Next Article in Journal
Analysis and Application of Selected Control Charts Suitable for Smart Manufacturing Processes
Previous Article in Journal
Language of Driving for Autonomous Vehicles
 
 
Font Type:
Arial Georgia Verdana
Font Size:
Aa Aa Aa
Line Spacing:
Column Width:
Background:
Article

Health Assessment of Landing Gear Retraction/Extension Hydraulic System Based on Improved Risk Coefficient and FCE Model

College of Civil Aviation, Nanjing University of Aeronautics and Astronautics, Nanjing 210016, China
*
Author to whom correspondence should be addressed.
Appl. Sci. 2022, 12(11), 5409; https://doi.org/10.3390/app12115409
Submission received: 17 April 2022 / Revised: 24 May 2022 / Accepted: 25 May 2022 / Published: 26 May 2022
(This article belongs to the Section Aerospace Science and Engineering)

Abstract

:

Featured Application

A more objective assessment technique is proposed to lessen the reliance on expert opinion in the health evaluation procedure of the landing gear hydraulic retraction/extension system.

Abstract

The health of the landing gear retraction/extension(R/E) hydraulic system may be assessed using fuzzy comprehensive evaluation (FCE), however the traditional FCE method depends solely on human assessment by specialists, which is excessively subjective. To address the issue of excessive human subjective variables in the assessment, an improved FCE model based on enhanced risk coefficient is provided, which includes four consideration indexes: failure probability, failure severity, failure detection difficulty, and failure repair difficulty. To reduce subjective human judgment errors entirely due to expert experience, the improved FCE takes into account the likelihood of failure using a statistical method, the severity of failure using a fault simulation analysis based on the LMS Imagine.Lab AMESim simulation platform, and the difficulty of fault detection and repair using the aircraft manufacturer’s professional maintenance information. As part of the evaluation model, the range of health assessment values and accompanying treatment methods are included, making it easier to implement on a daily basis in aircraft maintenance. As a final step, the simulation is evaluated, and the simulated faults are calculated.

1. Introduction

As elucidated in [1,2,3,4,5], in modern civil aircraft, the landing gear system is the primary takeoff and landing device, and the landing gear’s performance is critical for flight safety. Hydraulic retraction/extension (R/E) of the landing gear is one of the most crucial subsystems on the landing gear, and if it fails during the landing phase, it can easily to cause a serious accident in which the landing gear cannot launch, posing a serious threat to takeoff and landing safety. A LOT Polish Airlines 767-300ER with the registration number SP-LPC made a forced landing in 2011 due to a hydraulic system failure, resulting in the landing gear not being able to be lowered during landing and making a forced landing. This incident was recorded under NTSB number DCA12WA009.
In the study of health assessment of landing gear hydraulic system for civil aircraft, Yang Yang [6] established a landing gear retract and release health assessment control system based on Functional hazard analysis (FHA), Failure Mode and Effects Analysis (FMEA), and Fault tree analysis (FTA). To construct a set of health management techniques for aviation landing gear R/E control system, a diagnostic prediction and health management (DPHM) system for landing gear R/E control system was established based on these analytical approaches.
In a number of studies, models have been used to assess the health of aircraft hydraulic systems and associated components. He Lin et al. [7] used the LMS Imagine.Lab AMESim simulation platform to create a simulation model of the landing gear retraction/extension hydraulic system and provided ideas for the health assessment of the hydraulic landing gear retraction/extension system of a new generation of aircraft by analyzing the impact of component performance changes on the system’s working performance. Zhang Ming et al. [8] designed a dual actuator for a large civil aircraft turning system by analyzing the control principle of the landing gear front wheel turning electro-hydraulic servo system and evaluating the performance of the designed dual actuator mechanism by building a test bench to test the designed product and verifying that the system’s performance meets the design requirements. Huang Chen et al. [9] proposed an improved controlled variable speed retraction/extension actuator design that uses inertial forces to reduce peak loads and shocks on the actuator cartridge during landing gear retraction/extension.
In addition to the model-based analysis methods commonly used by researchers, both Boeing and Airbus [10,11] have used the LMS Imagine.Lab AMESim simulation platform for preliminary work in the aircraft system design and development phase, demonstrating its excellent performance for electromechanical and hydraulic systems. Tu Yi et al. [12] employed the fluid system modeling program Flowmaster to create a simulation model of the hydraulic connection of the aircraft landing gear retraction/extension control system and conducted a simulation analysis of the landing gear retract-up process under normal flight circumstances.
In the health assessment of other aircraft systems, Chen Jie [13,14] provided a data-driven health assessment approach for the flight control system based on fuzzy integrated evaluation and rough set reduction, with some case computations of flight data to demonstrate the method’s performance. In addition, he proposed a health monitoring method of aircraft landing gear R/E System Based on the improved fuzzy c-means algorithm. The essence of this method is a data-driven cluster analysis method, and its implementation process is in the whole life process of the object, so as to highlight the significance of health monitoring. The focus of this study is the health assessment process from qualitative to quantitative. Tang Liang [15] and colleagues created an improved aircraft failure emergency management system that can be linked into the IVHM system architecture to provide real-time airborne health status assessment and automated emergency management. Ray Bond et al. [16] offered two case studies of alternative structural health monitoring technologies intended to decrease the risk of aircraft maintenance as well as the expense of frequent, lengthy inspections. In order to compensate for the absence of deterministic crack expansion analysis, Youngjun Lee et al. [17] designed and assessed a random crack expansion analysis approach. Robert G. Batson [18] and others used the Monte Carlo simulation approach to quantify the uncertainty in possible application benefits and aircraft assessment. For the issue of high failure rate and high danger of failure of hydraulic pump source systems in civil aircraft, Baohui Jia et al. [19] developed a solution approach combining hierarchical analysis (AHP) and fuzzy comprehensive assessment algorithm. Syed Haider [20] added to the debate over the efficacy and feasibility of model-based systems engineering methodologies for performance verification of essential aircraft systems like flight control systems. Based on the material characteristics of the construction system, some scholars [21] have proposed a fuzzy set method to describe the uncertainty and randomness of the parameters characterizing fatigue damage and final fatigue durability.
Worldwide experts and academics have largely focused on two types of health assessments for civil aircraft landing gear R/E hydraulic systems: model-based and data-based. Although the two kinds of analysis and research approaches have distinct foci, in the real-world airline application scenario, both ignore the challenge of fault detection and maintenance and instead concentrate on fault simulation or basic data analysis.
The purpose of this study is to determine the health of the hydraulic system that retracts and extends the landing gear. For detecting and maintaining difficulties that must be considered in the daily operations of airlines, an improved risk coefficient is proposed based on the traditional risk coefficient [22]. The analysis process is as follows:
(1)
According to the mathematical fuzzy theory, four evaluation indexes for improving the risk coefficient are obtained, which are the probability of failure (P), the severity of failure impact (S), the difficulty of detection (D), and the difficulty of maintenance (M).
(2)
The fault simulation data and expert evaluation data will be considered and input into the improved FCE model for data processing.
(3)
Propose the grade range of system health value and corresponding measures.

2. Basic Principle of Landing Gear Hydraulic R/E System

Landing gear R/E hydraulic systems include the nose and the main landing gear R/E hydraulic system (hereinafter referred to as NLG and MLG). Among the key components of the system are the landing gear transfer valve, landing gear selection valve, frangible fitting, hydraulic fuse, transfer cylinder, uplock and Downlock actuator, retraction/extension actuator, and many accessories [23]. The schematic diagram of the landing gear R/E hydraulic system is shown in Figure 1.
The tricycle type distribution configuration is used for the landing gear of contemporary civil airplanes. The concept of landing gear retraction/extension, for example, is the same on Boeing series aircraft. The logic, on the other hand, is the polar opposite, as is the component activation sequence. The main and nose landing gear actuation circuits are separated. All three landing gears work together to lift the aircraft off the ground and land it safely. The left and right primary landing gears are fully symmetrical in their retraction/extension.
Figure 2 displays the logic for extending the landing gear actuation sequence. Hydraulic fluid enters the pressure transmission cycle first, causing a delay so that the landing gear locking mechanism can be released first. After that, landing gear actuation may be engaged.

3. Improved Risk Coefficient

The landing gear R/E system has a variety of failure scenarios, and the risk coefficient may be used to assess the danger level of a given system. The traditional risk priority number ( R P N ) refers to the product of the probability ( P ), severity ( S ), and detection difficulty ( D ) of the failure, R P N can be expressed as:
R P N = P × S × D
In aviation maintenance, the maintenance difficulty is divided into route maintenance, workshop maintenance, and base maintenance. Thus, the maintenance difficulty must be considered. Introduce the evaluation index of maintenance difficulty ( M ). Therefore, the improved risk coefficient is defined as:
R P N - M = P × S × D × M
Utilizing the four evaluation indices described above, one can determine the danger degree of the fault model of the landing gear R/E system. Comparatively, the traditional FCE model obtains index measurements entirely through experts’ questionnaires. To reduce human subjective factors as much as possible, the improved FCE model obtains index measurements from statistical data, fault simulations, and professional maintenance data. The acquisition methods of the four indicators are as follows:
(1)
The probability of failure (P) is obtained from general maintenance statistics.
(2)
The severity (S) is obtained by the deviation degree of the fault mode in the fault simulation from the normal working condition.
(3)
The detection difficulty (D) is obtained through the maintenance manual and other professional materials of the aircraft manufacturing company.
(4)
The maintenance difficulty (M) acquisition method is the same as (3).

