The Impact of Ensemble Techniques on Software Maintenance Change Prediction: An Empirical Study
Abstract
:1. Introduction
- RQ1. What is the impact of ensemble FS techniques on the performance of prediction models?
- RQ2. What is the impact of ensemble sampling techniques on the performance of prediction models?
- RQ3. What is the impact of applying both ensemble FS and sampling techniques on the performance of prediction models?
- RQ4. What is the performance of the individual model and does the ensemble model (RF) outperform individual models?
- RQ5. What is the impact of the MTRY parameter tuning on RF?
- The capability of the ensemble models, FS, and sampling techniques on predicting of change-proneness was evaluated using four different scenarios. To the best of the authors’ knowledge, this is the first study to investigate aspects such as the ensemble model, ensemble FS, and ensemble sampling techniques in predicting change-proneness. The most important finding was that RF provided a significant improvement over other prediction models and obtained the highest value of AUC in all scenarios.
- More informative and recommended measure was used for skewed datasets (i.e., AUC) to evaluate prediction accuracy (rather than using only measures based on accuracy such as precision or recall), and statistical test and effect size were performed on the results to evaluate the performance of the model.
- To make our predictive models refutable, conformable, and repeatable, the study used recent public datasets published in [13] and available on the PROMISE repository [14]. Two of these datasets are large and contain more than 1000 classes (i.e., mct and titan). Furthermore, a comprehensive replication package was provided which includes the new version of the datasets adapted for this study.
- The impact of MTRY parameter tuning in RF was explored using grid search.
2. Related Work
2.1. Change-Proneness Metrics
2.2. Ensemble Prediction Models
2.3. Ensemble Feature Selection Techniques
2.4. Ensemble Sampling Techniques
| The Area of Related Work | Ref. | Advantages | Disadvantages | Contributions of This Study | 
|---|---|---|---|---|
| Change-proneness metrics | [5,15] | A limited number of metrics have been used by previous studies as predictors of change-proneness. | Several metrics have not been investigated by previous studies. | This study explores a total of 102 metrics. | 
| Ensemble prediction models | [4,22] | Ensemble models have yielded improved prediction accuracy over individual models. | Limited previous studies used ensemble models to predict change-proneness, | This study investigates the performance of RF and the impact of the influence of Mtry parameter tuning using the grid search. | 
| Ensemble feature selection techniques | [7] | Using ensemble FS techniques outperformed individual FS techniques. | No previous studies used ensemble FS to predict change-proneness. | This study performs ensemble FS (i.e., relief and Pearson’s correlation coefficient). | 
| Ensemble sampling techniques | [8,9] | Using ensemble sampling techniques performed better than individual sampling techniques. | No previous studies used ensemble sampling to predict change-proneness. | This study applies ensemble sampling (i.e., SMOTE, spread sub-sample and randomize). | 
3. Research Methodology
- First scenario: datasets without FS and sampling techniques.
- Second scenario: datasets with FS and without sampling techniques.
- Third scenario: datasets without FS and with sampling techniques.
- Fourth scenario: datasets with FS and sampling techniques.
3.1. Framework of the Research Method
- Step 1. We load the datasets, details of which, along with independent and dependent variables are described in Section 4.1.
- Step 2. We analyze the datasets to eliminate any metrics which contain empty values, and redundant metrics that are strongly correlated with each other. This step is performed using descriptive statistics and Spearman correlation.
- Step 4. We perform ensemble FS using the relief and Pearson’s correlation coefficients to select the best ten metrics (independent variables) from each dataset.
- Step 5. We employ ensemble sampling techniques, namely, SMOTE, to perform oversampling by increasing the number of the minority class, and spread sub-sample to perform undersampling by decreasing the number of the majority class, and randomization to rearrange the instances randomly. The main reason for applying this randomization is to avoid overfitting in ten-fold cross-validation because SMOTE inserts the additional instances at the end of the dataset.
