A Comparison of Turning Kinematics at Different Amplitudes during Standing Turns between Older and Younger Adults
Abstract
:1. Introduction
2. Materials and Methods
2.1. Study Design and Participants
2.2. Turning Protocol and Data Collection
2.3. Data Processing
- The mean onset time of the head, trunk, pelvis and feet were defined as the yaw angular displacement and velocity profiles by selecting the time which corresponded to the rotation onset for each segment were amplitude greater than 0° and less than 15° with a positive velocity [7]. In addition, the yaw angular displacement was defined as the angle of rotation onset for each segment in the yaw plane.
- The peak segment angular separations were defined as the angle rotation subtracted between segments (the head and thorax and the head and pelvis), which were used as measures of axial segment and intersegment coordination. Although traditionally, a lack of differences in the timing of axial segment reorientation onset has been used to characterize turning as en-bloc, measuring the rotation of the head with respect to the lower body during the duration of the turn also gives a more complete description of which body segments lead which during the turning rotation [7].
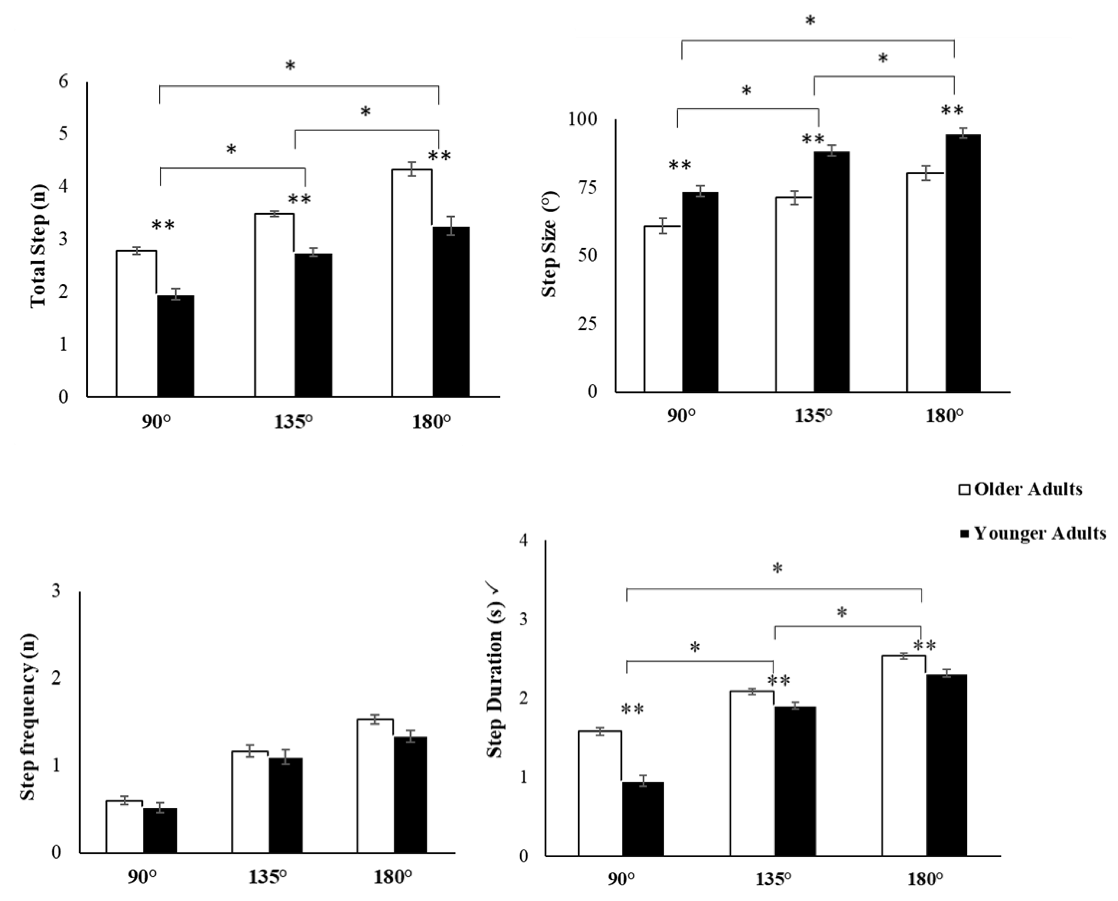
- Stepping characteristics parameters including step frequency (the number of steps counted divided by step duration), step size (the yaw rotation of the foot during the swing phase which was calculated for each step), and step duration (calculated as the time lapse between step onset and step placement).
- The turn speed was calculated and defined by the turning amplitude divided by the duration.
2.4. Statistical Analysis
3. Results
3.1. Segment Onset Latencies
3.2. Intersegmental Coordination
3.3. Stepping Characteristics
3.4. Turning Speed
4. Discussion
5. Conclusions
Author Contributions
Funding
Institutional Review Board Statement
Informed Consent Statement
Data Availability Statement
Acknowledgments
Conflicts of Interest
References
- Patla, A.E.; Adkin, A.; Ballard, T. Online steering: Coordination and control of body center of mass, head and body reorientation. Exp. Brain Res. 1999, 129, 629–634. [Google Scholar] [CrossRef] [PubMed]
- Thigpen, M.T.; Light, K.E.; Creel, G.L.; Flynn, S.M. Turning difficulty characteristics of adults aged 65 years or older. Phys. Ther. 2000, 80, 1174–1187. [Google Scholar] [CrossRef] [PubMed] [Green Version]
- Wright, R.L.; Peters, D.M.; Robinson, P.D.; Sitch, A.J.; Watt, T.N.; Hollands, M.A. Differences in axial segment reorientation during standing turns predict multiple falls in older adults. Gait Posture 2012, 36, 541–545. [Google Scholar] [CrossRef] [PubMed] [Green Version]
- Welch, S.A.; Ward, R.E.; Kurlinski, L.A.; Kiely, D.K.; Goldstein, R.; VanSwearingen, J.; Brach, J.S.; Bean, J.F. Straight and curved path walking among older adults in primary care: Associations with fall-related outcomes. PM R 2016, 8, 754–760. [Google Scholar] [CrossRef] [Green Version]
- Masui, T.; Hasegawa, Y.; Matsuyama, Y.; Sakano, S.; Kawasaki, M.; Suzuki, S. Gender differences in platform measures of balance in rural community-dwelling elders. Arch. Gerontol. Geriatr. 2005, 41, 201–209. [Google Scholar] [CrossRef]
- Kasović, M.; Štefan, L.; Štefan, A. Normative Data for Gait Speed and Height Norm Speed in ≥ 60-Year-Old Men and Women. Clin. Interv. Aging 2022, 16, 225–230. [Google Scholar] [CrossRef]
- Khobkhun, F.; Hollands, M.; Richards, J. The effect of different turn speeds on whole-body coordination in younger and older healthy adults. Sensors 2021, 21, 2827. [Google Scholar] [CrossRef]
- Zanelli, G.; Cappa, P.; Petrarca, M.; Berthoz, A. Vestibular and proprioceptive estimation of imposed rotation and spatial updating in standing subjects. Gait Posture 2011, 33, 582–587. [Google Scholar] [CrossRef]
- Pham, M.H.; Elshehabi, M.; Haertner, L.; Heger, T.; Hobert, M.A.; Faber, G.S.; Salkovic, D.; Ferreira, J.J.; Berg, D.; Sanchez-Ferro, Á.; et al. Algorithm for turning detection and analysis validated under home-like conditions in patients with Parkinson’s disease and older adults using a 6 degree-of-freedom inertial measurement unit at the lower back. Front. Neurol. 2017, 8, 135–143. [Google Scholar] [CrossRef]
- Renggli, D.; Graf, C.; Tachatos, N.; Singh, N.; Meboldt, M.; Taylor, W.R.; Stieglitz, L.; Schmid Daners, M. Wearable inertial measurement units for assessing gait in real-world environments. Front. Physiol. 2020, 11, 90–103. [Google Scholar] [CrossRef]
