Lung Cancer Prediction Using Robust Machine Learning and Image Enhancement Methods on Extracted Gray-Level Co-Occurrence Matrix Features
Abstract
:1. Introduction
2. Materials and Methods
2.1. Dataset
2.2. Data Augmentation
2.3. Image Enhancement
2.3.1. Image Adjustment
2.3.2. Gamma Correction
2.3.3. Contrast Stretching
2.3.4. Thresholding
2.4. Feature Extraction
Gray-Level Co-Occurrence Matrix (GLCM)
2.5. Classification
2.5.1. Support Vector Machine (SVM)
2.5.2. Decision Tree (DTs)
2.5.3. Naïve Bayes (NB)
2.6. Training/Testing Data Formulation
2.7. Performance Evaluation
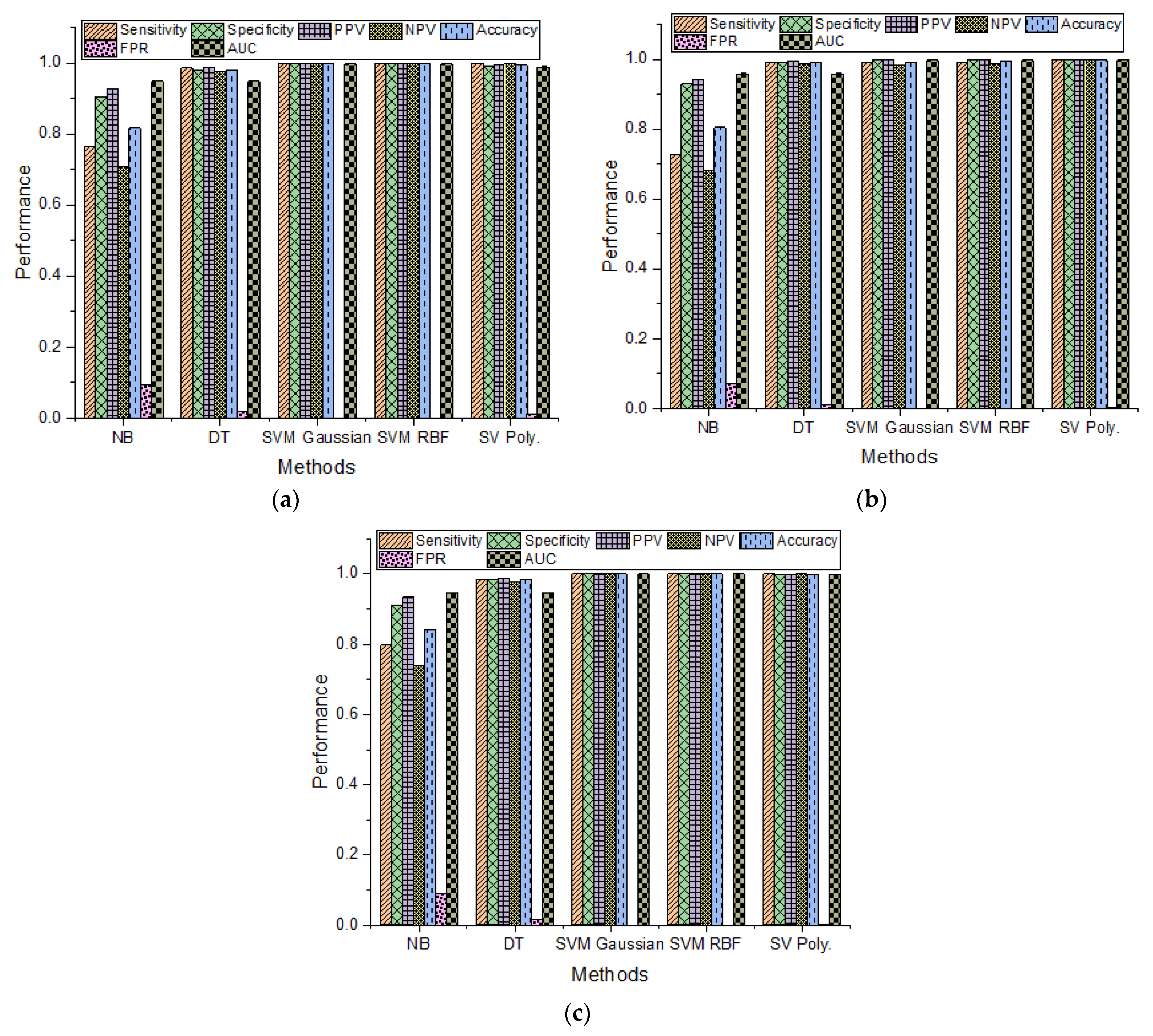
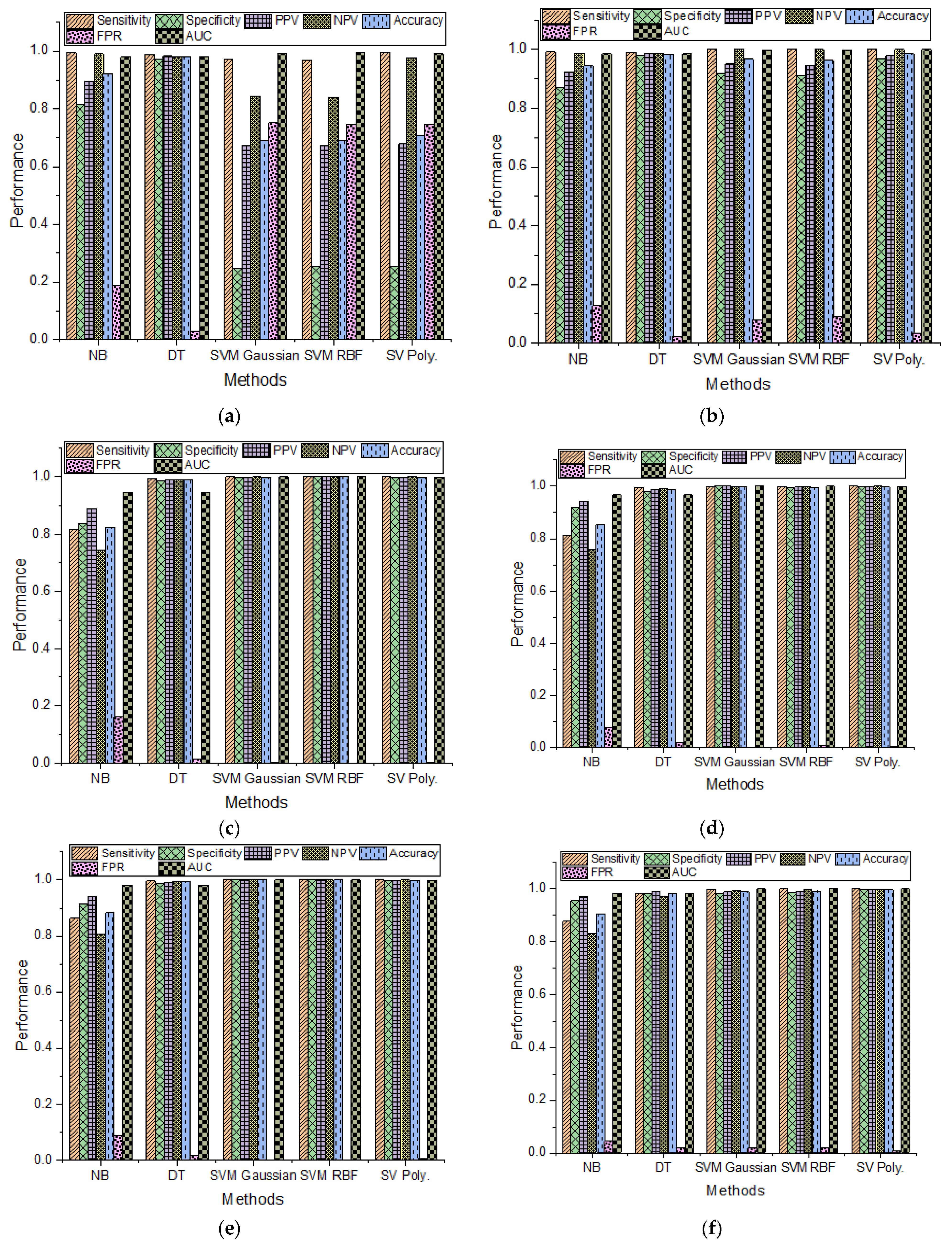
3. Results and Discussions
4. Conclusions
Author Contributions
Funding
Institutional Review Board Statement
Informed Consent Statement
Data Availability Statement
Conflicts of Interest
Abbreviations
| (GLCM) | Gray-level co-occurrence matrix |
| (SVM) | Support Vector Machine |
| (RBF) | Radial Base Function |
| (DT) | Decision Tree |
| (NSCLC) | Non-Small Cell Lung Cancer |
| (SCLC) | Small Cell Lung Cancer |
| (SBRT) | Stereotactic body radiotherapy |
| (CT) | Computed Tomography |
| (MR) | Magnetic Resonance |
| (HE) | Histogram equalization |
| (LCA) | Lung Cancer Alliance |