- Step 6. We conduct four different scenarios across seven change-proneness datasets (see Table 1) as follows: First scenario (i.e., Step 1, Step 2, and Step 3), Second scenario (i.e., Step 1, Step 2, Step 3, and Step 4), Third scenario (i.e., from Step 1, Step 2, Step 3, and Step 5 without Step 4) and Fourth scenario (i.e., Step 1, Step 2, Step 3, Step 4, and Step 5) (see Figure 2).
- Step 7. We divide the datasets into training and test sets using ten-fold cross-validation.
- Step 8. We construct the prediction models, which encompass three individual models (NB, SVM, and KNN) and one ensemble model (RF).
- Step 9. We predict change-proneness and evaluate and compare the results of the four prediction models across the four scenarios to determine the most accurate prediction model using AUC as the measure of comparison.
3.2. Framework of the Fourth Scenario
- Step 1. We load seven datasets after the data analysis step (Step 2 in previous section).
- Step 2. We create a fourth set of differently sampled data purely for the purpose of performing FS techniques:- 1.
- Datasets without sampling.
- 2.
- Datasets with SMOTE sampling.
- 3.
- Datasets with SMOTE and spread sub-sample with the parameter set to 1, where these parameters define the distribution spread ratio between the majority and minority classes as 50:50.
- 4.
- Datasets with SMOTE and spread sub-sample with the parameter set to 2.1, where these parameters define the distribution spread ratio between the majority and minority classes as 35:65.
 
- Step 3. We apply ensemble FS using two filter-based feature ranking techniques, namely relief and Pearson’s correlation coefficient on all sampled data in Step 2.
- Step 4. We compute the average of the feature ranking techniques in Step 3 across all sampled data in Step 2.
- Step 5. We select the best ten features that have the highest ranking from the sampled datasets in the third scenario. Therefore, the main difference between the third and fourth scenario is performing ensemble FS techniques in the fourth scenario. However, both the third and fourth scenarios used the same ensemble sampling techniques, namely, SMOTE, spread sub-sample with 2.1 ratio, and randomize.
4. Experimental Design and Setup
4.1. Datasets
- Step 1. We removed the relative maintainability index (RMI), which is the dependent variable in the original datasets, because it is a derived variable (from some of the independent variables which will cause any machine learning model to just learn the function that defines it) and also not an accurate reflection of maintenance effort.
- Step 2. We convert the total number of refactoring changes in each class (Refact_Sum) to a binary variable (Change_Prone) that indicates whether a change has taken place in each class during the maintenance period. Refact_Sum contains the total number of source code refactoring operations that have been applied in each class in a certain observation period. The reason for this is that the number of refactoring is very low, ranging from 0 to 8 with a median of zero in all datasets (see Table 4). Change_Prone is set to TRUE if any refactoring changes were made on the class (regardless of the number) or FALSE if no refactoring changes were made.Table 4. Descriptive statistics of Refact_Sum.MIN MAX Standard Deviation Average Median antlr4 0 8 0.70 0.13 0 junit 0 3 0.21 0.02 0 MapDB 0 2 0.13 0.01 0 mcMMO 0 2 0.18 0.02 0 mct 0 5 0.18 0.01 0 oryx 0 6 0.35 0.05 0 titan 0 3 0.13 0.01 0 
- Step 3. We remove 23 refactoring metrics from the independent variables in the refactoring datasets. These are related to specific refactoring changes that have taken place and are not relevant for the prediction of change proneness and would also prejudice the outcome of the study as they identify when a change has been made.
