor based on lateral deviation and yaw rate feedback. Appl. Eng. Agric. 2021, 37, 891–899. [Google Scholar] [CrossRef]
  21. Jin, X.; Chen, K.; Zhao, Y.; Ji, J.; Jing, P. Simulation of hydraulic transplanting robot control system based on fuzzy PID controller. Measurement 2020, 164, 108023. [Google Scholar] [CrossRef]
  22. Phu, N.D.; Hung, N.N.; Ahmadian, A.; Senu, N. A new fuzzy PID control system based on fuzzy PID controller and fuzzy control process. Int. J. Fuzzy Syst. 2020, 22, 2163–2187. [Google Scholar] [CrossRef]
  23. Zhou, H.; Chen, R.; Zhou, S.; Liu, Z. Design and analysis of a drive system for a series manipulator based on orthogonal-fuzzy PID control. Electronics 2019, 8, 1051. [Google Scholar] [CrossRef] [Green Version]
  24. Ma, Q. Improving SAR target recognition performance using multiple preprocessing techniques. Comput. Intell. Neurosci. 2021, 2021, 6572362. [Google Scholar] [CrossRef]
  25. Ye, C.-W.; Yu, Z.-W.; Kang, R.; Yousaf, K.; Qi, C.; Chen, K.-J.; Huang, Y.-P. An experimental study of stunned state detection for broiler chickens using an improved convolution neural network algorithm. Comput. Electron. Agric. 2020, 170, 105284. [Google Scholar] [CrossRef]
  26. Wang, C.; Xu, C.; Wanga, C.; Tao, D. Perceptual adversarial networks for image-to-image transformation. IEEE Trans. Image Process. 2018, 27, 4066–4079. [Google Scholar] [CrossRef] [Green Version]
  27. Ma, G.-H.; Zhang, M.-L.; Li, X.-M.; Zhang, C.-M. Image smoothing based on image decomposition and sparse high frequency gradient. J. Comput. Sci. Technol. 2018, 33, 502–510. [Google Scholar] [CrossRef]
  28. Qin, J.; Shen, X.; Mei, F.; Fang, Z. An otsu multi-thresholds segmentation algorithm based on improved ACO. J. Supercomput. 2018, 75, 955–967. [Google Scholar] [CrossRef]
  29. Khan, S.; Lee, D.-H. An adaptive dynamically weighted median filter for impulse noise removal. EURASIP J. Adv. Signal Process. 2017, 2017, 67. [Google Scholar] [CrossRef] [Green Version]
  30. Low, C.-Y.; Teoh, A.B.-J.; Ng, C.-J. Multi-fold gabor, PCA, and ICA filter convolution descriptor for face recognition. IEEE Trans. Circuits Syst. Video Technol. 2019, 29, 115–129. [Google Scholar] [CrossRef] [Green Version]
  31. Liu, Q.; Gui, Z.; Xiong, S.; Zhan, M. A principal component analysis dominance mechanism based many-objective scheduling optimization. Appl. Soft Comput. 2021, 113, 107931. [Google Scholar] [CrossRef]
  32. Opiyo, S.; Okinda, C.; Zhou, J.; Mwangi, E.; Makange, N. Medial axis-based machine-vision system for orchard robot navigation. Comput. Electron. Agric. 2021, 185, 106153. [Google Scholar] [CrossRef]
Figure 1. The vehicle navigation hardware system.
Figure 1. The vehicle navigation hardware system.
Applsci 12 06641 g001
Figure 2. Kinematics model of the pusher robot.
Figure 2. Kinematics model of the pusher robot.
Applsci 12 06641 g002
Figure 3. Motion deviation of the pusher robot.
Figure 3. Motion deviation of the pusher robot.
Applsci 12 06641 g003
Figure 4. PID Control Schematic.
Figure 4. PID Control Schematic.
Applsci 12 06641 g004
Figure 5. System control diagram.
Figure 5. System control diagram.
Applsci 12 06641 g005
Figure 6. Forage distribution after eating.
Figure 6. Forage distribution after eating.
Applsci 12 06641 g006
Figure 7. The working status of the pusher robot.
Figure 7. The working status of the pusher robot.
Applsci 12 06641 g007
Figure 8. Extraction process of navigation path.
Figure 8. Extraction process of navigation path.
Applsci 12 06641 g008
Figure 9. Cowshed RGB image.
Figure 9. Cowshed RGB image.
Applsci 12 06641 g009
Figure 10. Image preprocessing effect. (a) Original RGB image; (b) sky-removed RGB image; (c) grayscale image.
Figure 10. Image preprocessing effect. (a) Original RGB image; (b) sky-removed RGB image; (c) grayscale image.
Applsci 12 06641 g010
Figure 11. Global threshold segmentation image. (a) Raw RGB image; (b) K-means clustering; (c) global threshold segmentation.
Figure 11. Global threshold segmentation image. (a) Raw RGB image; (b) K-means clustering; (c) global threshold segmentation.
Applsci 12 06641 g011
Figure 12. Transformation and smoothing of images. (a) Original RGB image; (b) global threshold segmentation de-binarization; (c) color image with sky removed.
Figure 12. Transformation and smoothing of images. (a) Original RGB image; (b) global threshold segmentation de-binarization; (c) color image with sky removed.
Applsci 12 06641 g012
Figure 13. Grayscale histogram. (a) Grayscale histogram of the original image; (b) Grayscale histogram of the pre-processed image.
Figure 13. Grayscale histogram. (a) Grayscale histogram of the original image; (b) Grayscale histogram of the pre-processed image.
Applsci 12 06641 g013
Figure 14. Bullpen and pavement extraction. (a) Gabor filter; (b) threshold segmentation binarization; (c) extracted bullpen and pavement.
Figure 14. Bullpen and pavement extraction. (a) Gabor filter; (b) threshold segmentation binarization; (c) extracted bullpen and pavement.
Applsci 12 06641 g014
Figure 15. Feed strip extraction. (a) Original RGB image; (b) extracted feed band; (c) contour feature extraction.
Figure 15. Feed strip extraction. (a) Original RGB image; (b) extracted feed band; (c) contour feature extraction.
Applsci 12 06641 g015
Figure 16. Extraction of midpoints of roads between cowsheds. (a) Road outline drawing; (b) center point coordinates; (c) projection of coordinate points on the RGB image.
Figure 16. Extraction of midpoints of roads between cowsheds. (a) Road outline drawing; (b) center point coordinates; (c) projection of coordinate points on the RGB image.
Applsci 12 06641 g016
Figure 17. Extraction process of job path. (a) Outline drawing of the feed band; (b) extraction of the feed band; (c) path extraction; (d) projection of the path on the RGB image.
Figure 17. Extraction process of job path. (a) Outline drawing of the feed band; (b) extraction of the feed band; (c) path extraction; (d) projection of the path on the RGB image.
Applsci 12 06641 g017
Figure 18. Test environment and on-board system driving route. (1) Pusher robot; (2) Start point; (3) Extracted path; (4) End point.
Figure 18. Test environment and on-board system driving route. (1) Pusher robot; (2) Start point; (3) Extracted path; (4) End point.
Applsci 12 06641 g018
Figure 19. Lateral deviations at departure with different initial lateral distances. (a) D = +0.1 m; (b) D = −0.1 m; (c) D = 0 m.
Figure 19. Lateral deviations at departure with different initial lateral distances. (a) D = +0.1 m; (b) D = −0.1 m; (c) D = 0 m.
Applsci 12 06641 g019
Figure 20. Angular deviation from different initial angles. (a) θ = +45°; (b) θ = −45°; (c) θ = +15°; (d) θ = −15°.
Figure 20. Angular deviation from different initial angles. (a) θ = +45°; (b) θ = −45°; (c) θ = +15°; (d) θ = −15°.
Applsci 12 06641 g020
Table 1. Statistical results of lateral errors in different operating areas.
Table 1. Statistical results of lateral errors in different operating areas.
Operating AreaLateral Deviation (cm)
MaximumAverageStandard DeviationRMSE
17.83.42.24.3
28.14.12.95.1
36.12.21.83.1
48.94.83.35.5
57.32.82.13.7
Average7.63.52.54.3
Publisher’s Note: MDPI stays neutral with regard to jurisdictional claims in published maps and institutional affiliations.