| (DICOM) | Digital Imaging and Communications in Medicine |
References
- Siegel, R.L.; Miller, K.D.; Fuchs, H.E.; Jemal, A. Cancer Statistics, 2021. CA. Cancer J. Clin. 2021, 71, 7–33. [Google Scholar] [CrossRef] [PubMed]
- Siegel, R.L.; Miller, K.D.; Jemal, A. Cancer statistics, 2018. CA. Cancer J. Clin. 2018, 68, 7–30. [Google Scholar] [CrossRef]
- Oser, M.G.; Niederst, M.J.; Sequist, L.V.; Engelman, J.A. Transformation from non-small-cell lung cancer to small-cell lung cancer: Molecular drivers and cells of origin. Lancet Oncol. 2015, 16, e165–e172. [Google Scholar] [CrossRef] [Green Version]
- Krishnaiah, V.; Narsimha, G.; Chandra, D.N.S. Diagnosis of Lung Cancer Prediction System Using Data Mining Classification Techniques. Int. J. Comput. Sci. Inf. Technol. 2013, 4, 39–45. [Google Scholar]
- Giger, M.L.; Chan, H.-P.P.; Boone, J. Anniversary Paper: History and status of CAD and quantitative image analysis: The role of Medical Physics and AAPM. Med. Phys. 2008, 35, 5799–5820. [Google Scholar] [CrossRef] [PubMed]
- Dandıl, E. A Computer-Aided Pipeline for Automatic Lung Cancer Classification on Computed Tomography Scans. J. Healthc. Eng. 2018, 2018, 1–12. [Google Scholar] [CrossRef] [PubMed]