4.1.1. Dependent Variable: Change-Prone
4.1.2. Independent Variables: Source Code Metrics
4.1.3. Dataset Analysis
4.1.4. Data Preprocessing
Normalization
Feature Selection
Sampling
4.2. Prediction Models
4.2.1. ZeroR
4.2.2. Naive Bayes
4.2.3. K-Nearest Neighbors
4.2.4. Support Vector Machine
4.2.5. Random Forest
4.3. Prediction Accuracy Measures
4.3.1. Performance Measures
| Predicted Class (No) | Predicted Class (Yes) | |
|---|---|---|
| Actual class (No) | True negatives (TN) | False positive (FP) | 
| Actual class (Yes) | False negative (FN) | True positive (TP) | 
4.3.2. Statistical Tests and Effect Size
4.3.3. Grid Search
5. Results and Analyses
5.1. Feature Selection
5.2. Sampling
5.3. Prediction Models
5.3.1. Baseline
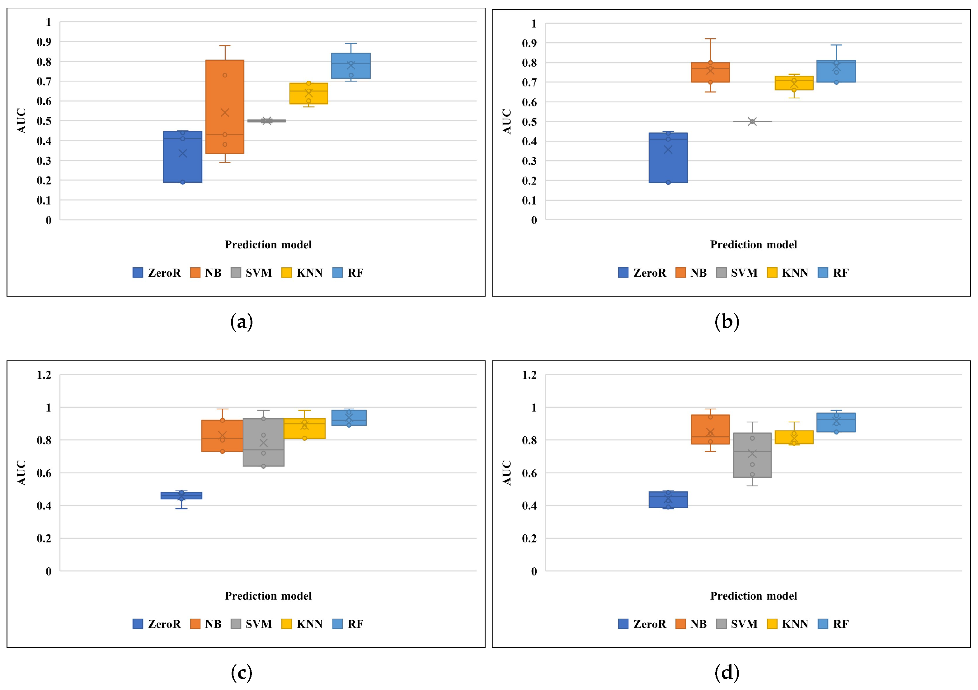
5.3.2. First Scenario: Datasets without FS or Sampling
| Models | Change-Proneness Dataset | ||||||
|---|---|---|---|---|---|---|---|
| antlr4 | junit | MapDB | mcMMO | mct | oryx | titan | |
| First Scenario | |||||||
| ZeroR | 0.45 | 0.44 | 0.19 | 0.19 | 0.41 | 0.41 | 0.41 | 
| NB | 0.73 | 0.43 | 0.38 | 0.29 | 0.88 | 0.58 | 0.74 | 
| SVM | 0.51 | 0.5 | 0.5 | 0.49 | 0.5 | 0.5 | 0.5 | 
| KNN | 0.57 | 0.6 | 0.69 | 0.65 | 0.69 | 0.65 | 0.7 | 
| RF | 0.7 | 0.73 | 0.79 | 0.79 | 0.89 | 0.81 | 0.81 | 
5.3.3. Second Scenario: Datasets with FS and without Sampling
| Models | Change-Proneness Dataset | ||||||
|---|---|---|---|---|---|---|---|
| antlr4 | junit | MapDB | mcMMO | mct | oryx | titan | |
| Second Scenario | |||||||
| ZeroR | 0.45 | 0.44 | 0.19 | 0.19 | 0.41 | 0.41 | 0.41 | 
| NB | 0.77 | 0.77 | 0.65 | 0.7 | 0.92 | 0.7 | 0.8 | 
| SVM | 0.5 | 0.5 | 0.5 | 0.5 | 0.5 | 0.5 | 0.5 | 
| KNN | 0.66 | 0.73 | 0.62 | 0.66 | 0.72 | 0.74 | 0.71 | 
| RF | 0.81 | 0.75 | 0.7 | 0.7 | 0.89 | 0.8 | 0.8 | 
5.3.4. Third Scenario: Datasets without FS and with Sampling
| Models | Change-Proneness Dataset | ||||||
|---|---|---|---|---|---|---|---|
| antlr4 | junit | MapDB | mcMMO | mct | oryx | titan | |
| Third Scenario | |||||||
| ZeroR | 0.46 | 0.44 | 0.46 | 0.38 | 0.49 | 0.48 | 0.48 | 
| NB | 0.73 | 0.80 | 0.73 | 0.99 | 0.92 | 0.82 | 0.81 | 
| SVM | 0.64 | 0.74 | 0.64 | 0.98 | 0.93 | 0.83 | 0.72 | 
| KNN | 0.81 | 0.88 | 0.81 | 0.91 | 0.98 | 0.9 | 0.93 | 
| RF | 0.89 | 0.92 | 0.89 | 0.98 | 0.99 | 0.92 | 0.97 | 
5.3.5. Fourth Scenario: Datasets with Both FS and Sampling
| Models | Change-Proneness Dataset | ||||||
|---|---|---|---|---|---|---|---|
| antlr4 | junit | MapDB | mcMMO | mct | oryx | titan | |
| ZeroR | 0.46 | 0.43 | 0.39 | 0.38 | 0.49 | 0.48 | 0.48 | 
| NB | 0.51 | 0.79 | 0.84 | 0.99 | 0.94 | 0.73 | 0.8 | 
