Virtual Synchronous Machine Control of RES Plants in Isolated Power Systems
Abstract
:1. Introduction
1.1. Problem Statement
1.2. Literature Review
1.3. Proposed Solution
2. Structure of the System and Proposed Converter Topology
- A measurement block at the PCC, taking the measurements of , , and , which are the input of the RC block and the abc/dq block;
- The abc/dq and dq/abc blocks, using for the transformations of voltages and currents;
- A damping controller denominated as DC used to improve the response in the active power of the VSC;
- A VCC used to protect the converter from overcurrent;
- An RC used to obtain the converter input of the current control and coordinate of the abc/dq and dq/abc transformations; and are the reference variables, while and are the complementary variables.
- Option I (RC-1):
- 2.
- Option II (RC-2):
3. Case Study
4. Results and Discussion
- ;
- , where .
4.1. Strong Grid: SCR = 10
- Throughout all of the simulations, a typical trend in grid stability was observed after the fault, with a loss of load, depending on the unbalance between SG and RES. However, because of the action of the speed regulators on the SG and of the internal controllers of the VSC, the active power returned to the previous steady-state values as soon as the fault was removed.
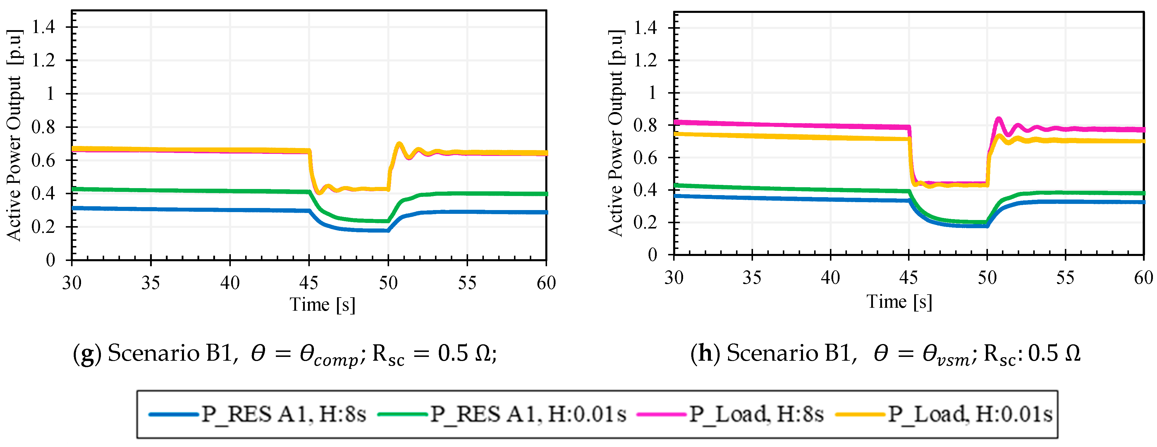
- When the contribution of RES was greater than 60% of the load (Scenarios B1 and B2), and when assumed its lowest value, the active power showed more significant oscillations. On the other hand, the grid stability improved when angle compensation was used and was raised.
- In Scenario A1, the system had a positive behavior; this feature was due to the contribution of both SG and the control option chosen for the VSC (RC-1) during the fault. These choices ensured that scenario A1 did not present unstable situations even in the case of a low and .
- In Scenario A2 with a low value of , the system became unstable when RC-2 was chosen, regardless the value of .
- In the steady-state operation, RC-2 showed a better performance than RC-1, and when using this control option, the system stabilized quickly, as shown in the results for scenarios A2 and B2. However, in the presence of faults, this control option was not able to maintain the desired power.
4.2. Weak Grid: SCR = 3
- In Scenario A1, no alterations were seen in the power generation from the SG: traditional generators delivered the desired power to the load. On the other hand, in Scenario B1, the power production was reduced to 66% and this created a deficit in power generation.
- The lower the SCR (and so, the higher the grid reactance, Xg), the closer the power contribution of VSC to that of SG. Mathematically, this could be seen by calculating the SCR = , where S is the VSC rated power and = is the grid short-circuit power;
- The behavior of VSC during the fault did not vary.