- Biederer, J.; Ohno, Y.; Hatabu, H.; Schiebler, M.L.; van Beek, E.J.R.; Vogel-Claussen, J.; Kauczor, H.-U. Screening for lung cancer: Does MRI have a role? Eur. J. Radiol. 2017, 86, 353–360. [Google Scholar] [CrossRef]
- Patil, N.K.; Vasudha, S.; Boregowda, L.R. A Novel Method for Illumination Normalization for Performance Improvement of Face Recognition System. In Proceedings of the 2013 International Symposium on Electronic System Design, Singapore, 10–12 December 2013; Volume 3, pp. 148–152. [Google Scholar]
- Nishihara, I.; Nakata, T. Dynamic Image Adjustment Method and Evaluation for Glassless 3D Viewing Systems. In Proceedings of the 2015 International Conference on Cyberworlds (CW), Visby, Sweden, 7–9 October 2015; 5, pp. 121–124. [Google Scholar] [CrossRef]
- Zhu, R.; Li, X.; Zhang, X.; Xu, X. MRI enhancement based on visual-attention by adaptive contrast adjustment and image fusion. Multimed. Tools Appl. 2021, 80, 12991–13017. [Google Scholar] [CrossRef]
- Ngo, D.; Lee, S.; Nguyen, Q.H.; Ngo, T.M.; Lee, G.D.; Kang, B. Single image haze removal from image enhancement perspective for real-time vision-based systems. Sensors 2020, 20, 5170. [Google Scholar] [CrossRef]
- Lung Cancer Alliance Dataset. Available online: http://www.giveascan.org (accessed on 1 January 2021).
- Hussain, L.; Aziz, W.; Alshdadi, A.A.A.; Ahmed Nadeem, M.S.; Khan, I.R.; Chaudhry, Q.-U.-A. Analyzing the Dynamics of Lung Cancer Imaging Data Using Refined Fuzzy Entropy Methods by Extracting Different Features. IEEE Access 2019, 7, 64704–64721. [Google Scholar] [CrossRef]
- Chen, W.; Cockrell, C.; Ward, K.R.; Najarian, K. Intracranial pressure level prediction in traumatic brain injury by extracting features from multiple sources and using machine learning methods. In Proceedings of the 2010 IEEE International Conference on Bioinformatics and Biomedicine (BIBM), Hong-Kong, China, 18–21 December 2010; pp. 510–515. [Google Scholar]
- Soliman, S.R.; Zayed, H.H.; Selim, M.M.; Kasban, H.; Mongy, T. Image quality enhancement in Neutron Computerized Tomography based on projection exposure time adjustment. Appl. Radiat. Isot. 2019, 154, 108862. [Google Scholar] [CrossRef] [PubMed]
- Paul, E.M.; Perumal, B.; Rajasekaran, M.P. Filters Used in X-Ray Chest Images for Initial Stage Tuberculosis Detection. In Proceedings of the 2018 International Conference on Inventive Research in Computing Applications (ICIRCA 2018), Coimbatore, India, 11–12 July 2018; pp. 235–239. [Google Scholar]
- Hongjuan, Y.; Decai, M.; Yunchu, Z.; Jianrong, C. Preprocessing of automobile engine connecting rod based on shadow removal and image enhancement. In Proceedings of the 2021 International Conference on Communications, Information System and Computer Engineering (CISCE), Shenzhen, China, 14–16 May 2021; pp. 428–432. [Google Scholar]
- Tiwari, M.; Gupta, B. Brightness preserving contrast enhancement of medical images using adaptive gamma correction and homomorphic filtering. In Proceedings of the 2016 IEEE Students’ Conference on Electrical, Electronics and Computer Science (SCEECS), Bhopal, India, 5–6 March 2016; pp. 1–4. [Google Scholar]
- Farid, H. Blind inverse gamma correction. IEEE Trans. Image Process. 2001, 10, 1428–1433. [Google Scholar] [CrossRef] [PubMed]
- Bhandari, A.K.; Kumar, A.; Singh, G.K.; Soni, V. Dark satellite image enhancement using knee transfer function and gamma correction based on DWT–SVD. Multidimens. Syst. Signal Process. 2016, 27, 453–476. [Google Scholar] [CrossRef]
- Ngo, D.; Kang, B. Taylor-Series-Based Reconfigurability of Gamma Correction in Hardware Designs. Electronics 2021, 10, 1959. [Google Scholar] [CrossRef]
- Canny, J. A Computational Approach to Edge Detection. IEEE Trans. Pattern Anal. Mach. Intell. 1986, PAMI-8, 679–698. [Google Scholar] [CrossRef]
- Kurban, T.; Civicioglu, P.; Kurban, R.; Besdok, E. Comparison of evolutionary and swarm based computational techniques for multilevel color image thresholding. Appl. Soft Comput. 2014, 23, 128–143. [Google Scholar] [CrossRef]
- Bhandari, A.K.; Kumar, A.; Singh, G.K. Modified artificial bee colony based computationally efficient multilevel thresholding for satellite image segmentation using Kapur’s, Otsu and Tsallis functions. Expert Syst. Appl. 2015, 42, 1573–1601. [Google Scholar] [CrossRef]
- Hussain, L.; Ali, A.; Rathore, S.; Saeed, S.; Idris, A.; Usman, M.U.; Iftikhar, M.A.; Suh, D.Y. Applying Bayesian Network Approach to Determine the Association Between Morphological Features Extracted from Prostate Cancer Images. IEEE Access 2018, 7, 1586–1601. [Google Scholar] [CrossRef]
- Hussain, L.; Saeed, S.; Awan, I.A.; Idris, A.; Nadeem, M.S.A.; Chaudhary, Q.-A. Detecting Brain Tumor Using Machine Learning Techniques Based on Different Features Extracting Strategies. Curr. Med. Imaging Rev. 2019, 15, 595–606. [Google Scholar] [CrossRef]
- Hussain, L.; Aziz, W.; Saeed, S.; Shah, S.A.; Nadeem, M.S.A.; Awan, A.; Abbas, A.; Majid, A.; Zaki, S.; Kazmi, H. Complexity analysis of EEG motor movement with eye open and close subjects using multiscale permutation entropy (MPE) technique. Biomed. Res. 2017, 28, 7104–7111. [Google Scholar]
- Hussain, L.; Ahmed, A.; Saeed, S.; Rathore, S.; Awan, I.A.; Shah, S.A.; Majid, A.; Idris, A.; Awan, A.A. Prostate cancer detection using machine learning techniques by employing combination of features extracting strategies. Cancer Biomark. 2018, 21, 393–413. [Google Scholar] [CrossRef] [PubMed]
- Hussain, L.; Aziz, W.; Saeed, S.; Rathore, S.; Rafique, M. Automated Breast Cancer Detection Using Machine Learning Techniques by Extracting Different Feature Extracting Strategies. In Proceedings of the 2018 17th IEEE International Conference on Trust, Security and Privacy In Computing And Communications/ 12th IEEE International Conference On Big Data Science And Engineering (TrustCom/BigDataSE), New York, NY, USA, 1–3 August 2018; pp. 327–331. [Google Scholar]
- Hussain, L. Detecting epileptic seizure with different feature extracting strategies using robust machine learning classification techniques by applying advance parameter optimization approach. Cogn. Neurodyn. 2018, 12, 271–294. [Google Scholar] [CrossRef]
- Hussain, L.; Rathore, S.; Abbasi, A.A.; Saeed, S. Automated lung cancer detection based on multimodal features extracting strategy using machine learning techniques. In Proceedings of the Medical Imaging 2019: Physics of Medical Imaging; Bosmans, H., Chen, G.-H., Gilat Schmidt, T., Eds.; SPIE: Bellingham, WA, USA, 2019; Volume 10948, p. 134. [Google Scholar]
- Harlick, R.M.; Shanmugam, K. ITS’Hak Dinstein. Textural feature for image classification. IEEE Trans. Syst. Man Cybern. 1973, 6, 610–621. [Google Scholar] [CrossRef] [Green Version]
- Khuzi, A.M.; Besar, R.; Zaki, W.M.D.W. Texture features selection for masses detection in digital mammogram. IFMBE Proc. 2008, 21, 629–632. [Google Scholar] [CrossRef]
- Nguyen, V.D.; Nguyen, D.T.; Nguyen, T.D.; Pham, V.T. An Automated Method to Segment and Classify Masses in Mammograms. Eng. Technol. 2009, 3, 942–947. [Google Scholar]
- Nithya, R.; Santhi, B. Classification of Normal and Abnormal Patterns in Digital Mammograms for Diagnosis of Breast Cancer. Int. J. Comput. Appl. 2011, 28, 975–8887. [Google Scholar] [CrossRef]
- Nithya, R. Comparative study on feature extraction. J. Theor. Appl. Infrormat. Technol. 2011, 33, 7. [Google Scholar]
- Manjunath, S.; Guru, D.S. Texture Features and KNN in Classification of Flower Images. IJCA 2010, 1, 21–29. [Google Scholar]
- Soh, L.; Tsatsoulis, C.; Member, S. Texture Analysis of SAR Sea Ice Imagery. IEEE Trans. Geosci. Remote Sens. 1999, 37, 780–795. [Google Scholar] [CrossRef] [Green Version]
- Berbar, M.A. Hybrid methods for feature extraction for breast masses classification. Egypt. Informatics J. 2017, 1–11. [Google Scholar] [CrossRef]
- Beura, S.; Majhi, B.; Dash, R. Neurocomputing Mammogram classi fi cation using two dimensional discrete wavelet transform and gray-level co-occurrence matrix for detection of breast cancer. Neurocomputing 2015, 154, 1–14. [Google Scholar] [CrossRef]
- Parvez, A. Feature Computation using CUDA Platform. In Proceedings of the 2017 International Conference on Trends in Electronics and Informatics (ICEI), Tirunelveli, India, 11–12 May 2017; pp. 296–300. [Google Scholar]