- Muangpaisan, W.; Assantachai, P.; Sitthichai, K.; Richardson, K.; Brayne, C. The Distribution of Thai Mental State Examination Scores among non-demented elderly in Suburban Bangkok Metropolitan and associated factors. J. Med. Assoc. Thai 2015, 98, 916–924. [Google Scholar]
- Robins, R.K.; Hollands, M.A. The effects of constraining vision and eye movements on whole-body coordination during standing turns. Exp. Brain Res. 2017, 235, 3593–3603. [Google Scholar] [CrossRef]
- Khobkhun, F.; Hollands, M.A.; Richards, J.; Ajjimaporn, A. Can we accurately measure axial segment coordination during turning using Inertial Measurement Units (IMUs)? Sensors 2020, 20, 2518. [Google Scholar] [CrossRef] [PubMed]
- Ashburn, A.; Kampshoff, C.; Burnett, M.; Stack, E.; Pickering, R.M.; Verheyden, G. Sequence and onset of whole-body coordination when turning in response to a visual trigger: Comparing people with Parkinson’s disease and healthy adults. Gait Posture 2014, 39, 278–283. [Google Scholar] [CrossRef] [PubMed]
- Reed-Jones, R.J.; Hollands, M.A.; Reed-Jones, J.G.; Vallis, L.A. Visually evoked whole-body turning responses during stepping in place in a virtual environment. Gait Posture 2009, 30, 317–321. [Google Scholar] [CrossRef] [PubMed]
- Akram, S.B.; Frank, J.S.; Fraser, J. Coordination of segments reorientation during on-the-spot turns in healthy older adults in eyes-open and eyes-closed conditions. Gait Posture 2010, 32, 632–636. [Google Scholar] [CrossRef]
- Hase, K.; Stein, R. Turning strategies during human walking. J. Neurophysiol. 1999, 81, 2914–2922. [Google Scholar] [CrossRef]
- He, C.; Xu, R.; Zhao, M.; Guo, Y.; Jiang, S.; He, F.; Ming, D. Dynamic stability and spatiotemporal parameters during turning in healthy young adults. Biomed. Eng. Online 2018, 17, 127–132. [Google Scholar] [CrossRef] [Green Version]
- Hollands, M.A.; Ziavra, N.V.; Bronstein, A.M. A new paradigm to investigate the roles of head and eye movements in the coordination of whole-body movements. Exp. Brain Res. 2004, 154, 261–266. [Google Scholar] [CrossRef]
- Reed-Jones, R.J.; Reed-Jones, J.G.; Vallis, L.A.; Hollands, M.A. The effects of constraining eye movements on visually evoked steering responses during walking in a virtual environment. Exp. Brain Res. 2009, 197, 357–367. [Google Scholar] [CrossRef]
- McGibbon, C.A.; Krebs, D.E. Age-related changes in lower trunk coordination and energy transfer during gait. J. Neurophysiol. 2001, 85, 1923–1931. [Google Scholar] [CrossRef] [PubMed] [Green Version]
- Mancini, M.; Schlueter, H.; El-Gohary, M.; Mattek, N.; Duncan, C.; Kaye, J.; Horak, F.B. Continuous monitoring of turning mobility and its association to falls and cognitive function: A pilot study. J. Gerontol. A Biol. Sci. Med. Sci. 2016, 71, 1102–1108. [Google Scholar] [CrossRef] [PubMed] [Green Version]
- Fuller, J.R.; Adkin, A.L.; Vallis, L.A. Strategies used by older adults to change travel direction. Gait Posture 2007, 25, 393–400. [Google Scholar] [CrossRef]
- Akram, S.B.; Frank, J.S.; Chenouri, S. Turning behavior in healthy older adults: Is there a preference for step versus spin turns? Gait Posture 2010, 31, 23–26. [Google Scholar] [CrossRef]
- Chapman, G.J.; Hollands, M.A. Evidence that older adult fallers prioritise the planning of future stepping actions over the accurate execution of ongoing steps during complex locomotor tasks. Gait Posture 2007, 26, 59–67. [Google Scholar] [CrossRef] [PubMed]
- Forsell, C.; Conradsson, D.; Paquette, C.; Franzén, E. Reducing gait speed affects axial coordination of walking turns. Gait Posture 2017, 54, 71–75. [Google Scholar] [CrossRef] [PubMed]
- Vieilledent, S.; Kerlirzin, Y.; Dalbera, S.; Berthoz, A. Relationship between velocity and curvature of a human locomotor trajectory. Neurosci. Lett. 2001, 305, 65–69. [Google Scholar] [CrossRef]





| Variables | Older Adults Group (n = 20) | Younger Adults Group (n = 20) | Main Effect | |||||
|---|---|---|---|---|---|---|---|---|
| 90° | 135° | 180° | 90° | 135° | 180° | Group Effect p-Value (ηp2) | Amplitude Effect p-Value (ηp2) | |
| Segment onset latencies (s) | ||||||||
| Head | 0.40 (0.03) | 0.42 (0.04) | 0.55 (0.07) | 0.37 (0.05) | 0.40 (0.07) | 0.48 (0.06) | 0.003 * (0.22) | <0.001 * (0.07) |
| Thorax | 0.49 (0.05) | 0.52 (0.05) | 0.55 (0.07) | 0.43 (0.05) | 0.45 (0.06) | 0.53 (0.05) | 0.062 (0.03) | <0.001 * (0.55) |
| Pelvis | 0.51 (0.1) | 0.53 (0.09) | 0.62 (0.11) | 0.50 (0.09) | 0.55 (0.1) | 0.58 (0.09) | 0.596 (0.02) | <0.001 * (0.21) |
| Leading foot | 0.68 (0.11) | 0.68 (0.10) | 0.80 (0.13) | 0.55 (0.11) | 0.61 (0.13) | 0.62 (0.10) | <0.001 * (0.24) | 0.002 * (0.15) |
| Trailing foot | 1.12 (0.14) | 1.15 (0.16) | 1.17 (0.24) | 0.68 (0.31) | 0.74 (0.24) | 0.86 (0.26) | <0.001 * (0.48) | 0.225 (0.04) |
| Peak head yaw velocity (°s−1) | 103.22 (17.77) | 117.27 (18.75) | 139.61 (28.63) | 123.54 (12.81) | 151.54 (25.73) | 172.81 (24.86) | <0.001 * (0.19) | <0.001 * (0.33) |
| Segment angular separations (°) | ||||||||
| Peak head–thorax | 10.00 (5.21) | 13.60 (7.13) | 18.80 (10.04) | 20.14 (7.73) | 23.80 (8.30) | 21.57 (7.00) | <0.001 * (0.21) | 0.025 (0.08) |
| Peak head–pelvis | 10.86 (5.77) | 15.10 (7.62) | 19.63 (11.46) | 15.59 (7.62) | 23.42 (11.27) | 27.63 (12.41) | <0.001 * (0.11) | <0.001 * (0.20) |
| Total step (n) | 2.78 (0.38) | 3.48 (0.44) | 4.33 (0.49) | 1.95 (0.15) | 2.75 (0.44) | 3.25 (0.41) | <0.001 * (0.58) | <0.001 * (0.77) |
| Step frequency (Hz) | 0.60 (0.30) | 1.17 (0.30) | 1.53 (0.21) | 0.52 (0.24) | 1.10 (0.40) | 1.34 (0.26) | 0.123 (0.02) | 0.979 (0.01) |
| Step duration (s) ✓ | 1.58 (0.26) | 2.09 (0.38) | 2.53 (0.66) | 0.95 (0.15) | 1.91 (0.36) | 2.31 (0.28) | <0.001 * (0.22) | <0.001 * (0.79) |
| Step size (°) | 60.81(11.88) | 71.21 (10.59) | 80.28 (11.62) | 73.54 (14.31) | 88.55 (24.40) | 95.00 (25.95) | <0.001 * (0.17) | <0.001 * (0.27) |
| Turn speed (°s−1) ✓ | 58.59 (10.46) | 66.54 (11.70) | 75.56 (18.31) | 96.63 (21.30) | 73.92 (17.87) | 78.80 (9.73) | <0.001 * (0.23) | <0.001 * (0.07) |
| Variables | Groups Compared | Mean Diff (SE) | p-Value | CI of Diffs | |
|---|---|---|---|---|---|
| Lower Bound | Upper Bound | ||||