- the voltage variation during the fault was shown for both the robust and the weak grid;
- there was a variation in the PCC voltage when the power system operated at different transfer power conditions;
- Scenario A1 was less affected by the SCR value;
- Scenario B1 with SCR = 3 did not meet the minimum standard established for the voltage value.
5. Conclusions
Author Contributions
Funding
Acknowledgments
Conflicts of Interest
Appendix A





References
- Campoccia, A.; Dusonchet, L.; Telaretti, E.; Zizzo, G. Financial measures for supporting wind power systems in Europe: A comparison between green tags and feed in tariffs. In Proceedings of the International Symposium on Power Electronics, Electrical Drives, Automation and Motion, Ischia, Italy, 11–13 June 2008. [Google Scholar]
- Sa’Ed, J.A.; Amer, M.; Bodair, A.; Baransi, A.; Favuzza, S.; Zizzo, G. A Simplified Analytical Approach for Optimal Planning of Distributed Generation in Electrical Distribution Networks. Appl. Sci. 2019, 9, 5446. [Google Scholar] [CrossRef] [Green Version]
- Ippolito, M.G.; Musca, R.; Zizzo, G. Frequency dynamics of power systems with temporally distributed disturbances. Sustain. Energy Grids Netw. 2021, 28, 100536. [Google Scholar] [CrossRef]
- Papakonstantinou, A.G.; Papathanassiou, S.A. Battery Energy Storage Participation in Automatic Generation Control of Island Systems, Coordinated with State of Charge Regulation. Appl. Sci. 2022, 12, 596. [Google Scholar] [CrossRef]
- Cheema, K.M.; Chaudhary, N.I.; Tahir, M.F.; Mehmood, K.; Mudassir, M.; Kamran, M.; Milyani, A.H.; Elbarbary, Z.M.S. Virtual synchronous generator: Modifications, stability assessment and future applications. Energy Rep. 2022, 8, 1704–1717. [Google Scholar] [CrossRef]
- Muftau, B.; Fazeli, M. The Role of Virtual Synchronous Machines in Future Power Systems: A Review and Future Trends. Electr. Power Syst. Res. 2022, 206, 107775. [Google Scholar] [CrossRef]
- Cheema, K.M. A comprehensive review of virtual synchronous generator. Int. J. Electr. Power Energy Syst. 2020, 120, 106006. [Google Scholar] [CrossRef]
- Tamrakar, U.; Shrestha, D.; Maharjan, M.; Bhattarai, B.P.; Hansen, T.M.; Tonkoski, R. Virtual Inertia: Current Trends and Future Directions. Appl. Sci. 2017, 7, 654. [Google Scholar] [CrossRef]
- Liu, C.; Fang, J. Analysis and Design of Inertia for Grid-Tied Electric Vehicle Chargers Operating as Virtual Synchronous Machines. Appl. Sci. 2022, 12, 2194. [Google Scholar] [CrossRef]
- Leng, D.; Polmai, S. Virtual Synchronous Generator Based on Hybrid Energy Storage System for PV Power Fluctuation Mitigation. Appl. Sci. 2019, 9, 5099. [Google Scholar] [CrossRef] [Green Version]
- Ippolito, M.G.; Musca, R.; Sanseverino, E.R.; Zizzo, G. Frequency Dynamics in Fully Non-Synchronous Electrical Grids: A Case Study of an Existing Island. Energies 2022, 15, 2220. [Google Scholar] [CrossRef]
- Corso, G.; Di Silvestre, M.L.; Ippolito, M.G.; Sanseverino, E.R.; Zizzo, G. Multi-objective long term optimal dispatch of distributed energy resources in micro-grids. In Proceedings of the 45th International Universities’ Power Engineering Conference—UPEC 2010, Cardiff, UK, 31 August–3 September 2010. [Google Scholar]
- Ippolito, M.G.; Musca, R.; Zizzo, G.; Bongiorno, M. Damping Provision by Different Virtual Synchronous Machine Schemes. In Proceedings of the IEEE International Conference on Environment and Electrical Engineering and IEEE Industrial and Commercial Power Systems Europe—EEEIC/I&CPS Europe, Madrid, Spain, 16–18 June 2020. [Google Scholar]
- Ippolito, M.G.; Musca, R.; Zizzo, G.; Bongiorno, M. Extension and Tuning of Virtual Synchronous Machine to Avoid Oscillatory Instability in Isolated Power Networks. In Proceedings of the AEIT International Annual Conference—AEIT, Bari, Italy, 23–25 September 2020. [Google Scholar]
- Sa’ed, J.A.; Curto, D.; Favuzza, S.; Musca, R.; Navia, M.N.; Zizzo, G.A. Simulation Analysis of VSM Control for RES plants in a Small Mediterranean Island. In Proceedings of the IEEE International Conference on Environment and Electrical Engineering and IEEE Industrial and Commercial Power Systems Europe—EEEIC/I&CPS Europe, Madrid, Spain, 16–18 June 2020. [Google Scholar]
- Favuzza, S.; Ippolito, M.G.; Navarro, M.; Sanseverino, E.R.; Zizzo, G.; Bongiorno, M. An Analysis of the Inertial Response of Small Isolated Power Systems in Presence of Generation from Renewable Energy Sources. In Proceedings of the IEEE 4th International Forum on Research and Technology for Society and Industry—RTSI, Palermo, Italy, 10–13 September 2018. [Google Scholar]
- Bongiorno, M.; Favuzza, S.; Ippolito, M.G.; Musca, R.; Zizzo, G. Inertial Response of Isolated Power Networks with Wind Power Plants. In Proceedings of the IEEE PowerTech, Milan, Italy, 23–27 June 2019. [Google Scholar]
- Favuzza, S.; Ippolito, M.G.; Musca, R.; Navia, M.N.; Sanseverino, E.R.; Zizzo, G.; Bongiorno, M. System Stability of a Small Island’s Network with Different Levels of Wind Power Penetration. In Proceedings of the IEEE 4th International Forum on Research and Technology for Society and Industry—RTSI, Palermo, Italy, 10–13 September 2018. [Google Scholar]
- D’Arco, S.; Suul, J.A.; Fosso, O.B. A Virtual Synchronous Machine implementation for distributed control of power converters in SmartGrids. Electr. Power Syst. Res. 2015, 122, 180–197. [Google Scholar] [CrossRef]
- Blaabjerg, F.; Teodorescu, R.; Liserre, M.; Timbus, A.V. Overview of Control and Grid Synchronization for Distributed Power Generation Systems. IEEE Trans. Ind. Electron. 2006, 53, 1398–1409. [Google Scholar] [CrossRef] [Green Version]
- Guan, M.; Pan, W.; Zhang, J.; Hao, Q.; Cheng, J.; Zheng, X. Synchronous Generator Emulation Control Strategy for Voltage Source Converter (VSC) Stations. IEEE Trans. Power Syst. 2015, 30, 3093–3101. [Google Scholar] [CrossRef]
- Rodriguez, P.; Timbus, A.V.; Teodorescu, R.; Liserre, M.; Blaabjerg, F. Flexible Active Power Control of Distributed Power Generation Systems During Grid Faults. IEEE Trans. Ind. Electron. 2007, 54, 2583–2592. [Google Scholar] [CrossRef]
- Beza, M. Power System Stability Enhancement Using Shunt-connected Power Electronic Devices with Active Power Injection Capability. Ph.D. Thesis, Chalmers University of Technology, Gothenburg, Sweden, 2015. [Google Scholar]
- Crainz, M.; Curto, D.; Franzitta, V.; Longo, S.; Montana, F.; Musca, R.; Sanseverino, E.R.; Telaretti, E. Flexibility Services to Minimize the Electricity Production from Fossil Fuels. A Case Study in a Mediterranean Small Island. Energies 2019, 12, 3492. [Google Scholar] [CrossRef] [Green Version]
- Massaro, F.; Pace, G.; Sanseverino, E.R.; Tanaka, K.; Zizzo, G. An Algorithm for Optimal Sizing of BESS in Smart Island Energy Communities: The Case of Pantelleria. In Proceedings of the IEEE International Conference on Environment and Electrical Engineering and IEEE Industrial and Commercial Power Systems Europe—EEEIC/I&CPS Europe, Bari, Italy, 7–10 September 2021. [Google Scholar]
- ENTSO-E Report. Future System Inertia. Available online: https://eepublicdownloads.entsoe.eu/clean-documents/Publications/SOC/Nordic/Nordic_report_Future_System_Inertia.pdf (accessed on 1 March 2022).
- Curto, D.; Favuzza, S.; Franzitta, V.; Musca, R.; Navia, M.A.N.; Zizzo, G. Evaluation of the optimal renewable electricity mix for Lampedusa island: The adoption of a technical and economical methodology. J. Clean. Prod. 2020, 263, 121404. [Google Scholar] [CrossRef]






| Control Strategy | Characteristics | Issues |
|---|---|---|
| SG model-based |
|
|
|
| |
| ||
| Swing equation-based |
|
|
|
| |
| ||
| Frequency-power response-based |
|
|
|
| |
| Droop-based |
|
|
|
|
| Nomenclature | Description |
|---|---|
| Tvsm | The virtual inertia of the VSC [s] |
| The rated angular frequency of the system [rad/s] | |
| The angular frequency at the VSC [p.u.] | |
| The reference active power of the VSC [p.u.] | |
| The actual active power output of the VSC [p.u.] | |
| The virtual damping coefficient of the VSC | |
| The angle position of the converter voltage concerning a reference frame synchronized with the grid and rotating at a constant frequency in steady-state [rad] | |
| The angle between the grid voltage at the PCC and the output voltage of the VCS [rad] | |
| The VSC filter reactance [p.u.] | |
| The steady-state virtual angle [rad] | |
| The synchronizing torque coefficient | |
| The damping ratio | |
| The natural frequency of the system [p.u.] |
| Nomenclature | Description |
|---|---|
| The reference signal for VSC voltage in dq coordinates | |
| The grid voltage in dq coordinates | |
| The current output of the VSC in dq coordinates | |
| The reference current of the VSC in dq coordinates | |
| The transfer function of the PI controller with proportional gain and integral gain | |
| The sum of the VSC filter inductance and of the estimated grid inductance | |
| The sum of the filter resistance and of the estimated grid resistance | |
| The virtual resistance taking into account active damping for dealing with system parameter variations and disturbances | |
| The desired closed-loop bandwidth of the current controller | |
| The transfer function of the dq cross-coupling | |
| The reference grid voltage in dq coordinates | |
| CL | The transfer functions of the current limiter |
| The transfer function of the low-pass filter |
| Description | Summer | Winter |
|---|---|---|
| (s) | 1.01 | 1.29 |
| (s) | 0.77 | 0.45 |
| 24% | 65% | |
| (MVA) | 6.08 | 3.56 |
| Hour | 9 | 11 |
Publisher’s Note: MDPI stays neutral with regard to jurisdictional claims in published maps and institutional affiliations. |
© 2022 by the authors. Licensee MDPI, Basel, Switzerland. This article is an open access article distributed under the terms and conditions of the Creative Commons Attribution (CC BY) license (https://creativecommons.org/licenses/by/4.0/).
Share and Cite
Sa’ed, J.A.; Favuzza, S.; Navarro Navia, M.A.; Zizzo, G. Virtual Synchronous Machine Control of RES Plants in Isolated Power Systems. Appl. Sci. 2022, 12, 5920. https://doi.org/10.3390/app12125920
Sa’ed JA, Favuzza S, Navarro Navia MA, Zizzo G. Virtual Synchronous Machine Control of RES Plants in Isolated Power Systems. Applied Sciences. 2022; 12(12):5920. https://doi.org/10.3390/app12125920
Chicago/Turabian StyleSa’ed, Jaser A., Salvatore Favuzza, Milagros Amparo Navarro Navia, and Gaetano Zizzo. 2022. "Virtual Synchronous Machine Control of RES Plants in Isolated Power Systems" Applied Sciences 12, no. 12: 5920. https://doi.org/10.3390/app12125920
APA StyleSa’ed, J. A., Favuzza, S., Navarro Navia, M. A., & Zizzo, G. (2022). Virtual Synchronous Machine Control of RES Plants in Isolated Power Systems. Applied Sciences, 12(12), 5920. https://doi.org/10.3390/app12125920