Share and Cite

MDPI and ACS Style

Tian, F.; Hu, G.; Yu, S.; Wang, R.; Song, Z.; Yan, Y.; Li, F.; Wang, Z.; Yu, Z. Navigation Path Extraction and Experimental Research of Pusher Robot Based on Binocular Vision. Appl. Sci. 2022, 12, 6641. https://doi.org/10.3390/app12136641

AMA Style

Tian F, Hu G, Yu S, Wang R, Song Z, Yan Y, Li F, Wang Z, Yu Z. Navigation Path Extraction and Experimental Research of Pusher Robot Based on Binocular Vision. Applied Sciences. 2022; 12(13):6641. https://doi.org/10.3390/app12136641

Chicago/Turabian Style

Tian, Fuyang, Guozheng Hu, Sufang Yu, Ruixue Wang, Zhanhua Song, Yinfa Yan, Fade Li, Zhonghua Wang, and Zhenwei Yu. 2022. "Navigation Path Extraction and Experimental Research of Pusher Robot Based on Binocular Vision" Applied Sciences 12, no. 13: 6641. https://doi.org/10.3390/app12136641

APA Style

Tian, F., Hu, G., Yu, S., Wang, R., Song, Z., Yan, Y., Li, F., Wang, Z., & Yu, Z. (2022). Navigation Path Extraction and Experimental Research of Pusher Robot Based on Binocular Vision. Applied Sciences, 12(13), 6641. https://doi.org/10.3390/app12136641

Note that from the first issue of 2016, this journal uses article numbers instead of page numbers. See further details here.

Article Metrics

Back to TopTop