- Rathore, S.; Hussain, M.; Khan, A. Automated colon cancer detection using hybrid of novel geometric features and some traditional features. Comput. Biol. Med. 2015, 65, 279–296. [Google Scholar] [CrossRef] [PubMed]
- Amrit, G.; Singh, P. Performance analysis of various machine learning-based approaches for detection and classification of lung cancer in humans. Neural Comput. Appl. 2018, 3456789, 6863–6877. [Google Scholar]
- Qureshi, S.A.; Raza, S.E.A.; Hussain, L.; Malibari, A.A.; Nour, M.K.; ul Rehman, A.; Al-Wesabi, F.N.; Hilal, A.M. Intelligent Ultra-Light Deep Learning Model for Multi-Class Brain Tumor Detection. Appl. Sci. 2022, 12, 3715. [Google Scholar] [CrossRef]
- Hammad, B.T.; Ahmed, I.T.; Jamil, N. A Steganalysis Classification Algorithm Based on Distinctive Texture Features. Symmetry 2022, 14, 236. [Google Scholar] [CrossRef]
- Patel, D.; Thakker, H.; Kiran, M.B.; Vakharia, V. Surface roughness prediction of machined components using gray level co-occurrence matrix and Bagging Tree. FME Trans. 2020, 48, 468–475. [Google Scholar] [CrossRef]
- Dobrowolski, A.P.; Wierzbowski, M.; Tomczykiewicz, K. Multiresolution MUAPs decomposition and SVM-based analysis in the classification of neuromuscular disorders. Comput. Methods Programs Biomed. 2012, 107, 393–403. [Google Scholar] [CrossRef]
- Subasi, A. Classification of EMG signals using PSO optimized SVM for diagnosis of neuromuscular disorders. Comput. Biol. Med. 2013, 43, 576–586. [Google Scholar] [CrossRef]
- Papadopoulos, H.; Vovk, V.; Gammerman, A. Guest editors’ preface to the special issue on conformal prediction and its applications. Ann. Math. Artif. Intell. 2015, 74, 1–7. [Google Scholar] [CrossRef] [Green Version]
- Schmidhuber, J. Deep learning in neural networks: An overview. Neural Netw. 2015, 61, 85–117. [Google Scholar] [CrossRef] [PubMed] [Green Version]
- Vapnik, V.N. An overview of statistical learning theory. IEEE Trans. Neural Netw. 1999, 10, 988–999. [Google Scholar] [CrossRef] [PubMed] [Green Version]
- Rajnoha, M.; Burget, R.; Dutta, M.K. Offline handwritten text recognition using support vector machines. In Proceedings of the 2017 4th International Conference on Signal Processing and Integrated Networks (SPIN), Noida, India, 2–3 February 2017; pp. 132–136. [Google Scholar]
- Phadikar, S.; Sinha, N.; Ghosh, R.; Ghaderpour, E. Automatic Muscle Artifacts Identification and Removal from Single-Channel EEG Using Wavelet Transform with Meta-Heuristically Optimized Non-Local Means Filter. Sensors 2022, 22, 2948. [Google Scholar] [CrossRef] [PubMed]
- Ahmed, M.Z.I.; Sinha, N.; Phadikar, S.; Ghaderpour, E. Automated Feature Extraction on AsMap for Emotion Classification Using EEG. Sensors 2022, 22, 2346. [Google Scholar] [CrossRef]
- Zaidi, N.A.; Du, Y.; Webb, G.I. On the Effectiveness of Discretizing Quantitative Attributes in Linear Classifiers. IEEE Access 2020, 8, 198856–198871. [Google Scholar] [CrossRef]
- Zhang, J.; Chen, C.; Xiang, Y.; Zhou, W.; Xiang, Y. Internet Traf fi c Classi fi cation by Aggregating Correlated Naive Bayes Predictions. IEEE Trans. Inf. Forensics Secur. 2013, 8, 5–15. [Google Scholar] [CrossRef]
- Chen, C.; Zhang, G.; Yang, J.; Milton, J.C.; Alcántara, A.D. An explanatory analysis of driver injury severity in rear-end crashes using a decision table/Naïve Bayes (DTNB) hybrid classifier. Accid. Anal. Prev. 2016, 90, 95–107. [Google Scholar] [CrossRef]
- Bermejo, P.; Gámez, J.A.; Puerta, J.M. Speeding up incremental wrapper feature subset selection with Naive Bayes classifier. Knowl. Based Syst. 2014, 55, 140–147. [Google Scholar] [CrossRef]