4. FCE Model for Landing Gear Hydraulic R/E System

There are several aspects that influence the system’s failure mode, the majority of which are qualitative rather than quantitative factors with extreme fuzziness, necessitating quantitative investigation utilizing appropriate fuzzy mathematics methodologies. Fuzzy comprehensive evaluation is a method of solving certain difficult-to-quantify problems. For a variety of uncertain issues, FCE can convert qualitative analyses into quantitative analyses [24,25,26,27]. It is based on the membership theory in fuzzy mathematics.
Five phases are commonly used to examine the influencing elements of the system’s fault model: identifying the comment set, determining the factor set, calculating the weight of all factors, finding the fuzzy comprehensive discrimination matrix, comprehensive assessment, and so on. The procedures used to create this scenario are detailed below.

4.1. Determine the System Comment Set

In order to facilitate the subsequent health calculation, according to the R P N M coefficient, among all the designed grades, grade I is the most problematic grade, and grade V is the most desirable grade.
FMEA and reliability research theories commonly categorize failures into five stages from A to E [28]. The likelihood of failure occurrence assessment level is so created, with the evaluation feature being the percentage of the probability of failure occurrence in the entire chance of failure, rather than the probability of failure occurrence itself. The assessment degree of failure severity is developed, according to the definition of weapon and equipment severity categories [29]. From the improvement risk factor, the design failure detection difficulty evaluation level and the failure repair difficulty evaluation level are derived. As shown in Table 1, the overall situation is rather complex.

4.2. Determining the Set of Influencing Factors

The index factor Formula (3), which affects the overall functioning of the landing gear hydraulic R/E system, is established according to the R P N M coefficient (2). They correspond to P , S , D , and M , respectively.
U = { U 1 , U 2 , U 3 , U 4 }
Based on statistics and a review of literatures [30,31,32,33,34] and some fault report data from The Aviation Herald (www.avherald.com (accessed on 31 December 2019)) for a specific year, Table 2 displays the most frequently occurring faults affecting the hydraulic retraction/extension of the landing gear. Defect frequency and component failure rate for the same kind of fault may be used to characterize the probability of occurring.
The number of times this sort of failure occurs in a particular period is called failure frequency. In reliability theory, failure rate λ refers to the chance of failure per unit time after a period of time when a component has not failed. It is characterized as follows. Statistics are used to determine the failure frequency, and theoretical analysis is used to determine λ . There is no direct connection between frequency and λ , that is, one of the two will not directly affect the other. Frequency refers to the statistical results of a certain period of time. For example, the statistical results of last year and this year are often different. For the same part, the failure rate λ does not change with time.
According to the statistical Table 2, landing gear extension and retraction are affected by a wide variety of factors. Because hydraulic oil makes up the bulk of the hydraulic system, a malfunction affecting the working medium refers to a failure caused directly or indirectly by hydraulic oil. The performance degradation of functional components is the cause of a defect affecting working parts. As a result, the faults are separated into two groups, and a fault mode fishbone diagram is constructed, as illustrated in Figure 3. The top half of the fishbone depicts a hydraulic oil defect, whereas the bottom section denotes a component problem. Fault types are defined as a set of fault type index factors in a fishbone diagram, as in Equation (4), and their representative meaning is shown in Table 3.
u = { u 1 , u 2 , u 3 , , u 10 }
As the failure frequency and failure rate of components can be used to describe the probability of failure, the description of the possibility of failure is fuzzy.

4.3. Determining the Severity of the Failure Modes

4.3.1. Simulation Model of Landing Gear Hydraulic R/E System

The comprehensive simulation model of the landing gear hydraulic R/E system is constructed, as illustrated in Figure 4, using the LMS Imagine.Lab AMESim platform and fundamental architecture of Figure 1. As the left and right main landing gear components are identical, the super component function is used to create a more compact simulation diagram. The signal library simulates the transfer cylinder’s pressure storage function as well as the proximity switch electronics unit’s (PESU) control function.
In civil aircraft, the hydraulic A and B systems are mainly supplied with engine driven pump (EDP) and electric motor-driven pump (EMDP). Landing gear selector valve is a three-position, four-way solenoid valve. From the hydraulic component library, the landing gear selector valve selected a three-position, four-way solenoid valve. The P port is closed, while the A, B, and T ports are all linked, giving the neutral characteristic. Pumps do not unload and pistons do not unload, so pistons float and may move under external pressure.
Transfer cylinders, which are hydraulic delay mechanisms, control the operation sequence. The pressure transmission cylinder and the delayed actuator are in a parallel connection. In the delayed actuator’s oil input pipeline, there is a throttle valve. The pressure transmission cylinder is connected in parallel with the retractable actuator in the landing gear’s retractable and re-tractable system, delaying the retractable actuator’s operation and assuring the locking action. Be sure that the locking action of the cylinder is at the front, and that the retracting/extending actuator barrel is at the back. Transfer cylinders are straightforward to build, and they can be reduced to an actuator with a diameter of 0 mm on both sides of the piston rod.
Accessories like hydraulic fuses and frangible fittings are not included in the simulation since they only operate under specific circumstances. In the landing gear hydraulic R/E system’s fundamental function realization simulation, the focus is on whether each component’s action sequence is logical. Because the structural problems are not in the focus of this research, the deformation of components is not considered in the subsequent simulation. The external force problems including fatigue and deformation are simplified, that is, a mass block is connected at the rod end of the hydraulic cylinder, and a certain force is applied to the mass block for simulation.
The hydraulic actuation system operates according to the basic sequence of Figure 2. In the extending part of the main landing gear, the Uplock actuator retracts to unlock the Uplock mechanism. Under the delayed action of transfer cylinder, the main landing gear actuator acts later than the Uplock actuator. After the main landing gear is completely extended, the Downlock actuator retracts to lock the Downlock mechanism and the main landing gear extension action is completed. The principle of the nose landing gear extending process is the same, except that there is only one lock actuator in this part. Therefore, in the extension process, the lock actuator extends first and then retracts, so that the lock mechanism can be unlocked first and then locked. Figure 5 depicts the total simulation model’s simulation results. Figure 5a shows that the system preparation time ranges from 0 to 2 s, the uplock actuator retraction time is 2 s, the main landing gear lowering action time is 7 s, and the Downlock actuator retraction time is 4 s. The system preparation time is 0 to 2 s, and the nose landing gear action time is 7 s, as shown in Figure 5b. In the extension and retraction logic, the lock actuator fulfills the logic of first extending, then retracting, and ultimately extending and locking.
Figure 5 shows that the model follows the logic of each element of the landing gear’s action sequence and can complete the operation in 15 s, demonstrating that the simulation model fits the standards for assessing the fault simulation.
It should be noted that in the subsequent simulation analysis, it is considered that it is ideal at the system level and component level before fault injection [35], that is, the situation there is no potential for faults due to manufacturing, transportation, storage, and other processes.