| SVM | 0.51 | 0.65 | 0.82 | 0.91 | 0.81 | 0.52 | 0.59 | 
| KNN | 0.71 | 0.78 | 0.78 | 0.84 | 0.91 | 0.78 | 0.77 | 
| RF | 0.85 | 0.85 | 0.95 | 0.96 | 0.98 | 0.85 | 0.9 | 
5.3.6. Statistical Tests
5.3.7. Impact of Parameter Tuning for Random Forests
5.3.8. Discussion and Answers to Research Questions
6. Threats to Validity
6.1. External Validity
6.2. Conclusion Validity
6.3. Internal Validity
6.4. Construct Validity
7. Conclusions and Future Work
- The results obtained from this study provide empirical evidence of the positive impact of ensemble FS in improving the performance of some of the prediction models (KNN and NB). However, ensemble FS techniques had no clear effect on the overall performance of SVM and RF because these models have FS techniques as a part of the model’s creation.
- This study also showed the good performance of applying ensemble sampling methods on all prediction models and that there was a clear improvement in SVM and RF.
- Across all scenarios, the ensemble model (RF) achieved the best performance in predicting change-proneness compared to other models, and there were significant differences between RF and all individual models. In addition, the effect size was large. A possible explanation of the good performance of RF in both high-dimensional and imbalanced datasets is that RF performs the concept of FS through the creation of several decision trees. It also involves many decision trees that perform well with the imbalanced dataset.
- The experimental results in this empirical study showed that the performance of the ensemble models for predicting change-proneness is significantly improved, and the effect size was large in all prediction models.
Supplementary Materials
Author Contributions
Funding
Institutional Review Board Statement
Informed Consent Statement
Data Availability Statement
Conflicts of Interest
References
- Alsolai, H. Predicting Software Maintainability in Object-Oriented Systems Using Ensemble Techniques. In Proceedings of the 2018 IEEE International Conference on Software Maintenance and Evolution (ICSME), Madrid, Spain, 23–29 September 2018; pp. 716–721. [Google Scholar]
- Koru, A.; Tian, J. Comparing high-change modules and modules with the highest measurement values in two large-scale open-source products. IEEE Trans. Softw. Eng. 2005, 31, 625–642. [Google Scholar] [CrossRef]
- Alsolai, H.; Roper, M. A Systematic Literature Review of Machine Learning Techniques for Software Maintainability Prediction. Inf. Softw. Technol. 2020, 119, 106214. [Google Scholar] [CrossRef]
- