In Silico and In Vitro Assessment of Antimicrobial and Antibiofilm Activity of Some 1,3-Oxazole-Based Compounds and Their Isosteric Analogues
Abstract
1. Introduction
2. Results
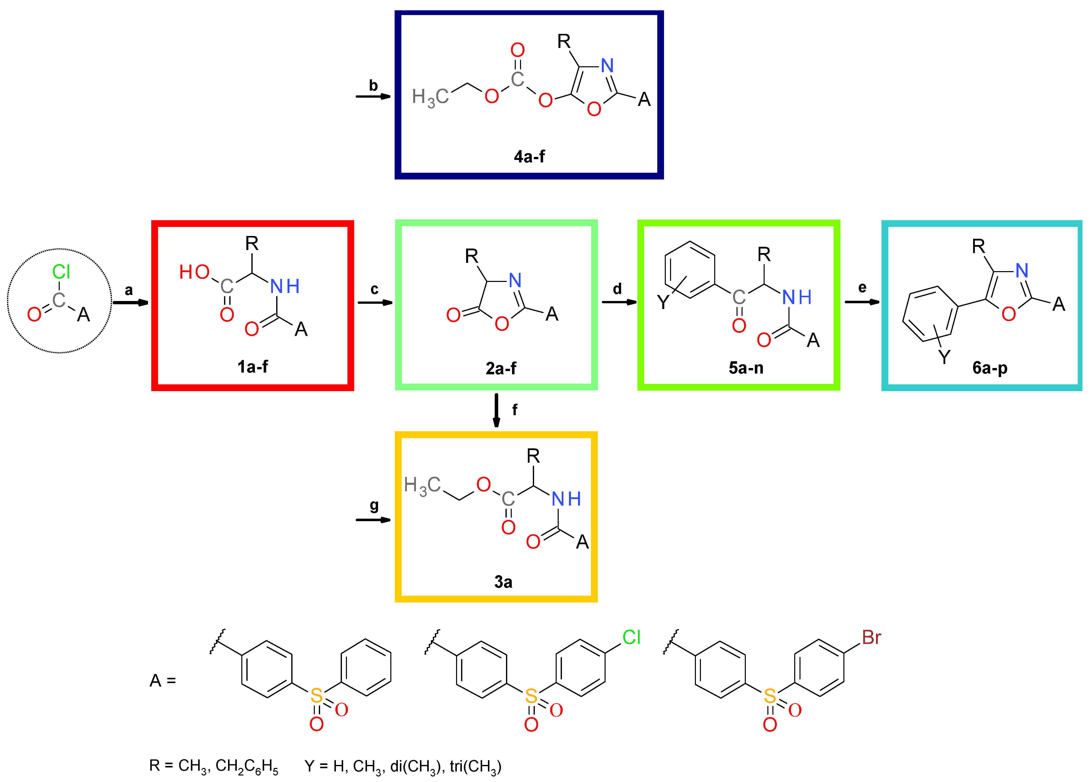
2.1. Chemistry
2.2. Antimicrobial Activity Assessment
2.2.1. Qualitative Screening of Antimicrobial Activity
2.2.2. Quantitative Assay of Antimicrobial Activity
2.2.3. Effects of the Compounds on Biofilm Formation
2.3. Prediction of the Biological Properties of the Compounds
2.3.1. In Silico Evaluation of the Molecular Mechanism of Action
2.3.2. Structural Descriptors Analysis
2.3.3. Predicted ADME-T Properties
3. Discussion
4. Materials and Methods
4.1. General Information
4.2. Chemistry
4.3. Antimicrobial Activity Assessment
4.3.1. Microbial Strains
4.3.2. Qualitative Screening of Antimicrobial Activity
4.3.3. Determination of the Minimal Inhibitory Concentration (MIC)
4.3.4. Determination of the Minimal Biofilm Inhibitory Concentration (MBIC)
4.4. Prediction of the Biological Properties of the Compounds
4.4.1. In Silico Evaluation of the Molecular Mechanisms of Action
4.4.2. Predicted ADME-T Properties
5. Conclusions
Author Contributions
Funding
Institutional Review Board Statement
Informed Consent Statement
Data Availability Statement
Conflicts of Interest
References
- Regueiro-Ren, A. Cyclic sulfoxides and sulfones in drug design. In Advances in Heterocyclic Chemistry; Meanwell, N.A., Lolli, M.L., Eds.; Academic Press: Cambridge, CA, USA, 2021; Volume 134, pp. 1–30. ISBN 978-0-12-820181-7. [Google Scholar]
- Kumar Verma, S.; Verma, R.; Xue, F.; Kumar Thakur, P.; Girish, Y.R.; Rakesh, K.P. Antibacterial activities of sulfonyl or sulfonamide containing heterocyclic derivatives and its structure-activity relationships (SAR) studies: A critical review. Bioorg. Chem. 2020, 105, 104400. [Google Scholar] [CrossRef] [PubMed]
- Zhao, C.; Rakesh, K.P.; Ravidar, L.; Fang, W.-Y.; Qin, H.-L. Pharmaceutical and medicinal significance of sulfur (SVI)-Containing motifs for drug discovery: A critical review. Eur. J. Med. Chem. 2019, 162, 679–734. [Google Scholar] [CrossRef] [PubMed]
- Alam, M.A.; Shimada, K.; Jahan, A.; Khan, M.W.; Bhuiyan, M.M.H.; Alam, M.S.; Matin, M.M. Synthesis, Reactions and Medicinal Importance of Cyclic Sulfone Derivatives: A Review. Nat. Prod. Chem. Res. 2018, 6, 1000350. [Google Scholar] [CrossRef]
- Feng, M.; Tang, B.; Liang, S.H.; Jiang, X. Sulfur Containing Scaffolds in Drugs: Synthesis and Application in Medicinal Chemistry. Curr. Top. Med. Chem. 2016, 16, 1200–1216. [Google Scholar] [CrossRef] [PubMed]
- Ahmad, I. Shagufta Sulfones: An Important Class of Organic Compounds with Diverse Biological Activities. Int. J. Pharm. Pharm. Sci. 2015, 7, 19–27. [Google Scholar]
- Kang, C.; Kim, J.; Ju, S.; Park, S.; Yoo, J.-W.; Yoon, I.-S.; Kim, M.-S.; Jung, Y. Dapsone Azo-Linked with Two Mesalazine Moieties Is a “Me-Better” Alternative to Sulfasalazine. Pharmaceutics 2022, 14, 684. [Google Scholar] [CrossRef]
- Mady, M.F.; Awad, G.E.A.; Jørgensen, K.B. Ultrasound-assisted synthesis of novel 1,2,3-triazoles coupled diaryl sulfone moieties by the CuAAC reaction, and biological evaluation of them as antioxidant and antimicrobial agents. Eur. J. Med. Chem. 2014, 84, 433–443. [Google Scholar] [CrossRef]
- Fernández-Villa, D.; Aguilar, M.R.; Rojo, L. Folic Acid Antagonists: Antimicrobial and Immunomodulating Mechanisms and Applications. Int. J. Mol. Sci. 2019, 20, 4996. [Google Scholar] [CrossRef]
- Barbuceanu, S.-F.; Saramet, G.; Bancescu, G.; Draghici, C.; Apostol, T.-V.; Taran, L.; Dinu-Pirvu, C.E. Synthesis, Characterization and Antimicrobial Activity of Some Hydroxypyrazolines. Rev. Chim. 2013, 64, 355–360. [Google Scholar]
- Guzmán-Ávila, R.; Avelar, M.; Márquez, E.A.; Rivera-Leyva, J.C.; Mora, J.R.; Flores-Morales, V.; Rivera-Islas, J. Synthesis, In Vitro, and In Silico Analysis of the Antioxidative Activity of Dapsone Imine Derivatives. Molecules 2021, 26, 5747. [Google Scholar] [CrossRef]
- Bera, S.; Mondal, D. Insights of synthetic analogues of anti-leprosy agents. Bioorg. Med. Chem. 2019, 27, 2689–2717. [Google Scholar] [CrossRef] [PubMed]
- Pezzella, A.T.; Fang, W. Surgical Aspects of Thoracic Tuberculosis: A Contemporary Review—Part 1. Curr. Probl. Surg. 2008, 45, 675–758. [Google Scholar] [CrossRef] [PubMed]
- Mishra, M.; Mishra, V.K.; Kashaw, V.; Iyer, A.K.; Kashaw, S.K. Comprehensive review on various strategies for antimalarial drug discovery. Eur. J. Med. Chem. 2017, 125, 1300–1320. [Google Scholar] [CrossRef] [PubMed]
- Al-Said, M.S.; Ghorab, M.M.; Nissan, Y.M. Dapson in heterocyclic chemistry, part VIII: Synthesis, molecular docking and anticancer activity of some novel sulfonylbiscompounds carrying biologically active 1,3-dihydropyridine, chromene and chromenopyridine moieties. Chem. Cent. J. 2012, 6, 64. [Google Scholar] [CrossRef] [PubMed]
- Membrive Jiménez, C.; Pérez Ramírez, C.; Sánchez Martín, A.; Vieira Maroun, S.; Arias Santiago, S.; Ramírez Tortosa, M.C.; Jiménez Morales, A. Clinical Application of Pharmacogenetic Markers in the Treatment of Dermatologic Pathologies. Pharmaceuticals 2021, 14, 905. [Google Scholar] [CrossRef] [PubMed]
- Xu, S.; Song, S.; Sun, L.; Gao, P.; Gao, S.; Ma, Y.; Kang, D.; Cheng, Y.; Zhang, X.; Cherukupalli, S.; et al. Indolylarylsulfones bearing phenylboronic acid and phenylboronate ester functionalities as potent HIV-1 non-nucleoside reverse transcriptase inhibitors. Bioorg. Med. Chem. 2022, 53, 116531. [Google Scholar] [CrossRef]
- Kucwaj-Brysz, K.; Baltrukevich, H.; Czarnota, K.; Handzlik, J. Chemical update on the potential for serotonin 5-HT6 and 5-HT7 receptor agents in the treatment of Alzheimer’s disease. Bioorg. Med. Chem. Lett. 2021, 49, 128275. [Google Scholar] [CrossRef]
- Millan, M.J.; Dekeyne, A.; Gobert, A.; Brocco, M.; Mannoury la Cour, C.; Ortuno, J.-C.; Watson, D.; Fone, K.C.F. Dual-acting agents for improving cognition and real-world function in Alzheimer’s disease: Focus on 5-HT6 and D3 receptors as hubs. Neuropharmacology 2020, 177, 108099. [Google Scholar] [CrossRef]
- Alsaedi, A.M.R.; Farghaly, T.A.; Shaaban, M.R. Synthesis and Antimicrobial Evaluation of Novel Pyrazolopyrimidines Incorporated with Mono- and Diphenylsulfonyl Groups. Molecules 2019, 24, 4009. [Google Scholar] [CrossRef]
- Roșca, E.V.; Apostol, T.V.; Chifiriuc, M.C.; Grădișteanu Pîrcălăbioru, G.; Drăghici, C.; Socea, L.I.; Olaru, O.T.; Nițulescu, G.M.; Pahonțu, E.M.; Hrubaru, M.; et al. In Silico and Experimental Studies for the Development of Novel Oxazol-5(4H)-ones with Pharmacological Potential. Farmacia 2020, 68, 453–462. [Google Scholar] [CrossRef]
- Rashdan, H.R.M.; Shehadi, I.A.; Abdelrahman, M.T.; Hemdan, B.A. Antibacterial Activities and Molecular Docking of Novel Sulfone Biscompound Containing Bioactive 1,2,3-Triazole Moiety. Molecules 2021, 26, 4817. [Google Scholar] [CrossRef] [PubMed]
- Zheng, X.; Liu, W.; Zhang, D. Recent Advances in the Synthesis of Oxazole-Based Molecules via van Leusen Oxazole Synthesis. Molecules 2020, 25, 1594. [Google Scholar] [CrossRef] [PubMed]
- Kakkar, S.; Narasimhan, B. A comprehensive review on biological activities of oxazole derivatives. BMC Chem. 2019, 13, 16. [Google Scholar] [CrossRef]
- Chen, J.; Lv, S.; Liu, J.; Yu, Y.; Wang, H.; Zhang, H. An Overview of Bioactive 1,3-Oxazole-Containing Alkaloids from Marine Organisms. Pharmaceuticals 2021, 14, 1274. [Google Scholar] [CrossRef] [PubMed]
- Li, Y.; Rebuffat, S. The manifold roles of microbial ribosomal peptide–based natural products in physiology and ecology. J. Biol. Chem. 2020, 295, 34–54. [Google Scholar] [CrossRef] [PubMed]
- Mhlongo, J.T.; Brasil, E.; de la Torre, B.G.; Albericio, F. Naturally Occurring Oxazole-Containing Peptides. Mar. Drugs 2020, 18, 203. [Google Scholar] [CrossRef]
- Zhang, H.-Z.; Zhao, Z.-L.; Zhou, C.-H. Recent advance in oxazole-based medicinal chemistry. Eur. J. Med. Chem. 2018, 144, 444–492. [Google Scholar] [CrossRef]
- Kumar, G.; Singh, N.P. Synthesis, anti-inflammatory and analgesic evaluation of thiazole/oxazole substituted benzothiazole derivatives. Bioorg. Chem. 2021, 107, 104608. [Google Scholar] [CrossRef]
- Sharma, V.; Bhatia, P.; Alam, O.; Javed Naim, M.; Nawaz, F.; Ahmad Sheikh, A.; Jha, M. Recent advancement in the discovery and development of COX-2 inhibitors: Insight into biological activities and SAR studies (2008–2019). Bioorg. Chem. 2019, 89, 103007. [Google Scholar] [CrossRef]
- Guerrero-Pepinosa, N.Y.; Cardona-Trujillo, M.C.; Garzón-Castaño, S.C.; Veloza, L.A.; Sepúlveda-Arias, J.C. Antiproliferative activity of thiazole and oxazole derivatives: A systematic review of in vitro and in vivo studies. Biomed. Pharmacother. 2021, 138, 111495. [Google Scholar] [CrossRef]
- Yan, X.; Wen, J.; Zhou, L.; Fan, L.; Wang, X.; Xu, Z. Current Scenario of 1,3-oxazole Derivatives for Anticancer Activity. Curr. Top. Med. Chem. 2020, 20, 1916–1937. [Google Scholar] [CrossRef] [PubMed]
- de Koning, C.B.; Ngwira, K.J.; Rousseau, A.L. Biosynthesis, synthetic studies, and biological activities of the jadomycin alkaloids and related analogues. In The Alkaloids: Chemistry and Biology; Knölker, H.-J., Ed.; Academic Press: Cambridge, CA, USA, 2020; Volume 84, pp. 125–199. ISBN 978-0-12-820982-0. [Google Scholar]
- Jakeman, D.L.; Bandi, S.; Graham, C.L.; Reid, T.R.; Wentzell, J.R.; Douglas, S.E. Antimicrobial Activities of Jadomycin B and Structurally Related Analogues. Antimicrob. Agents Chemother. 2009, 53, 1245–1247. [Google Scholar] [CrossRef] [PubMed]
- Pinto, I.L.; West, A.; Debouck, C.M.; DiLella, A.G.; Gorniak, J.G.; O’Donnell, K.C.; O’Shannessy, D.J.; Patel, A.; Jarvest, R.L. Novel, selective mechanism-based inhibitors of the herpes proteases. Bioorg. Med. Chem. Lett. 1996, 6, 2467–2472. [Google Scholar] [CrossRef]
- De Azeredo, C.M.O.; Ávila, E.P.; Pinheiro, D.L.J.; Amarante, G.W.; Soares, M.J. Biological activity of the azlactone derivative EPA-35 against Trypanosoma cruzi. FEMS Microbiol. Lett. 2017, 364, fnx020. [Google Scholar] [CrossRef][Green Version]
- Feldman, M.; Smoum, R.; Mechoulam, R.; Steinberg, D. Antimicrobial potential of endocannabinoid and endocannabinoid-like compounds against methicillin-resistant Staphylococcus aureus. Sci. Rep. 2018, 8, 17696. [Google Scholar] [CrossRef]
- Battista, N.; Bari, M.; Bisogno, T. N-Acyl Amino Acids: Metabolism, Molecular Targets, and Role in Biological Processes. Biomolecules 2019, 9, 822. [Google Scholar] [CrossRef]
- Arul Prakash, S.; Kamlekar, R.K. Function and therapeutic potential of N-acyl amino acids. Chem. Phys. Lipids 2021, 239, 105114. [Google Scholar] [CrossRef]
- Li, H.-B.; Yang, T.; Richards, E.M.; Pepine, C.J.; Raizada, M.K. Maternal Treatment With Captopril Persistently Alters Gut-Brain Communication and Attenuates Hypertension of Male Offspring. Hypertension 2020, 75, 1315–1324. [Google Scholar] [CrossRef]
- Calzetta, L.; Matera, M.G.; Rogliani, P.; Cazzola, M. Multifaceted activity of N-acetyl-L-cysteine in chronic obstructive pulmonary disease. Expert Rev. Respir. Med. 2018, 12, 693–708. [Google Scholar] [CrossRef]
- Koźmiński, P.; Halik, P.K.; Chesori, R.; Gniazdowska, E. Overview of Dual-Acting Drug Methotrexate in Different Neurological Diseases, Autoimmune Pathologies and Cancers. Int. J. Mol. Sci. 2020, 21, 3483. [Google Scholar] [CrossRef]
- Jin, X.; Cheng, Z.; Yu, X.; Tao, Q.; Huang, R.; Wang, S. Continuous supplementation of folic acid in pregnancy and the risk of perinatal depression–A meta-analysis. J. Affect. Disord. 2022, 302, 258–272. [Google Scholar] [CrossRef]
- Menezo, Y.; Elder, K.; Clement, A.; Clement, P. Folic Acid, Folinic Acid, 5 Methyl TetraHydroFolate Supplementation for Mutations That Affect Epigenesis through the Folate and One-Carbon Cycles. Biomolecules 2022, 12, 197. [Google Scholar] [CrossRef] [PubMed]
- Sharma, P.; Singh, S.; Siddiqui, T.I.; Singh, V.S.; Kundu, B.; Prathipati, P.; Saxena, A.K.; Dikshit, D.K.; Rastogi, L.; Dixit, C.; et al. α-Amino acid derivatives as proton pump inhibitors and potent anti-ulcer agents. Eur. J. Med. Chem. 2007, 42, 386–393. [Google Scholar] [CrossRef] [PubMed]
- Guerini, M.; Condrò, G.; Friuli, V.; Maggi, L.; Perugini, P. N-acetylcysteine (NAC) and Its Role in Clinical Practice Management of Cystic Fibrosis (CF): A Review. Pharmaceuticals 2022, 15, 217. [Google Scholar] [CrossRef]
- Bruns, H.; Herrmann, J.; Müller, R.; Wang, H.; Wagner Döbler, I.; Schulz, S. Oxygenated N-Acyl Alanine Methyl Esters (NAMEs) from the Marine Bacterium Roseovarius tolerans EL-164. J. Nat. Prod. 2018, 81, 131–139. [Google Scholar] [CrossRef] [PubMed]
- Singh, I.P.; Jain, S.K.; Kaur, A.; Singh, S.; Kumar, R.; Garg, P.; Sharma, S.S.; Arora, S.K. Synthesis and Antileishmanial activity of Piperoyl-Amino Acid Conjugates. Eur. J. Med. Chem. 2010, 45, 3439–3445. [Google Scholar] [CrossRef]
- Aboul-Fadl, T.; Al-Hamad, S.S.; Fouad, E.A. Pharmacokinetic studies of naproxen amides of some amino acid esters with promising colorectal cancer chemopreventive activity. Bioorg. Chem. 2018, 76, 370–379. [Google Scholar] [CrossRef]
- Antoszczak, M.; Sobusiak, M.; Maj, E.; Wietrzyk, J.; Huczyński, A. Synthesis and antiproliferative activity of new bioconjugates of Salinomycin with amino acid esters. Bioorg. Med. Chem. Lett. 2015, 25, 3511–3514. [Google Scholar] [CrossRef]
- Xiong, J.; Zhu, H.-F.; Zhao, Y.-J.; Lan, Y.-J.; Jiang, J.-W.; Yang, J.-J.; Zhang, S.-F. Synthesis and Antitumor Activity of Amino Acid Ester Derivatives Containing 5-Fluorouracil. Molecules 2009, 14, 3142. [Google Scholar] [CrossRef]
- Sathi, G.; Gujrati, V.R.; Nath, C.; Agarwal, J.C.; Bhargava, K.P.; Shanker, K. Synthesis and Pharmacological Evaluation of New Ethyl Esters of N-Acyl Amino Acids as CNS Agents. Arch. Pharm. 1982, 315, 603–609. [Google Scholar] [CrossRef]