4.3.2. Fault Simulation and Severity Assessment

Traditional severity evaluation is too reliant on expert determinants. Various failure modes of the set of fault type index factors will be simulated and simulated to increase the accuracy and confidence of the final findings in order to reduce the effect of this subjective human element on the final evaluation results.
In the field of fault diagnosis [36,37], time-domain and frequency-domain signals are often used for analysis and signal transformation. In this study, time-domain characteristics are used to measure the working state deviation. Under the assumption of no catastrophic failure, the general failure mode will vary as the severity of the failure increases, the duration of landing gear extension will change, and the actuator’s working speed will become more unstable. The degree of variation between these two indications is a key metric for determining the severity of the failure mode.
Multiple hydraulic cylinders are used as actuators in the hydraulic system. As an example, consider the landing gear extension. The succeeding uplock actuator is the evaluation item for assessing different failure mechanisms since the uplock actuator functions first in the sections of the landing gear.
Define the action time change value as γ :
γ = | T T 0 |
T is the operating time after being affected by the fault, and T 0 is the operating time without fault.
Define the percentage of actuation speed fluctuation as η :
η = ( V V 0 V 0 ) × 100 %
V is the operating speed that the fault affects at a specific moment, and V 0 is the operating speed that the fault does not affect at the exact moment. The time domain signal acquisition frequency is 1000 Hz.
In all simulated faults, working condition i is an absolutely ideal working condition, but such a situation often does not exist. Working condition iv is an extremely bad working condition, which is more conducive to data comparison. Because of the nonlinear characteristics of hydraulic system, working conditions ii and iii can be regarded as general fault conditions. In the following fault simulation, the final system can complete the work, but the completion degree is different.
At present, aviation hydraulic oil is generally divided into petroleum-based hydraulic oil and synthetic aviation hydraulic oil. In the hydraulic oil characteristics of the model, synthetic aviation hydraulic oil is used, and all aspects are more ideal. Its purpose is to change the fault characteristics of hydraulic oil only through fault simulation, not because it has defects.
(1) Oil contains wear particles.
Because of the mutual friction of the reciprocating motion of different mechanical components in the hydraulic system, various metal abrasive particles are formed. The size and concentration of abrasive particles grow as the wear degree of mechanical components rises, adversely influencing the system’s pressure and flow and potentially leading to mechanical failure [38].
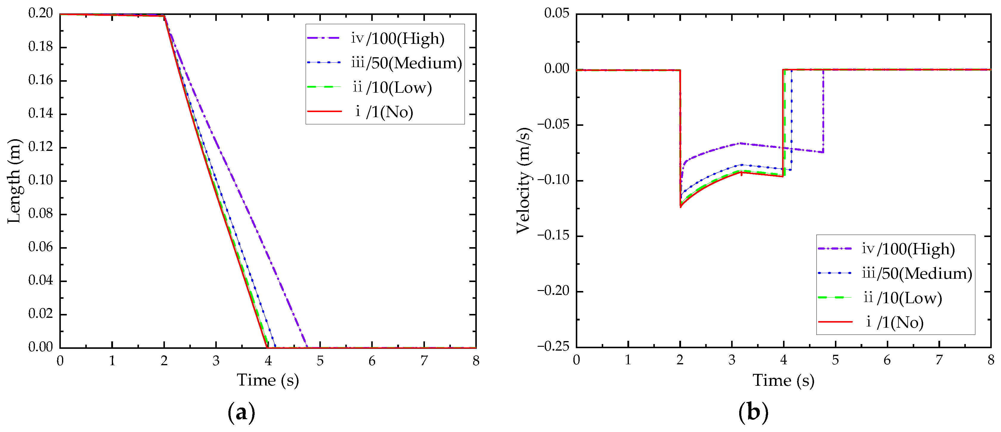
In this fault simulation, the filter was removed, and different number of equal inner diameter throttle valves were connected in series to simulate a fault with a greater concentration of abrasive particles multiplied by the number of throttle valves, assuming uniform distribution of the abrasive particles. The inner diameter of the throttle valve is 5 mm. When there is only one throttle valve, the hydraulic oil will only produce one pressure drop. With the increase of the number of throttle valves, the number of pressure drops will also increase, which will eventually affect the actuation of the actuator. Table 4 shows the parameters for establishing the number of throttles for fault setting. Figure 6 shows the results of the simulation after it has been conducted.
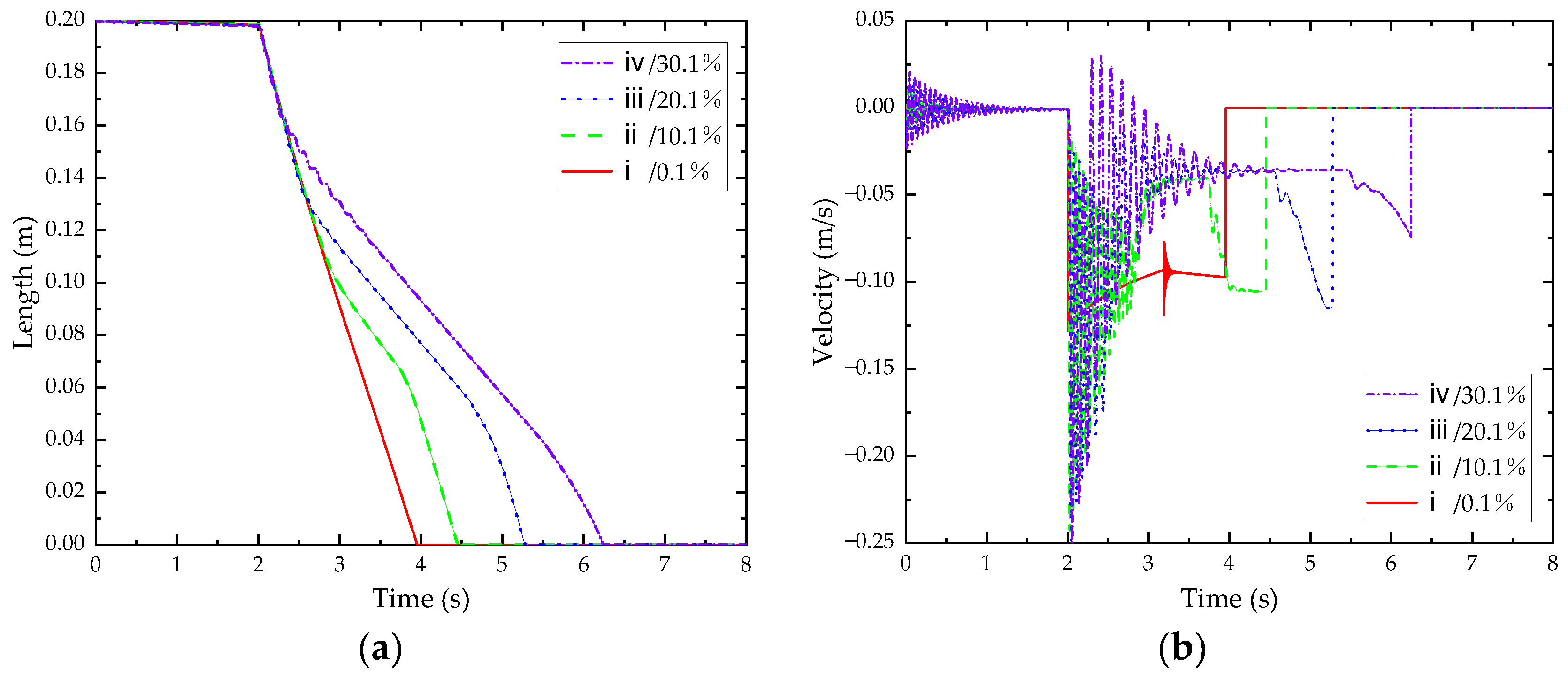
(2) Oil mixed with air.
The volume percentage of the air contained in the hydraulic oil is called the air content. Under the specified conditions, a part of the air dissolved in the aircraft’s hydraulic oil does not affect the system. However, as the air content increases, it will significantly impact the system work [39].
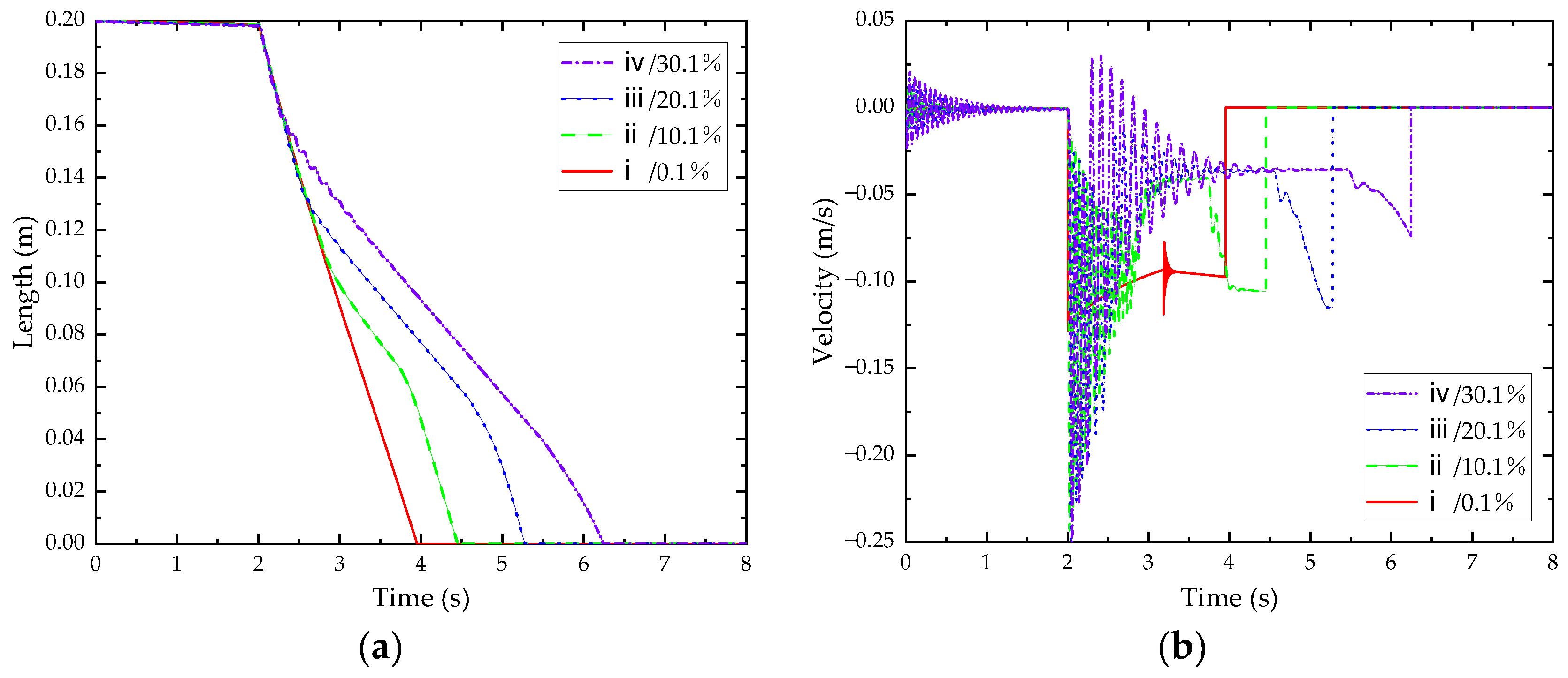
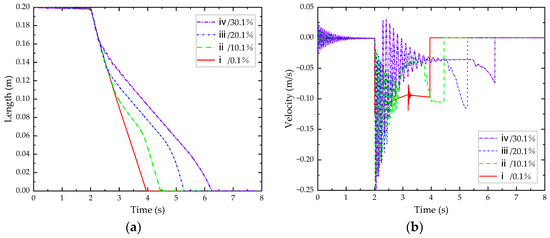
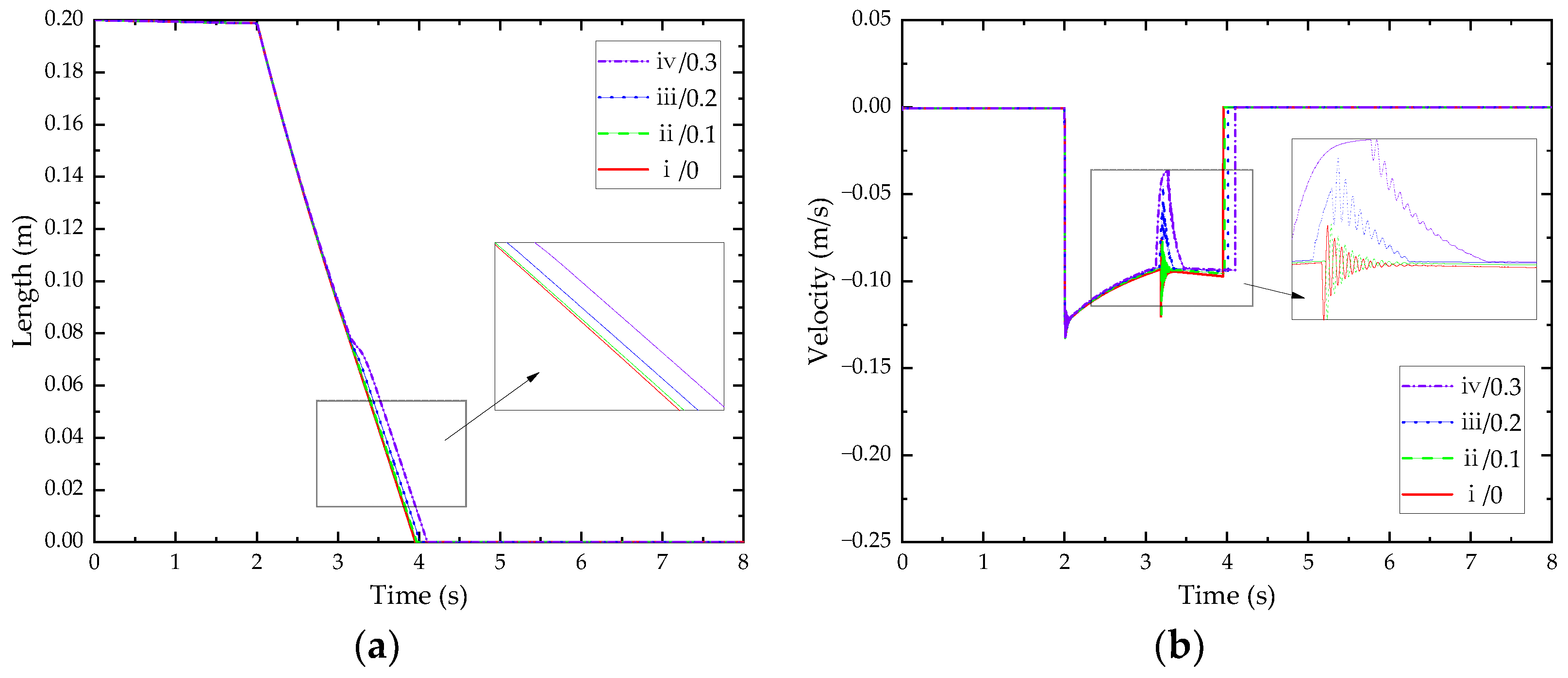
To investigate the impact of mixed air on the landing gear retraction mechanism, varied air contents in the hydraulic oil were established in the simulation. Table 5 shows the parameter settings for various operating situations, with an incremental air content gradient of 10%. Figure 7 shows the outcomes of the simulation.
(3) Abnormal oil temperature.
It is essential to note that in a typical hydraulic system using hydraulic oil as a working medium, the temperature of the oil will affect the characteristics of the oil flow. As the temperature of hydraulic oil rises, its viscosity decreases, which subsequently affects the system’s performance.
The seals of the hydraulic system are mostly synthetic resin and synthetic rubber, which will accelerate their aging deformation in the working environment of high-temperature hydraulic oil [40], which can also be regarded as a unique “fatigue” attribute of the hydraulic system. There is a thermohydraulic attribute module in AMESim, which can better analyze it, but this is a very complex analysis method which will not be deeply studied in the simulation.
By changing the hydraulic oil temperature, the simulation investigates the impact of temperature on the landing gear retraction mechanism. Table 6 shows the parameter settings for various operating situations, and Figure 8 shows the results after conducting the simulation.