| Head onset (s) | 90° vs. 135° | −0.029 (0.012) | 0.046 | −0.057 | 0.001 |
| 90° vs. 180° | −0.133 (0.013) | <0.001 * | −0.164 | −0.102 | |
| 135° vs. 180° | −0.104 (0.014) | <0.001* | −0.139 | −0.069 | |
| Thorax onset (s) | 90° vs. 135° | −0.029 (0.012) | 0.046 | −0.058 | <0.001 |
| 90° vs. 180° | −0.127 (0.013) | <0.001 * | −0.158 | −0.096 | |
| 135° vs. 180° | −0.098 (0.013) | <0.001 * | −0.131 | −0.065 | |
| Pelvis onset (s) | 90° vs. 135° | −0.037 (0.022) | 0.296 | −0.091 | 0.017 |
| 90° vs. 180° | −0.101 (0.023) | <0.001 * | −0.158 | −0.045 | |
| 135° vs. 180° | −0.065 (0.023) | 0.020 | −0.121 | −0.008 | |
| Leading foot onset (s) | 90° vs. 135° | −0.033 (0.026) | 0.612 | −0.096 | 0.030 |
| 90° vs. 180° | −0.096 (0.026) | 0.001 | −0.160 | −0.032 | |
| 135° vs. 180° | −0.063 (0.027) | 0.064 | −0.129 | 0.003 | |
| Peak head yaw velocity (°s−1) | 90° vs. 135° | −21.026 (7.016) | 0.013 | −38.427 | −3.625 |
| 90° vs. 180° | −42.830 (7.339) | <0.001 | −61.046 | −24.614 | |
| 135° vs. 180° | −21.804 (9.544) | 0.075 | −45.170 | 1.562 | |
| Peak head–pelvis angular separation (°) | 90° vs. 135° | −6.043 (2.190) | 0.022 | −11.409 | −0.676 |
| 90° vs. 180° | −10.405 (2.331) | <0.001 * | −16.124 | −4.687 | |
| 135° vs. 180° | −4.363 (2.549) | 0.273 | −10.604 | 1.878 | |
| Total step (n) | 90° vs. 135° | −0.750 (0.084) | <0.001 * | −0.956 | −0.544 |
| 90° vs. 180° | −1.425 (0.085) | <0.001 * | −1.635 | −1.215 | |
| 135° vs. 180° | −0.675 (0.101) | <0.001 * | −0.921 | −0.429 | |
| Step size (°) | 90° vs. 135° | −12.697 (3.629) | 0.002 * | −21.606 | −3.789 |
| 90° vs. 180° | −20.465 (3.799) | <0.001 * | −29.799 | −11.130 | |
| 135° vs. 180° | −7.767 (4.354) | 0.235 | −18.427 | 2.892 | |
Publisher’s Note: MDPI stays neutral with regard to jurisdictional claims in published maps and institutional affiliations. |
© 2022 by the authors. Licensee MDPI, Basel, Switzerland. This article is an open access article distributed under the terms and conditions of the Creative Commons Attribution (CC BY) license (https://creativecommons.org/licenses/by/4.0/).
Share and Cite
Khobkhun, F.; Hollands, M.; Richards, J. A Comparison of Turning Kinematics at Different Amplitudes during Standing Turns between Older and Younger Adults. Appl. Sci. 2022, 12, 5474. https://doi.org/10.3390/app12115474
Khobkhun F, Hollands M, Richards J. A Comparison of Turning Kinematics at Different Amplitudes during Standing Turns between Older and Younger Adults. Applied Sciences. 2022; 12(11):5474. https://doi.org/10.3390/app12115474
Chicago/Turabian StyleKhobkhun, Fuengfa, Mark Hollands, and Jim Richards. 2022. "A Comparison of Turning Kinematics at Different Amplitudes during Standing Turns between Older and Younger Adults" Applied Sciences 12, no. 11: 5474. https://doi.org/10.3390/app12115474
APA StyleKhobkhun, F., Hollands, M., & Richards, J. (2022). A Comparison of Turning Kinematics at Different Amplitudes during Standing Turns between Older and Younger Adults. Applied Sciences, 12(11), 5474. https://doi.org/10.3390/app12115474