- Stille, J.K.; Tjutrins, J.; Wang, G.; Venegas, F.A.; Hennecker, C.; Rueda, A.M.; Sharon, I.; Blaine, N.; Miron, C.E.; Pinus, S.; et al. Design, synthesis and in vitro evaluation of novel SARS-CoV-2 3CLpro covalent inhibitors. Eur. J. Med. Chem. 2022, 229, 114046. [Google Scholar] [CrossRef] [PubMed]
- Lockbaum, G.J.; Henes, M.; Lee, J.M.; Timm, J.; Nalivaika, E.A.; Thompson, P.R.; Kurt Yilmaz, N.; Schiffer, C.A. Pan-3C Protease Inhibitor Rupintrivir Binds SARS-CoV-2 Main Protease in a Unique Binding Mode. Biochemistry 2021, 60, 2925–2931. [Google Scholar] [CrossRef] [PubMed]
- Allen, L.A.T.; Raclea, R.-C.; Natho, P.; Parsons, P.J. Recent advances in the synthesis of α-amino ketones. Org. Biomol. Chem. 2021, 19, 498–513. [Google Scholar] [CrossRef]
- Deng, H.; Bannister, T.D.; Jin, L.; Babine, R.E.; Quinn, J.; Nagafuji, P.; Celatka, C.A.; Lin, J.; Lazarova, T.I.; Rynkiewicz, M.J.; et al. Synthesis, SAR exploration, and X-ray crystal structures of factor XIa inhibitors containing an α-ketothiazole arginine. Bioorg. Med. Chem. Lett. 2006, 16, 3049–3054. [Google Scholar] [CrossRef] [PubMed]
- Semple, G.; Ashworth, D.M.; Batt, A.R.; Baxter, A.J.; Benzies, D.W.M.; Elliot, L.H.; Evans, D.M.M.; Franklin, R.J.; Hudson, P.; Jenkins, P.D.; et al. Peptidomimetic aminomethylene ketone inhibitors of interleukin-1β-converting enzyme (ICE). Bioorg. Med. Chem. Lett. 1998, 8, 959–964. [Google Scholar] [CrossRef]
- Tice, C.M.; Hormann, R.E.; Thompson, C.S.; Friz, J.L.; Cavanaugh, C.K.; Michelotti, E.L.; Garcia, J.; Nicolas, E.; Albericio, F. Synthesis and SAR of α-Acylaminoketone ligands for control of gene expression. Bioorg. Med. Chem. Lett. 2003, 13, 475–478. [Google Scholar] [CrossRef]
- Apostol, T.-V.; Draghici, C.; Dinu, M.; Barbuceanu, S.-F.; Socea, L.I.; Saramet, I. Synthesis, Characterization and Biological Evaluation of New 5-aryl-4-methyl-2-[para-(phenylsulfonyl)phenyl]oxazoles. Rev. Chim. 2011, 62, 142–148. [Google Scholar]
- Apostol, T.-V.; Saramet, I.; Draghici, C.; Barbuceanu, S.-F.; Socea, L.I.; Almajan, G.L. Synthesis and Characterization of New 5-Aryl-2-[para-(4-chlorophenylsulfonyl)phenyl]-4-methyloxazoles. Rev. Chim. 2011, 62, 486–492. [Google Scholar]
- Apostol, T.-V.; Barbuceanu, S.-F.; Olaru, O.T.; Draghici, C.; Saramet, G.; Socea, B.; Enache, C.; Socea, L.-I. Synthesis, Characterization and Cytotoxicity Evaluation of New Compounds from Oxazol-5(4H)-ones and Oxazoles Class Containing 4-(4-Bromophenylsulfonyl)phenyl Moiety. Rev. Chim. 2019, 70, 1099–1107. [Google Scholar] [CrossRef]
- Apostol, T.V.; Barbuceanu, S.F.; Socea, L.I.; Draghici, C.; Saramet, G.; Iscrulescu, L.; Olaru, O.T. Synthesis, Characterization and Cytotoxicity Evaluation of New Heterocyclic Compounds with Oxazole Ring Containing 4-(Phenylsulfonyl)phenyl Moiety. Rev. Chim. 2019, 70, 3793–3801. [Google Scholar] [CrossRef]
- Apostol, T.-V.; Socea, L.-I.; Drăghici, C.; Olaru, O.T.; Șaramet, G.; Enache-Preoteasa, C.; Bărbuceanu, Ș.-F. Design, Synthesis, Characterization, and Cytotoxicity Evaluation of New 4-Benzyl-1,3-oxazole Derivatives Bearing 4-(4-Chlorophenylsulfonyl)phenyl Moiety. Farmacia 2021, 69, 314–324. [Google Scholar] [CrossRef]
- Apostol, T.V.; Drăghici, C.; Socea, L.I.; Olaru, O.T.; Șaramet, G.; Hrubaru, M.; Bărbuceanu, Ș.F. Synthesis, Characterization and Cytotoxicity Assessment of New 4-Benzyl-1,3-oxazole Derivatives Incorporating 4-[(4-Bromophenyl)sulfonyl]phenyl Fragment. Farmacia 2021, 69, 521–529. [Google Scholar] [CrossRef]
- Apostol, T.-V.; Drăghici, C.; Socea, L.-I.; Olaru, O.T.; Șaramet, G.; Enache-Preoteasa, C.; Bărbuceanu, Ș.-F. Synthesis, Characterization and Cytotoxicity Evaluation of New Diphenyl Sulfone Derivatives. Farmacia 2021, 69, 657–669. [Google Scholar] [CrossRef]
- Filimonov, D.A.; Lagunin, A.A.; Gloriozova, T.A.; Rudik, A.V.; Druzhilovskii, D.S.; Pogodin, P.V.; Poroikov, V.V. Prediction of the Biological Activity Spectra of Organic Compounds Using the Pass Online Web Resource. Chem. Heterocycl. Compd. 2014, 50, 444–457. [Google Scholar] [CrossRef]
- Nitulescu, G.M.; Iancu, G.; Nitulescu, G.; Iancu, R.C.; Bogdanici, C.; Vasile, D. Brave New Hope for Breast Cancer: Aminopyrazole derivates between rational design and clinical efficacy. Rev. Chim. 2017, 68, 754–757. [Google Scholar] [CrossRef]
- Belete, T.M. Novel targets to develop new antibacterial agents and novel alternatives to antibacterial agents. Hum. Microbiome J. 2019, 11, 100052. [Google Scholar] [CrossRef]
- Naqvi, K.F.; Patin, D.; Wheatley, M.S.; Savka, M.A.; Dobson, R.C.J.; Gan, H.M.; Barreteau, H.; Blanot, D.; Mengin-Lecreulx, D.; Hudson, A.O. Identification and Partial Characterization of a Novel UDP-N-Acetylenolpyruvoylglucosamine Reductase/UDP-N-Acetylmuramate:L-Alanine Ligase Fusion Enzyme from Verrucomicrobium spinosum DSM 4136T. Front. Microbiol. 2016, 7, 362. [Google Scholar] [CrossRef]
- Sander, T.; Freyss, J.; von Korff, M.; Rufener, C. DataWarrior: An Open-Source Program for Chemistry Aware Data Visualization and Analysis. J. Chem. Inf. Model. 2015, 55, 460–473. [Google Scholar] [CrossRef]
- Xiong, G.; Wu, Z.; Yi, J.; Fu, L.; Yang, Z.; Hsieh, C.; Yin, M.; Zeng, X.; Wu, C.; Lu, A.; et al. ADMETlab 2.0: An integrated online platform for accurate and comprehensive predictions of ADMET properties. Nucleic Acids Res. 2021, 49, W5–W14. [Google Scholar] [CrossRef]
- Hutchings, M.I.; Truman, A.W.; Wilkinson, B. Antibiotics: Past, present and future. Curr. Opin. Microbiol. 2019, 51, 72–80. [Google Scholar] [CrossRef]
- Apostol, T.-V.; Marutescu, L.G.; Draghici, C.; Socea, L.-I.; Olaru, O.T.; Nitulescu, G.M.; Pahontu, E.M.; Saramet, G.; Enache-Preoteasa, C.; Barbuceanu, S.-F. Synthesis and Biological Evaluation of New N-Acyl-α-amino Ketones and 1,3-Oxazoles Derivatives. Molecules 2021, 26, 5019. [Google Scholar] [CrossRef] [PubMed]
- Apostol, T.-V.; Chifiriuc, M.C.; Draghici, C.; Socea, L.-I.; Marutescu, L.G.; Olaru, O.T.; Nitulescu, G.M.; Pahontu, E.M.; Saramet, G.; Barbuceanu, S.-F. Synthesis, In Silico and In Vitro Evaluation of Antimicrobial and Toxicity Features of New 4-[(4-Chlorophenyl)sulfonyl]benzoic Acid Derivatives. Molecules 2021, 26, 5107. [Google Scholar] [CrossRef] [PubMed]



| Compound | X | R | Purity (%) | Ref. | Compound | X | R | Y | Purity (%) | Ref. |
|---|---|---|---|---|---|---|---|---|---|---|
| 1a | H | CH3 | 99.99 | [59] | 5a | H | CH3 | H | 96.55 | [59] |
| 1b | Cl | CH3 | 99.99 | [60] | 5b | Cl | CH3 | H | 98.02 | [60] |
| 1c | Br | CH3 | 99.99 | [61] | 5c | Br | CH3 | H | 97.46 | [61] |
| 1d | H | CH2C6H5 | 99.99 | [62] | 5d | H | CH3 | 4-CH3 | 95.10 | [59] |
| 1e | Cl | CH2C6H5 | 99.05 | [63] | 5e | Cl | CH3 | 4-CH3 | 96.65 | [60] |
| 1f | Br | CH2C6H5 | 99.63 | [64] | 5f | Br | CH3 | 4-CH3 | 92.28 | [61] |
| 2a | H | CH3 | 91.75 | [59] | 5g | H | CH3 | 2,4-(CH3)2 | 97.16 | [59] |
| 2b | Cl | CH3 | 92.92 | [60] | 5h | Cl | CH3 | 2,4-(CH3)2 | 91.10 | [60] |
| 2c | Br | CH3 | 90.78 | [61] | 5i | Br | CH3 | 2,4-(CH3)2 | 97.55 | [61] |
| 2d | H | CH2C6H5 | 92.03 | [62] | 5j | H | CH2C6H5 | 4-CH3 | 91.49 | [62] |
| 2e | Cl | CH2C6H5 | 91.49 | [63] | 5k | Cl | CH2C6H5 | 4-CH3 | 98.30 | [63] |
| 2f | Br | CH2C6H5 | 90.20 | [64] | 5l | Br | CH2C6H5 | 4-CH3 | 94.53 | [64] |
| 3a | H | CH3 | 94.41 | [65] | 5m | Cl | CH2C6H5 | 2,4-(CH3)2 | 90.83 | [63] |
| 4a | H | CH3 | 99.44 | [65] | 5n | Br | CH2C6H5 | 2,4-(CH3)2 | 92.40 | [64] |
| 4b | Cl | CH3 | 93.29 | [65] | 6a | H | CH3 | H | 94.90 | [59] |
| 4c | Br | CH3 | 97.80 | [65] | 6b | Cl | CH3 | H | 96.07 | [60] |
| 4d | H | CH2C6H5 | 98.98 | [65] | 6c | Br | CH3 | H | 98.79 | [61] |
| 4e | Cl | CH2C6H5 | 99.36 | [65] | 6d | H | CH3 | 4-CH3 | 99.50 | [59] |
| 4f | Br | CH2C6H5 | 98.81 | [65] | 6e | Cl | CH3 | 4-CH3 | 97.96 | [60] |
| 6f | Br | CH3 | 4-CH3 | 97.66 | [61] | |||||
| 6g | H | CH3 | 2,4-(CH3)2 | 98.68 | [59] | |||||
| 6h | Cl | CH3 | 2,4-(CH3)2 | 97.51 | [60] | |||||
| 6i | Br | CH3 | 2,4-(CH3)2 | 96.80 | [61] | |||||
| 6j | Br | CH3 | 2,4,6-(CH3)3 | 90.58 | [61] | |||||
| 6k | Cl | CH2C6H5 | H | 95.13 | [63] | |||||
| 6l | H | CH2C6H5 | 4-CH3 | 93.31 | [62] | |||||
| 6m | Cl | CH2C6H5 | 4-CH3 | 97.57 | [63] | |||||
| 6n | Br | CH2C6H5 | 4-CH3 | 97.70 | [64] | |||||
| 6o | Cl | CH2C6H5 | 2,4-(CH3)2 | 99.15 | [63] | |||||
| 6p | Br | CH2C6H5 | 2,4-(CH3)2 | 99.90 | [64] |
| Tested Compounds | S. epidermidis 756 | B. subtilis ATCC 6683 | E. coli ATCC 25922 | P. aeruginosa ATCC 27853 | C. albicans 128 | |||||
|---|---|---|---|---|---|---|---|---|---|---|
| MIC | MBIC | MIC | MBIC | MIC | MBIC | MIC | MBIC | MIC | MBIC | |
| 1d | >225 | >225 | >225 | >225 | 28.1 | 225 | >225 | >225 | 14 | 112.5 |
| 1e | 56.2 | 56.2 | >225 | >225 | 28.1 | 56.2 | >225 | 14 | 14 | 112.5 |
| 1f | 56.2 | 56.2 | >225 | >225 | >225 | >225 | >225 | 28.1 | >225 | >225 |
| 2a | >225 | >225 | >225 | >225 | 28.1 | 225 | >225 | >225 | >225 | >225 |
| 2b | >225 | >225 | >225 | >225 | 28.1 | 56.2 | >225 | >225 | >225 | >225 |
| 2c | >225 | >225 | >225 | >225 | 28.1 | 56.2 | >225 | >225 | >225 | >225 |
| 2d | 56.2 | 56.2 | >225 | >225 | >225 | >225 | >225 | 14 | >225 | >225 |
| 2e | >225 | 112.5 | >225 | 56.2 | 28.1 | 56.2 | >225 | 14 | >225 | >225 |
| 2f | >225 | 225 | >225 | >225 | 28.1 | 56.2 | >225 | 14 | >225 | >225 |
| 3a | >225 | 112.5 | >225 | >225 | >225 | >225 | 14 | 14 | 14 | 112.5 |
| 4a | 56.2 | 56.2 | 56.2 | 112.5 | >225 | >225 | >225 | 14 | 14 | 112.5 |
| 6i | >225 | >225 | >225 | >225 | >225 | >225 | >225 | >225 | 14 | 112.5 |
| 6j | >225 | >225 | >225 | 225 | >225 | >225 | >225 | 14 | 14 | 112.5 |
| 6p | >225 | 112.5 | >225 | >225 | >225 | >225 | >225 | >225 | >225 | >225 |
| Ciprofloxacin | 0.15 | 0.15 | <0.03 | <0.03 | 0.012 | 0.012 | 0.15 | 0.15 | - * | - |
| Fluconazole | - | - | - | - | - | - | - | - | <0.12 | <0.12 |
| Target | Pa Max | Pa Min | Compounds with Pa > 0.5 |
|---|---|---|---|
| Anti-infective | 0.702 | 0.218 | 1a, 1b, 1c, 1d, 1e, 1f, 3a |
| Antimycobacterial | 0.574 | 0.198 | 2c, 2f, 5c, 5f |
| Antituberculosis | 0.526 | 0.199 | 5c, 5f |
| Antibiotic glycopeptide-like | 0.403 | 0.083 | 0 |
| Peptidoglycan glycosyltransferase inhibitor | 0.323 | 0.212 | 0 |
| Antibacterial | 0.312 | 0.168 | 0 |
| UDP-N-acetylmuramate-L-alanine ligase inhibitor (MurC) | 0.225 | 0.116 | 0 |
| Antibacterial, ophthalmic | 0.164 | 0.122 | 0 |
| Bacterial efflux pump inhibitor | 0.119 | 0.118 | 0 |
| Antiseptic | 0.118 | 0.117 | 0 |
| Antibiotic | 0.106 | 0.106 | 0 |
| Peptidoglycan beta-N-acetylmuramidase inhibitor | 0.093 | 0.067 | 0 |
| N-acetylmuramoyl-L-alanine amidase inhibitor | 0.083 | 0.054 | 0 |
| UDP-N-acetylmuramoylalanine-D-glutamate ligase inhibitor (MurD) | 0.079 | 0.059 | 0 |
| Bacterial leucyl aminopeptidase inhibitor | 0.064 | 0.051 | 0 |
| Descriptor | Min | Max |
|---|---|---|
| MW | 315.35 | 576.51 |
| cLogP | 1.29 | 7.61 |
| HBD | 0 | 5 |
| HBA | 0 | 2 |
| RB | 3 | 9 |
| PSA | 68.6 | 108.9 |
| DLK | −19.7 | 4.9 |
| Property | 1d | 1e | 1f | 2a | 2b | 2c | 2d | 2e | 2f | 3a | 4a | 6i | 6j | 6p |
|---|---|---|---|---|---|---|---|---|---|---|---|---|---|---|
| Lipinski’s rule | • | • | • | • | • | • | • | • | • | • | • | • | • | • |
| Pfizer rule | • | • | • | • | • | • | • | • | • | • | • | • | • | • |
| GSK rule | • | • | • | • | • | • | • | • | • | • | • | • | • | • |
| Golden triangle | • | • | • | • | • | • | • | • | • | • | • | • | • | • |
| PAINS | no | no | no | no | no | no | no | no | no | no | no | no | no | no |
| Plasma protein binding (%) | 99.0 | 98.7 | 98.7 | 98.4 | 99.4 | 98.9 | 100 | 100 | 100 | 94.3 | 98.2 | 100 | 100 | 100 |
| Volume distribution | 0.34 | 0.37 | 0.35 | 0.53 | 0.48 | 0.54 | 0.29 | 0.27 | 0.35 | 0.14 | 0.43 | 0.42 | 0.48 | 0.31 |
| hERG blocker | −− | − | − | − | −− | −−− | −−− | −− | −−− | − | −−− | −− | −−− | −−− |
| AMES toxicity | −−− | −−− | −−− | −−− | −−− | −−− | −−− | −−− | −−− | −−− | −−− | −−− | −−− | −−− |
| Carcinogenicity | − | − | − | ++ | ++ | ++ | ++ | ++ | ++ | −− | ++ | + | + | + |
| Hepatotoxicity | + | ++ | + | ++ | ++ | + | ++ | ++ | + | −− | + | ++ | + | + |
| Drug-induced liver injury | +++ | +++ | +++ | +++ | +++ | +++ | +++ | +++ | +++ | +++ | +++ | +++ | +++ | +++ |
Publisher’s Note: MDPI stays neutral with regard to jurisdictional claims in published maps and institutional affiliations. |
© 2022 by the authors. Licensee MDPI, Basel, Switzerland. This article is an open access article distributed under the terms and conditions of the Creative Commons Attribution (CC BY) license (https://creativecommons.org/licenses/by/4.0/).
Share and Cite
Apostol, T.-V.; Chifiriuc, M.C.; Nitulescu, G.M.; Olaru, O.T.; Barbuceanu, S.-F.; Socea, L.-I.; Pahontu, E.M.; Karmezan, C.M.; Marutescu, L.G. In Silico and In Vitro Assessment of Antimicrobial and Antibiofilm Activity of Some 1,3-Oxazole-Based Compounds and Their Isosteric Analogues. Appl. Sci. 2022, 12, 5571. https://doi.org/10.3390/app12115571
Apostol T-V, Chifiriuc MC, Nitulescu GM, Olaru OT, Barbuceanu S-F, Socea L-I, Pahontu EM, Karmezan CM, Marutescu LG. In Silico and In Vitro Assessment of Antimicrobial and Antibiofilm Activity of Some 1,3-Oxazole-Based Compounds and Their Isosteric Analogues. Applied Sciences. 2022; 12(11):5571. https://doi.org/10.3390/app12115571
Chicago/Turabian StyleApostol, Theodora-Venera, Mariana Carmen Chifiriuc, George Mihai Nitulescu, Octavian Tudorel Olaru, Stefania-Felicia Barbuceanu, Laura-Ileana Socea, Elena Mihaela Pahontu, Crina Maria Karmezan, and Luminita Gabriela Marutescu. 2022. "In Silico and In Vitro Assessment of Antimicrobial and Antibiofilm Activity of Some 1,3-Oxazole-Based Compounds and Their Isosteric Analogues" Applied Sciences 12, no. 11: 5571. https://doi.org/10.3390/app12115571
APA StyleApostol, T.-V., Chifiriuc, M. C., Nitulescu, G. M., Olaru, O. T., Barbuceanu, S.-F., Socea, L.-I., Pahontu, E. M., Karmezan, C. M., & Marutescu, L. G. (2022). In Silico and In Vitro Assessment of Antimicrobial and Antibiofilm Activity of Some 1,3-Oxazole-Based Compounds and Their Isosteric Analogues. Applied Sciences, 12(11), 5571. https://doi.org/10.3390/app12115571