- Rissanen, J.J. Fisher information and stochastic complexity. IEEE Trans. Inf. Theory 1996, 42, 40–47. [Google Scholar] [CrossRef]
- Bousquet, O.; Boucheron, S.; Lugosi, G. Introduction to statistical learning theory. In Summer School on Machine Learning; Springer: Berlin/Heidelberg, Germany, 2003; pp. 169–207. [Google Scholar]
- Gammerman, A.; Luo, Z.; Vega, J.; Vovk, V. (Eds.) Conformal and Probabilistic Prediction with Applications; Lecture Notes in Computer Science; Springer International Publishing: Cham, Switzerland, 2016; Volume 9653, ISBN 978-3-319-33394-6. [Google Scholar]
- Ariza-Lopez, F.J.; Rodriguez-Avi, J.; Alba-Fernandez, M.V. Complete Control of an Observed Confusion Matrix. In Proceedings of the 2018 IEEE International Geoscience and Remote Sensing Symposium (IGARSS 2018), Valencia, Spain, 22–27 July 2018; Volume 2018, pp. 1222–1225. [Google Scholar]
- Wang, L.-M.; Li, X.-L.; Cao, C.-H.; Yuan, S.-M. Combining decision tree and Naive Bayes for classification. Knowl. Based Syst. 2006, 19, 511–515. [Google Scholar] [CrossRef]
- Fang, X. Inference-based naive bayes: Turning naive bayes cost-sensitive. IEEE Trans. Knowl. Data Eng. 2013, 25, 2302–2314. [Google Scholar] [CrossRef]
- Yuan, G.-X.; Ho, C.-H.; Lin, C. Recent Advances of Large-Scale Linear Classification. Proc. IEEE 2012, 100, 2584–2603. [Google Scholar] [CrossRef] [Green Version]
- Rathore, S.; Hussain, M.; Ali, A.; Khan, A. A recent survey on colon cancer detection techniques. IEEE/ACM Trans. Comput. Biol. Bioinform. 2013, 10, 545–563. [Google Scholar] [CrossRef]
- Fergus, P.; Hussain, A.; Hignett, D.; Al-Jumeily, D.; Abdel-Aziz, K.; Hamdan, H. A machine learning system for automated whole-brain seizure detection. Appl. Comput. Informat. 2016, 12, 70–89. [Google Scholar] [CrossRef] [Green Version]
- Asim, Y.; Raza, B.; Malik, A.K.; Rathore, S.; Hussain, L.; Iftikhar, M.A. A multi-modal, multi-atlas-based approach for Alzheimer detection via machine learning. Int. J. Imaging Syst. Technol. 2018, 28, 113–123. [Google Scholar] [CrossRef]
- da Silva Sousa, J.R.F.; Silva, A.C.; de Paiva, A.C.; Nunes, R.A. Methodology for automatic detection of lung nodules in computerized tomography images. Comput. Methods Programs Biomed. 2010, 98, 1–14. [Google Scholar] [CrossRef] [PubMed]
- Nasrullah, N.; Sang, J.; Alam, M.S.; Xiang, H. Automated detection and classification for early stage lung cancer on CT images using deep learning. In Proceedings of the Pattern Recognition and Tracking XXX, Baltimore, MD, USA, 15–16 April 2019; p. 27. [Google Scholar]
- Han, Y.; Ma, Y.; Wu, Z.; Zhang, F.; Zheng, D.; Liu, X.; Tao, L.; Liang, Z.; Yang, Z.; Li, X.; et al. Histologic subtype classification of non-small cell lung cancer using PET/CT images. Eur. J. Nucl. Med. Mol. Imaging 2021, 48, 350–360. [Google Scholar] [CrossRef] [PubMed]
- Grossman, R.; Haim, O.; Abramov, S.; Shofty, B.; Artzi, M. Differentiating Small-Cell Lung Cancer from Non-Small-Cell Lung Cancer Brain Metastases Based on MRI Using Efficientnet and Transfer Learning Approach. Technol. Cancer Res. Treat. 2021, 20, 153303382110049. [Google Scholar] [CrossRef]
- Gao, Y.; Song, F.; Zhang, P.; Liu, J.; Cui, J.; Ma, Y.; Zhang, G.; Luo, J. Improving the Subtype Classification of Non-small Cell Lung Cancer by Elastic Deformation Based Machine Learning. J. Digit. Imaging 2021, 34, 605–617. [Google Scholar] [CrossRef]










| Method | Sensitivity | Specificity | PPV | NPV | Accuracy | FPR | AUC |
|---|---|---|---|---|---|---|---|
| Naïve Bayes | 0.8686 | 0.9101 | 0.9386 | 0.8141 | 0.8847 | 0.08989 | 0.98 |
| Decision Tree | 0.9911 | 0.986 | 0.9911 | 0.986 | 0.9891 | 0.01404 | 0.98 |
| SVM Gaussian | 1 | 1 | 1 | 1 | 1 | 0 | 1 |
| SVM RBF | 0.9982 | 1 | 1 | 0.9972 | 0.9989 | 0 | 1 |
| SVM Poly. | 1 | 0.9972 | 0.9982 | 1 | 0.9989 | 0.002809 | 0.9999 |
| Author | Features Used | Performance |
|---|---|---|
| Sousa et al. [69] | 1. Gradient 2. Histogram 3. Spatial | Sensitivity = 84%, Specificity = 96% Accuracy = 95% |
| Dandil et al. [6] | 1. GLCM 2. Shape 3. Statistical 4. Energy | Sensitivity = 97%, Specificity = 94% Accuracy = 95% |
| Nasrulla et al. [70] | 1. Statistical | Sensitivity = 94%, Specificity = 90% AUC = 0.990 |
| Han et al. [71] | Machine learning and deep learning methods to distinguish SCLC types | Accuracy =84.10% |
| Grossman et al. [72] | EfficientNet using transfer learning to distinguish NSCLC from SCLC | Accuracy = 90% |
| Gao et al. [73] | Machine learning to classify subtypes of NSCLC | AUC = 0.972 |
| Hussain et al. [13] | Texture features using MFE with standard deviation, Morphological features using RCMFE with mean EFDs features using MFE | p-value () p-value () p-value () |
| This study | Texture features using SVM polynomial Image Adjustment using SVM RBF and Polynomial Contrast stretching at threshold of (0.02,0.98) using SVM RBF and Polynomial Gamma Correction at gamma value 0.9 | Sensitivity = 100%, Specificity = 99.72% Accuracy = 99.89 Sensitivity = 100%, Specificity. = 100% Accuracy = 100% Sensitivity = 100%, Specificity = 100% Accuracy = 100% Sensitivity = 100%, Specificity = 100% Accuracy = 100% |
Publisher’s Note: MDPI stays neutral with regard to jurisdictional claims in published maps and institutional affiliations. |
© 2022 by the authors. Licensee MDPI, Basel, Switzerland. This article is an open access article distributed under the terms and conditions of the Creative Commons Attribution (CC BY) license (https://creativecommons.org/licenses/by/4.0/).
Share and Cite
Hussain, L.; Alsolai, H.; Hassine, S.B.H.; Nour, M.K.; Duhayyim, M.A.; Hilal, A.M.; Salama, A.S.; Motwakel, A.; Yaseen, I.; Rizwanullah, M. Lung Cancer Prediction Using Robust Machine Learning and Image Enhancement Methods on Extracted Gray-Level Co-Occurrence Matrix Features. Appl. Sci. 2022, 12, 6517. https://doi.org/10.3390/app12136517
Hussain L, Alsolai H, Hassine SBH, Nour MK, Duhayyim MA, Hilal AM, Salama AS, Motwakel A, Yaseen I, Rizwanullah M. Lung Cancer Prediction Using Robust Machine Learning and Image Enhancement Methods on Extracted Gray-Level Co-Occurrence Matrix Features. Applied Sciences. 2022; 12(13):6517. https://doi.org/10.3390/app12136517
Chicago/Turabian StyleHussain, Lal, Hadeel Alsolai, Siwar Ben Haj Hassine, Mohamed K. Nour, Mesfer Al Duhayyim, Anwer Mustafa Hilal, Ahmed S. Salama, Abdelwahed Motwakel, Ishfaq Yaseen, and Mohammed Rizwanullah. 2022. "Lung Cancer Prediction Using Robust Machine Learning and Image Enhancement Methods on Extracted Gray-Level Co-Occurrence Matrix Features" Applied Sciences 12, no. 13: 6517. https://doi.org/10.3390/app12136517
APA StyleHussain, L., Alsolai, H., Hassine, S. B. H., Nour, M. K., Duhayyim, M. A., Hilal, A. M., Salama, A. S., Motwakel, A., Yaseen, I., & Rizwanullah, M. (2022). Lung Cancer Prediction Using Robust Machine Learning and Image Enhancement Methods on Extracted Gray-Level Co-Occurrence Matrix Features. Applied Sciences, 12(13), 6517. https://doi.org/10.3390/app12136517