It is true that the heat exchanger in the hydraulic system raises the temperature of the oil somewhat, but it does not have much of an impact. As a result of the heat exchanger, the hydraulic oil in the tank may transfer its heat to the fuel in the tank.
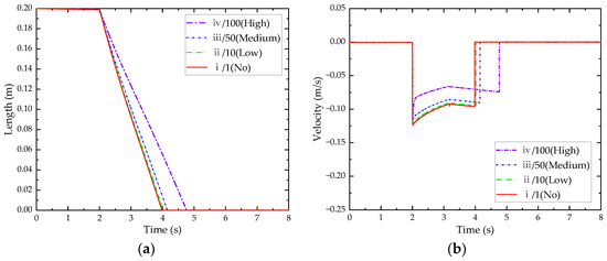
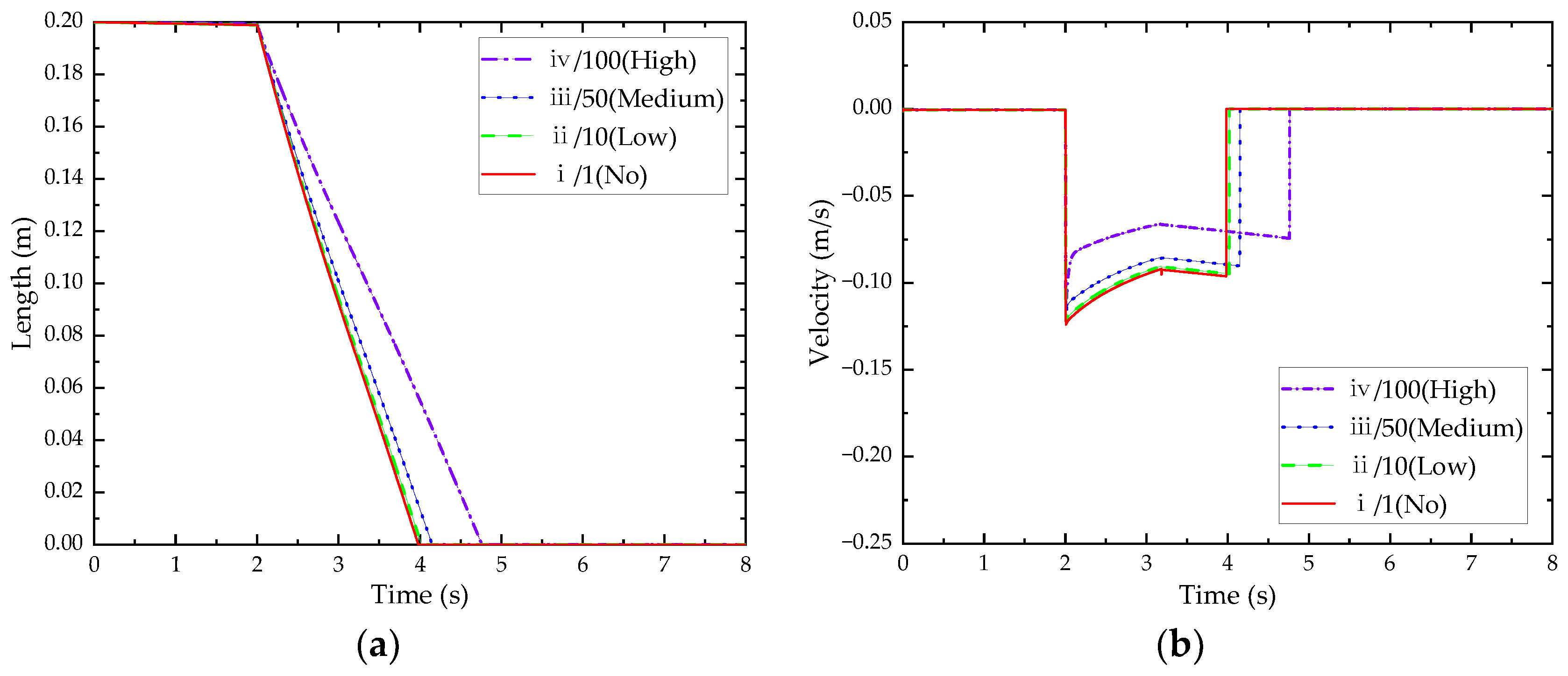
(4) Oil filter blocked.
There are three kinds of oil filters: suction line oil filters, return line oil filters, and pressure line oil filters, with the pressure line oil filter having the best filtering accuracy. The pressure line oil filter protects downstream hydraulic components while also filtering contaminants, which is critical.
For fault simulation, the simulation specifies the diameter of the restrictor valve for pressure oil reaching the actuator as well as the number of parallel orifices of the oil filter. Table 7 shows the simulation parameters for the operating circumstances. Figure 9 presents the results after running.
While the actuator’s retraction time and stability might be affected to a certain extent as the amount of blockage grows, it will not cause serious problems if it is not completely blocked, as shown in Figure 9. A clogged filter element cannot be cleaned or reused and must be replaced at the appropriate time during operation.
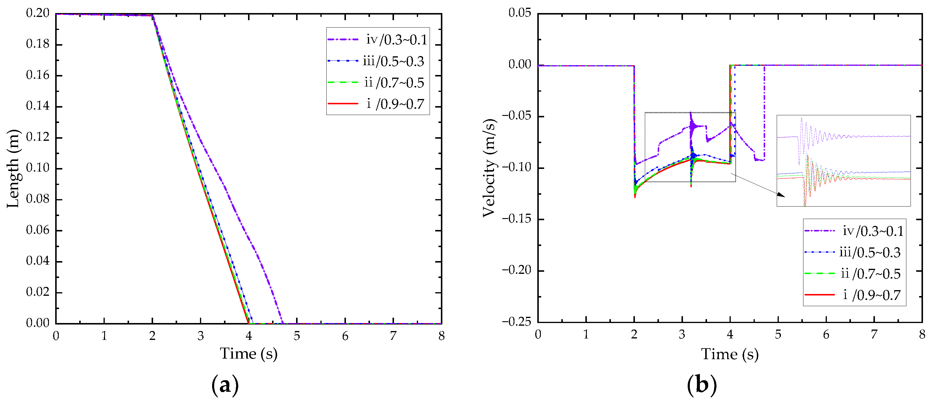
(5) Reversing valve spool stuck.
The major cause of the valve core sticking is damping viscosity; that is, tiny particles stuck between the valve core and the valve body due to different causes, increasing the friction between the valve core and the valve body as it moves.
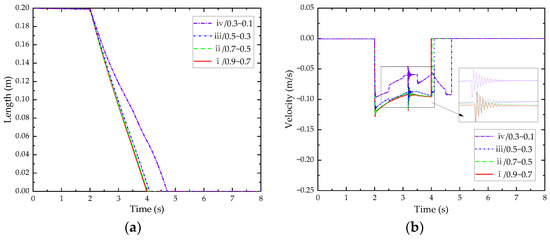
For fault simulation during the simulation, the opening of the adjustable flow valve is modified. Because the friction will not be consistent, the opening is separated into four working conditions and varies at random within a certain range. Table 8 lists the adjustment settings, with 0 being the lowest and 1 representing the maximum opening. Figure 10 illustrates the simulation findings.
(6, 7) Actuator external leakage and internal leakage.
The actuator is the airplane hydraulic system’s main executive component. During the reciprocating action, mechanical wear will unavoidably occur, resulting in gaps. Leakage is the phenomena of hydraulic oil pouring out of the gap. Pressure and flow will be lost if there is a leak. Internal leakage and external leakage are two types of actuator leakage. Figure 11a [41] illustrates the principle.
Through connecting the throttle valve to the hydraulic circuit, the fault can be displayed in the simulation platform. The quantity of leaking is controlled by adjusting the diameter of the throttle valve, as illustrated in Figure 11b. Table 9 shows the diameter of the throttle valve in the leakage simulation, and Figure 12 shows the simulation results.
(8) Pipe joint leakage.
Pipe joints are the elements that link the pipeline to the pipeline in an aviation hydraulic system, and both metal and flexible pipe joints face the issue of leaking easily. It is difficult to examine and identify the leakage point by point in the pipeline due to the change in leaking location.
Take the pipeline’s middle position as an example; the simulation leak point is placed here, and the adjacent pipeline sub-model is appropriately adjusted; the simulation principle is shown in Figure 13, the simulation parameters adjustable throttle opening is shown in Table 10, and the simulation results are shown in Figure 14.
(9) Pipeline wear.
Due to the general short installation spacing of hydraulic pipes in airplanes, contact may occur due to vibration and noise in the hydraulic system, and the pipelines rub against one other, causing wear. The space between parallel pipes must be more than 100 mm to prevent such contact, vibration, and wear between pipes. Nonetheless, harsh hydraulic pipe and hydraulic hose wear in airplane landing gear cabins happens from time to time. Severe wear may cause pipe break due to the high pressure of the aircraft hydraulic system.
(10) Oil intermingle in systems.
In hydraulic A and B systems, hydraulic oil is usually physically segregated. Oil intermingle in systems refers to the fact that oil is normally delivered by hydraulic system A during normal landing gear retraction/extension. However, owing to the operation of the landing gear switching valve, the oil will be delivered by hydraulic system B under specific situations. The A hydraulic system will still supply oil during the next operation of retracting and extending the landing gear, but hydraulic oil from the B hydraulic system in the pipeline will enter the A hydraulic system, resulting in a significant difference in oil volume between the A and B hydraulic systems. Oil intermingling in systems failure does not usually have a significant effect, but it might influence fuel tank pressurization and raise the cost of ground maintenance time.
The deviation degree of fault effect may be calculated using Equations (5) and (6), as shown in Table 11, where u 9 and u 10 are only subjectively appraised since they do not include flow pressure loss and cannot be studied using simple simulation. Due to a major internal leakage, the actuator cylinder will display irregular movement in 1~2 s, therefore the fuzzy level is deemed to be suitably raised.
The values in Table 11 represent the final delay time of the actuation result. The value γ max can measure whether the landing gear can be extended and put in place on time. η max indicates the fluctuation level of the actuating speed. The value η max can measure whether the landing gear is lowered smoothly.

4.4. Evaluation of Detection Difficulty

Only a few flaws in the aircraft hydraulic system may be detected immediately with the naked eye, and the majority of errors need the use of specific detection methods and technologies. As a result, in order to measure the total degree of system deterioration, it is important to assess the fault kinds’ detection difficulties.
The aircraft’s maintenance manual contains specific and detailed instructions on inspection and maintenance procedures. According to the inspection methods for 10 kinds of problems in the Boeing 737-600/700/800/900 aircraft maintenance handbook [42], as stated in Supplementary Table S1, necessary statistics and analysis were done.
In Supplementary Table S1, the number of reference procedures reflects the operator’s level of experience, the type of tool and equipment consumables reflects the operational process’ complexity, and the number of preparation and implementation procedures reflects the operational process’ complexity. Sections not included in Supplementary Table S1 do not signify that no action is required and may be found in other maintenance check documents, such as maintenance checklists.

4.5. Maintenance Difficulty Assessment

It is crucial to strictly adhere to a maintenance manual when maintaining an aircraft. Line maintenance, shop maintenance, and base maintenance are the three general maintenance levels, and various kinds of maintenance need varying degrees of approved aviation maintenance engineers to operate. The expense of maintaining an aircraft during downtime will raise the airline’s operational costs, hence the complexity of maintenance must be examined.
In the aircraft’s maintenance manual, instructions are given on how to carry out regular inspections and maintenance on the aircraft. The application provides necessary data and analysis based on Boeing’s 737-600/700/800/900 aircraft maintenance manuals [42] and service maintenance for 10 categories of problems. Taking the A hydraulic system as an example, it entails the operation of the hydraulic source system.
Each parameter in Supplementary Table S2 has the same meaning as in Supplementary Table S1. The components that are not included do not always suggest that no operation is required; they might be found in other maintenance papers like maintenance checklists. Only the complexity of operations that must be replaced is indicated here for repair procedures in which components must be replaced, and it is determined by the degree of deterioration of the parts and fluids.

4.6. Determine Membership Degree

Calculating the affiliation degree and, as a result, calculating the judgment matrix conveys the ambiguous link between the factor set and the evaluation set. Since it is difficult to process all assessment data with equal standards due to the varying magnitudes of the indices, and because all evaluation indices are negative, the relative deterioration degree is employed to define each indicator and calculate the affiliation degree. The evaluation index system’s data is translated into a relative degradation degree in the interval [ 0 , 1 ] , the smaller the better the relative deterioration function:
d ( y ) = { 0 y y min y y min y max y min y min y y max 1 y > y max
where y min is the minimum value of the considered index and y max is the maximum value. Different reference values are given the same weight in the actual computation, as indicated in Supplementary Table S3. It may be modified if there is adequate proof that a reference amount has a greater weight.
The rising ridge-shaped distribution affiliation function is employed in the situation of fuzzy level I:
Level   I : A ( d ) = { 0 d 0.90 1 2 + 1 2 sin [ π 0.09 ( d 0.945 ) ] 0.90 < d 0.99 1 d > 0.99
The conventional ridge-shaped distribution affiliation function is employed for the fuzzy levels II, III, IV:
Level   II : A ( d ) = { 0   d < 0.61   o r   d > 0.99 1 2 + 1 2 sin [ π 0.19 ( d 0.705 ) ]   0.61 d 0.80 1   0.80 d < 0.90 1 2 1 2 sin [ π 0.09 ( d 0.945 ) ]   0 . 90 d 0.99
Level   III : A ( d ) = { 0 d < 0.20   o r   d > 0.80 1 2 + 1 2 sin [ π 0.19 ( d 0.295 ) ] 0.20 d 0.39 1 0.39 d < 0.61 1 2 1 2 sin [ π 0.19 ( d 0.705 ) ] 0.61 d 0.80
Level   IV : A ( d ) = { 0   d < 0.01   o r   d > 0.39 1 2 + 1 2 sin [ π 0.09 ( d 0.055 ) ]   0.01 < d 0.10 1   0.10 d < 0.20 1 2 1 2 sin [ π 0.19 ( d 0.295 ) ]   0.20 d < 0.39
The falling ridge-shaped distribution affiliation function is used for fuzzy level V:
Level   V : A ( d ) = { 1 d 0.01 1 2 1 2 sin [ π 0.09 ( d 0.055 ) ] 0.01 < d 0.10 0 d > 0.10
The above ridge membership function image is shown in Figure 15. Because the probability of absolute ideal and extremely bad conditions is low, the basic construction principle of the function is wide in the middle and narrow on both sides.
Expert assessment is utilized to determine the degree of connection of each evaluation indicator, using a simple fuzzy statistical approach for indicators for which there are no data sources accessible. The principle of fuzzy statistics [32,33] is as follows: let X be the fuzzy evaluation set in the universe of discourse O , and any fault type u i can correspond to the fuzzy evaluation set X , which respectively satisfies this fuzzy evaluation:
X P = { P I , P II , P III , P IV , P V }
X S = { S I , S II , S III , S IV , S V }
X D = { D I , D II , D III , D IV , D V }
X M = { M I , M II , M III , M IV , M V }
Construct a set S with variable boundaries and can move randomly in the domain O . Set S is a positive evaluation obtained through frequency statistics, fault simulation, and data evaluation. Set S may or may not cover a subset of the fuzzy evaluation set X .
Taking X P as an example, assuming that n times of fuzzy statistical experiments have been carried out, there are m times set S covering a subset P i in the fuzzy evaluation set X , then the membership frequency A of P i to set S :
A = m n , m S
With the increase of fuzzy statistical tests n , the membership frequency A will show stability. At this time, the stable value of the membership frequency is taken as the membership degree:
A ( P i ) = lim n m n , m S
The rest X S , X D , X M are the same.

4.7. Entropy Weight Method to Determine Factor Weight

First, all evaluation values need to be standardized, where each u i corresponds to P , S , D , and M with a score value of x i j , j = P , S , D , M .
x = { x 1 j , x 2 j , x 3 j , , x 10 j }
Because the analysis involving faults are all negative indicators, the normalization formula of negative indicators is adopted, which is:
x i j = max { x 1 j , , x 10 j } x i j max { x 1 j , , x 10 j } min { x 1 j , , x 10 j }
Calculate the proportion of the sample value under each indicator to the indicator:
p i j = x i j i = 1 10 x i j
where i = 1 , , 10 , j = P , S , D , M . Then, calculate the entropy value of each indicator:
e j = k i = 1 10 p i j ln p i j
Among them, k is a constant, when p i j are equal, k = 1 / ln 10 = 0.434 .
Calculate the index deviation degree, which is the information entropy redundancy:
d j = 1 e j
Then calculate the weight of each indicator:
w j = d j d P + d S + d D + d M
Finally, calculate the comprehensive score of the sample:
s i = j = P S , D , M w j X i j
i = 1 , , 10 ; j = P , S , D , M .
Using the above method, the weight vectors w 1 and w 2 of the first-level index and the second-level index are obtained, respectively.

4.8. Fuzzy Judgment

On the acquisition indications described above, first-level and second-level fuzzy assessments, are done, respectively. The first-level fuzzy judgment is performed by w 1 :
{ B P = w 1 × R P B S = w 1 × R S B D = w 1 × R D B M = w 1 × R M
The first-level fuzzy judgment may be used to get the second-level fuzzy judgment:
R = [ B P B S B D B M ]
B = w 2 × R

4.9. System Failure Health Assessment

Define the health of the landing gear hydraulic R/E system as H D (Health Degree).
H D = B × V T
The value range of H D is [ 1.0000 , 5.0000 ] . Among them, V = [ 1 , 2 , 3 , 4 , 5 ] .
By using the H D , the hydraulic retraction/extension of the landing gear can be assessed, and appropriate remedies can be recommended. The intervals are separated in such a manner that the intervals on both sides are tiny, while the intervals in the central area are huge, as indicated in Table 12. The purpose of this is to try to match that there are fewer cases of high or low health and more cases of moderate health.

5. Calculation Example

Assume you are evaluating the health of a fleet of aircraft’s landing gear retraction hydraulic system, the evaluated item follows the above four evaluation principles, and the evaluation-related index parameters are listed in Supplementary Table S3. The proposed relative deterioration index d can be obtained from Table S3, and Equation (30) can be obtained by substituting d into the membership function.
Fuzzy statistics are used as an auxiliary to the affiliation function in this study. To calculate the affiliation degree of each fuzzy level, the data is rounded to four decimal places, and the fuzzy evaluation matrix is calculated as R P , R S , R D , R M . The histogram reflecting the fuzzy level is shown in Figure S1.
R P = [ 0 0 0 1 0 0 0 0 0.2500 0.7500 0 0 1 0 0 0 0 1 0 0 0 0 0.0271 0.9729 0 0 0 0 1 0 0 0 0 1 0 0 0.7009 0.2991 0 0 0 0 1 0 0 0 1 0 0 0 ] R S = [ 0 0 0.2992 0.7008 0 1 0 0 0 0 0 0 0 1 0 0 0 1 0 0 0 0.0603 0.9397 0 0 0 0 0 0.0302 0.9698 0 0 0 0.8830 0.1170 0 0.9620 0.0380 0 0 0 0 0.1816 0.7005 0.1179 0 0 0.1093 0.7317 0.1590 ]
R D = [ 0 0 0.0096 0.9904 0 0 0 0.9157 0.0843 0 0 0 0.7735 0.2265 0 0 0 0 0 1 0 0.8386 0.1614 0 0 0 0 0.0603 0.9397 0 0 0.0068 0.9932 0 0 0 0 0.0603 0.9397 0 0 0 0.1054 0.8946 0 0 0 0 0.1170 0.8830 ] R M = [ 0.0843 0.9157 0 0 0 0 0 0 0.9619 0.0381 0 0 1 0 0 0 0 0.9932 0.0068 0 0 0 1 0 0 0 1 0 0 0 0 0.0068 0.9932 0 0 0 0 0.0271 0.9729 0 0 0 0 0 1 0 0 0 1 0 ]
The weight vectors w 1 and w 2 are obtained by the entropy weight method:
w 1 = ( 0.075 , 0.075 , 0.098 , 0.152 , 0.121 , 0.075 , 0.169 , 0.075 , 0.086 , 0.075 ) w 2 = ( 0.281 , 0.180 , 0.212 , 0.327 )
The order of the data in w 1 is from u 1 to u 10 , and the order of the data in w 2 is P , S , D , M .
Make a first-level fuzzy judgment on w 1 :
B P = w 1 × R P = ( 0.00000 , 0.12757 , 0.36171 , 0.45547 , 0.05625 ) B S = w 1 × R S = ( 0.07500 , 0.07945 , 0.31481 , 0.41717 , 0.11457 ) B D = w 1 × R D = ( 0.00000 , 0.10262 , 0.35069 , 0.32947 , 0.21823 ) B M = w 1 × R M = ( 0.00632 , 0.14483 , 0.53985 , 0.22114 , 0.08886 )
From the first-level fuzzy judgment, the second-level fuzzy judgment R can be obtained:
R = [ B P B S B D B M ] = [ 0 0.12757 0.36171 0.45547 0.05625 0.07500 0.07945 0.31481 0.41717 0.11457 0 0.10262 0.35069 0.32947 0.21823 0.00632 0.14483 0.53985 0.22114 0.08886 ]
B = w 2 × R = ( 0.01557 , 0.11926 , 0.40918 , 0.34524 , 0.11175 )
H D = B × V T = 3.42134
Among them V = [ 1 , 2 , 3 , 4 , 5 ] , that is grades I, II, III, IV, V.
As a result, the fleet’s total landing gear retraction system is 3.42134. The health status may be determined from Table 12 as C. As a result, the fleet’s general state of health is considerable. Focus on route maintenance and troubleshooting, regularly replace faulty and aging parts, and monitor key parts and areas.

6. Conclusions

(1)
The conventional risk coefficient RPN, which measures the chance of failure, the severity of failure, the difficulty of failure detection, and the complexity of repair, is replaced with an enhanced risk coefficient RPNM based on airline maintenance and operating norms.
(2)
A fuzzy comprehensive assessment model of the landing gear retraction system is developed based on increasing the risk coefficient RPNM to evaluate the health of the landing gear hydraulic R/E system and give suitable maintenance recommendations for various health ranges.
(3)
To develop the FCE model, the physical parameters of the retractable hydraulic system of the landing gear are thoroughly analyzed. During the investigation, it was discovered that hydraulic oil is the working medium of the aircraft hydraulic system, and its quality directly affects the hydraulic system’s performance. Hydraulic oil quality is directly or indirectly responsible for more than half of all hydraulic failures, hence maintaining it is critical. It is necessary to strictly control the quality of hydraulic oil, and regularly detect oil products and replace hydraulic oil.
(4)
By using fault simulations of ten common defects, the FCE model was proposed. The mixing of hydraulic oil and air, as well as valve sticking, has a significant impact, while other problems have varying degrees of impact. The actual failure mode is often multi-mode concurrent generation, rather than a single failure, so the calculation examples are related to the studied failures.
(5)
In order to analyze the simulation case’s health, the proposed FCE model was used. It would be more credible to have access to real-time monitoring data from relevant systems.

Supplementary Materials

The following supporting information can be downloaded at: www.mdpi.com/article/10.3390/app12115409/s1. Figure S1: Membership level histogram. Table S1: Statistical table of detection difficulty; Table S2: Statistical table of maintenance difficulty; Table S3: Simulation of case data parameters.

Author Contributions

Manuscript Writing, S.D.; manuscript Revision, Y.L. and Y.C.; simulation test: S.D. and X.W.; project Funding: Y.L.; reference and data collation: X.L. and Z.Z. All authors have read and agreed to the published version of the manuscript.

Funding

This research was funded by [the Aero-Science Fund of China] grant number [20200033052001] and [Nanjing University of Aeronautics and Astronautics Postgraduate Innovation Base Open Fund] grant number [kfjj20200725].

Institutional Review Board Statement

Not applicable.

Informed Consent Statement

Not applicable.

Data Availability Statement

Not applicable.

Conflicts of Interest

The authors declare no conflict of interest.

References

  1. Yin, Y.; Zhang, M.; Wei, X.; Nie, H.; Chen, H. Fault analysis and solution of an airplane nose landing gear’s emergency lowering. J. Aircr. 2016, 53, 1022–1032. [Google Scholar] [CrossRef]
  2. SAE AIR 4566A-2021; Crashworthy Landing Gear Design. SAE Aerospace: Warrendale, PA, USA, 2021.
  3. SAE AIR 6280; Overview of Aircraft Landing Gear Shimmy Analysis Methods. SAE Aerospace: Warrendale, PA, USA, 2021.
  4. Li, Y. Aircraft Hydraulic Transmission and Control; Science Press: Beijing, China, 2009; pp. 161–169. [Google Scholar]
  5. Phillips, P.; Diston, D.; Starr, A. Perspectives on the commercial development of landing gear health monitoring systems. Transp. Res. Part C Emerg. Technol. 2011, 19, 1339–1352. [Google Scholar] [CrossRef] [Green Version]
  6. Yang, Y. Aircraft Landing Gear Extension and Retraction Control System Diagnostics Prognostics and Health Management. Master’s Thesis, Cranfield University, London, UK, 2012. [Google Scholar]
  7. He, L.; Liang, L.; Ma, C. Multiple failure simulation and health evaluation of aircraft landing gear hydraulic retraction/extension system. J. Northwestern Polytech. Univ. 2016, 34, 990–995. [Google Scholar]
  8. Zhang, M.; Jiang, R.; Nie, H. Design and Test of Dual Actuator Nose Wheel Steering System for Large Civil Aircraft. Int. J. Aerosp. Eng. 2016, 2016, 1626015. [Google Scholar] [CrossRef] [Green Version]
  9. Chen, H.; Jia, Y. Design and simulation of controllable aircraft main landing gear operating actuator. J. Beijing Univ. Aeronaut. Astronaut. 2016, 42, 112–119. [Google Scholar]
  10. Vasiliu, N.; Vasiliu, D.; Călinoi, C.; Puhalschi, R. Simulation of Fluid Power Systems with Simcenter Amesim; CRC Press: Florida, FL, USA, 2018; pp. 545–596. [Google Scholar]
  11. McGuire, S. Negotiating the 1992 Airbus Accord; Palgrave Macmillan Press: London, UK, 1997; pp. 136–158. [Google Scholar]
  12. Tu, Y.; Xiao, X.; Li, N. Computer analysis of large-scale aircraft landing gear retraction and extension control system. J. Beijing Univ. Aeronaut. Astronaut. 2012, 39, 595–599. [Google Scholar]
  13. Chen, J.; Zhao, Y.; Wu, C.; Xu, Q. Data-Driven Health Assessment in Flight Control System. Appl. Sci. 2020, 10, 8370. [Google Scholar] [CrossRef]
  14. Chen, J.; Chen, S.; Liu, Z.; Luo, C.; Jing, Z.; Xu, Q. Health monitoring of landing gear retraction/extension system based on optimized fuzzy C-means algorithm. IEEE Access 2020, 8, 219611–219621. [Google Scholar] [CrossRef]
  15. Tang, L.; Roemer, M.; Bharadwaj, S.; Belcastro, C. An Integrated Aircraft Health Assessment and Fault Contingency Management System for Aircraft. In Proceedings of the Aiaa Guidance, Navigation and Control Conference and Exhibit, Honolulu, HI, USA, 18–21 August 2008. [Google Scholar]
  16. Bond, R.; Underwood, S.; Adams, E.; Cummins, J. Structural health monitoring–based methodologies for managing uncertainty in aircraft structural life assessment. Struct. Health Monit. 2014, 13, 621–628. [Google Scholar] [CrossRef]
  17. Lee, Y.; Park, J.; Lee, D. Inspection interval optimization of aircraft landing gear component based on risk assessment using equivalent initial flaw size distribution method. Struct. Health Monit. 2021. [Google Scholar] [CrossRef]
  18. Batson, G.; Love, M. Risk analysis approach to transport aircraft technology assessment. J. Aircr. 1988, 25, 99–105. [Google Scholar] [CrossRef]
  19. Jia, B.; Yang, Z.; Sun, Z. Research on Health Assessment of Hydraulic Pumping Source System for Civil Aircraft. Adv. Mater. Res. 2012, 452–453, 248–252. [Google Scholar] [CrossRef]
  20. Haider, S. Applying Model Based Safety Assessment for Aircraft Landing Gear System Certification. In Proceedings of the 2020 Annual Reliability and Maintainability Symposium (RAMS), Palm Springs, CA, USA, 27–30 January 2020. [Google Scholar]
  21. Muc, A. Fuzzy Approach in Modeling Static and Fatigue Strength of Composite Materials and Structures. Neurocomputing 2019, 393, 156–164. [Google Scholar] [CrossRef]
  22. Min, S.; Jang, H. Case Study of Expected Loss Failure Mode and Effect Analysis Model Based on Maintenance Data. Appl. Sci. 2021, 11, 7349. [Google Scholar] [CrossRef]
  23. Gao, P.; Tao, Y.; Zhang, Y.; Wang, J.; Zhai, J. Vibration analysis and control technologies of hydraulic pipeline system in aircraft: A review. Chin. J. Aeronaut. 2021, 34, 83–114. [Google Scholar] [CrossRef]
  24. Zhang, J.; Li, S.; Wang, X. Method of radar anti-jamming performance evaluation based on grey correlation-fuzzy comprehensive evaluation. Syst. Eng. Electron. 2021, 43, 1557–1563. [Google Scholar]
  25. Zhu, X.; Liu, Y. State evaluation of photovoltaic array based on fuzzy comprehensive evaluation. Acta Energ. Sol. Sin. 2020, 41, 103–111. [Google Scholar]
  26. Ran, P.; Li, W.; Bao, R.; Ma, P. A Simulation Credibility Assessment Method Based on Improved Fuzzy Comprehensive Evaluation. J. Syst. Simul. 2020, 32, 2469–2474. [Google Scholar]
  27. Chen, S.; Wang, H.; Hao, J.; Liu, Y.; Lv, X. Risk assessment of corroded casing based on analytic hierarchy process and fuzzy comprehensive evaluation. Pet. Sci. 2021, 18, 591–602. [Google Scholar] [CrossRef]
  28. Chen, Y.; Kang, R. FMECA Technology and Its Application; National Defense Industry Press: Beijing, China, 2014; pp. 126–152. [Google Scholar]
  29. Mei, N.; Xiao, X.; Li, R. Identification of Key Components of Smart Meters Based on FMEA and HM. 2021. Available online: https://kns.cnki.net/kcms/detail/23.1202.TH.20210326.1632.006.html (accessed on 29 March 2021).
  30. Ma, J. Reliability Research of Certain Aircraft Hydraulic System Based on GO Methodology. Master’s Thesis, Dalian University of Technology, Dalian, China, 2020. [Google Scholar]
  31. Ma, J.; Duan, F.; Wang, H. Reliability Research of Certain Aircraft Hydraulic System Based on GO Methodology. J. Dalian Univ. Technol. 2019, 59, 492–500. [Google Scholar]
  32. Wang, J. Reliability Analysis on the Commercial Aircraft Hydraulic System. Master’s Thesis, Zhejiang University, Hangzhou, China, 2020. [Google Scholar]
  33. Shao, W. Research on the FMECA and FTA of the Landing Gear System for A Certain Type of Aircraft in Failure Analysis. Master’s Thesis, Xihua University, Chengdu, China, 2019. [Google Scholar]
  34. Hu, L.; Cao, K.; Ren, B.; Li, N.; Hou, Y.; Li, Y. Statistical Analysis of Faults in Aircraft Hydraulic System; National Defense Industry Press: Beijing, China, 2014; pp. 165–170. [Google Scholar]
  35. Jimenez-Martinez, M. Manufacturing effects on fatigue strength. Eng. Fail. Anal. 2019, 108, 104339. [Google Scholar] [CrossRef]
  36. Dong, J.; Deng, Y.; Gao, W.; Wang, Z.; Ma, W.; Wu, D.; Ji, H.; Liu, Y. Wear failure analysis of suction valve for high pressure and large flow water hydraulic plunger pump. Eng. Fail. Anal. 2022, 134, 106095. [Google Scholar] [CrossRef]
  37. Kou, D.; Jiang, H.; He, Y. Fault diagnosis of aircraft hydraulic system based on information entropy and SVM multi classification. J. Northwestern Polytech. Univ. 2012, 30, 529–534. [Google Scholar]
  38. Shi, H.; Zhang, H.; Wang, W.; Wang, M.; Zeng, L. Research on a novel method for detection of wear debris in hydraulic oil. Chin. J. Sci. Instrum. 2019, 40, 44–51. [Google Scholar]
  39. Chen, C.; Yan, W. The analysis and measure of the hydraulic system mixed with air. Hydraul. Pneum. 2011, 7, 110–112. [Google Scholar]
  40. Mahankar, P.; Dhoble, A. Review of hydraulic seal failures due to effect of medium to high temperature. Eng. Fail. Anal. 2021, 127, 10552. [Google Scholar] [CrossRef]
  41. Wei, S. Research on Fault Diagnosis Research Method for Luffing Hydraulic System of Lorry-Mounted Crane. Master’s Thesis, Dalian University of Technology, Dalian, China, 2021. [Google Scholar]
  42. Boeing, B737-600/700/800/900 Aircraft Maintenance Manual; Aero Ground Training: Ploudaniel, France, 2010.
Figure 1. Basic schematic diagram of landing gear R/E system.
Figure 1. Basic schematic diagram of landing gear R/E system.
Applsci 12 05409 g001
Figure 2. Logical sequence of extending (NLG: Nose Landing Gear; MLG: Main Landing Gear).
Figure 2. Logical sequence of extending (NLG: Nose Landing Gear; MLG: Main Landing Gear).
Applsci 12 05409 g002
Figure 3. Failure mode fishbone diagram.
Figure 3. Failure mode fishbone diagram.
Applsci 12 05409 g003
Figure 4. Overall simulation model of landing gear hydraulic extension and retraction system.
Figure 4. Overall simulation model of landing gear hydraulic extension and retraction system.
Applsci 12 05409 g004
Figure 5. Simulation results: (a) Each actuator when the MLG is extending; (b) Each actuator when the NLG is extending.
Figure 5. Simulation results: (a) Each actuator when the MLG is extending; (b) Each actuator when the NLG is extending.
Applsci 12 05409 g005
Figure 6. Influence of abrasive particles: (a) Piston displacement; (b) Piston Velocity.
Figure 6. Influence of abrasive particles: (a) Piston displacement; (b) Piston Velocity.
Applsci 12 05409 g006
Figure 7. Influence of mixed air: (a) Piston displacement; (b) Piston Velocity.
Figure 7. Influence of mixed air: (a) Piston displacement; (b) Piston Velocity.
Applsci 12 05409 g007
Figure 8. Effect of abnormal oil temperature: (a) Piston displacement; (b) Piston Velocity.
Figure 8. Effect of abnormal oil temperature: (a) Piston displacement; (b) Piston Velocity.
Applsci 12 05409 g008
Figure 9. Effect of oil filter blockage: (a) Piston displacement; (b) Piston Velocity.
Figure 9. Effect of oil filter blockage: (a) Piston displacement; (b) Piston Velocity.
Applsci 12 05409 g009
Figure 10. Effect of reversing valve spool stuck: (a) Piston displacement; (b) Piston Velocity.
Figure 10. Effect of reversing valve spool stuck: (a) Piston displacement; (b) Piston Velocity.
Applsci 12 05409 g010
Figure 11. Actuator leakage principle: (a) Basic principles; (b) Simulation principle.
Figure 11. Actuator leakage principle: (a) Basic principles; (b) Simulation principle.
Applsci 12 05409 g011
Figure 12. Effect of actuator external leakage: (a) Piston displacement; (b) Piston Velocity; Effect of actuator internal leakage: (c) Piston displacement; (d) Piston Velocity.
Figure 12. Effect of actuator external leakage: (a) Piston displacement; (b) Piston Velocity; Effect of actuator internal leakage: (c) Piston displacement; (d) Piston Velocity.
Applsci 12 05409 g012
Figure 13. Simulation principle of pipe joint leakage.
Figure 13. Simulation principle of pipe joint leakage.
Applsci 12 05409 g013
Figure 14. Effect of pipe joint leakage: (a) Piston displacement; (b) Piston Velocity.
Figure 14. Effect of pipe joint leakage: (a) Piston displacement; (b) Piston Velocity.
Applsci 12 05409 g014
Figure 15. Ridge membership function image (Different colors represent different intervals).
Figure 15. Ridge membership function image (Different colors represent different intervals).
Applsci 12 05409 g015
Table 1. R P N M ’s evaluation level.
Table 1. R P N M ’s evaluation level.
Evaluation IndicatorsGrade
IIIIIIIVV
P Probability featuresExtremely highHighMediumLowExtremely low
Proportion of total failure probability 20 % p 10 % p < 20 % 1 % p < 10 % 0.1 % p < 1 % p < 0.1 %
S Degree of severityDisastrousFatalCriticalMildUnhindered
DefinitionPersonal death and serious system damageSerious personal
injury and system damage
Minor personal injury and slight system damageSlight damage to the system, unplanned maintenanceAlmost no
impact
D Degree of difficultyIncapableHighMediumLowExtremely low
DefinitionInsufficient detection
technology
Detection may not be possibleCapable of detectingRegular inspection can be foundEasily found at any time
M Degree of difficultyImpossibleHighMediumLowExtremely low
DefinitionSystem scrapOverhaulMinor repairSimple maintenanceNo maintenance
required
Table 2. Statistics of landing gear failure modes.
Table 2. Statistics of landing gear failure modes.
Failure ModeFrequencyλ/10−6
Oil contains wear particles1117.3425
Oil mixed with air813.3574
Oil temperature too high1315.9331
Oil temperature too low510.3027
Oil filter blocked2132.8652
Stuck reversing valve core1219.7201
Actuator internal leakage1711.0435
Actuator external leakage1312.2826
Pipe joint leakage2338.4022
Pipeline wear1828.0083
Oil string3235.8233
Table 3. Indicator factor set ui.
Table 3. Indicator factor set ui.
uiFailure Mode and Cause
u 1 Oil contains wear particles
u 2 Oil mixed with air
u 3 Abnormal oil temperature
u 4 Oil filter blocked
u 5 Reversing valve spool stuck.
u 6 Actuator external leakage
u 7 Actuator internal leakage
u 8 Pipe joint leakage
u 9 Pipeline wear
u 10 Oil intermingle in systems
Table 4. Abrasive particle concentration under different working conditions.
Table 4. Abrasive particle concentration under different working conditions.
Parameter NameValue
Condition numberNo abrasive particles/i1
Low concentration/ii10
Medium concentration/iii50
High concentration/iv100
Table 5. System air content under different working conditions.
Table 5. System air content under different working conditions.
Parameter NameValue
Condition numberi/%0.1
ii/%10.1
iii/%20.1
iv/%30.1
Table 6. Oil temperature under different working conditions.
Table 6. Oil temperature under different working conditions.
Parameter NameValue
Condition numberi/degC30
ii/degC60
iii/degC90
iv/degC120
Table 7. Oil filter blockage under different working conditions.
Table 7. Oil filter blockage under different working conditions.
Parameter NameValue
Condition numberAperture i/mm6.0
Aperture ii/mm4.5
Aperture iii/mm3.0
Aperture iv/mm1.5
Table 8. Reversing valve spool stuck under different working conditions.
Table 8. Reversing valve spool stuck under different working conditions.
Parameter NameValue
Condition numberValve opening i0.9~0.7
Valve opening ii0.7~0.5
Valve opening iii0.5~0.3
Valve opening iv0.3~0.1
Table 9. Actuator external leakage and internal leakage under different working conditions.
Table 9. Actuator external leakage and internal leakage under different working conditions.
Parameter NameValue
External leakage condition numberAperture i/mm0.005
Aperture ii/mm0.505
Aperture iii/mm1.005
Aperture iv/mm1.505
Internal leakage condition numberAperture i/mm0.005
Aperture ii/mm0.205
Aperture iii/mm0.405
Aperture iv/mm0.605
Table 10. Pipe joint leakage under different working conditions.
Table 10. Pipe joint leakage under different working conditions.
Parameter NameValue
Condition numberValve opening i0
Valve opening ii0.1
Valve opening iii0.2
Valve opening iv0.3
Table 11. Deviation degree of fault influence (Keep two decimal places for data).
Table 11. Deviation degree of fault influence (Keep two decimal places for data).
uiγmaxηmax
u 1 0.7843.28%
u 2 2.24126.97%
u 3 0.0760.87%
u 4 1.7752.16%
u 5 0.73124.16%
u 6 0.1421.46%
u 7 0.2329.94%
u 8 0.1387.32%
u 9 --
u 10 --
Table 12. HD grade and measures.
Table 12. HD grade and measures.
HD GradeEvaluation CriteriaMeasures
A 1.00000 H D < 1.50000 Grounded overhaul
B 1.50000 H D < 2.50000 Workshop and base maintenance
C 2.50000 H D < 3.50000 Route troubleshooting and replacement
D 3.50000 H D < 4.50000 Route maintenance and general monitoring
E 4.50000 H D 5.00000 General service
Publisher’s Note: MDPI stays neutral with regard to jurisdictional claims in published maps and institutional affiliations.

Share and Cite

MDPI and ACS Style

Duan, S.; Li, Y.; Cao, Y.; Wang, X.; Li, X.; Zhao, Z. Health Assessment of Landing Gear Retraction/Extension Hydraulic System Based on Improved Risk Coefficient and FCE Model. Appl. Sci. 2022, 12, 5409. https://doi.org/10.3390/app12115409

AMA Style

Duan S, Li Y, Cao Y, Wang X, Li X, Zhao Z. Health Assessment of Landing Gear Retraction/Extension Hydraulic System Based on Improved Risk Coefficient and FCE Model. Applied Sciences. 2022; 12(11):5409. https://doi.org/10.3390/app12115409

Chicago/Turabian Style

Duan, Shixuan, Yanjun Li, Yuyuan Cao, Xingye Wang, Xudong Li, and Zejian Zhao. 2022. "Health Assessment of Landing Gear Retraction/Extension Hydraulic System Based on Improved Risk Coefficient and FCE Model" Applied Sciences 12, no. 11: 5409. https://doi.org/10.3390/app12115409

APA Style

Duan, S., Li, Y., Cao, Y., Wang, X., Li, X., & Zhao, Z. (2022). Health Assessment of Landing Gear Retraction/Extension Hydraulic System Based on Improved Risk Coefficient and FCE Model. Applied Sciences, 12(11), 5409. https://doi.org/10.3390/app12115409

Note that from the first issue of 2016, this journal uses article numbers instead of page numbers. See further details here.

Article Metrics

Back to TopTop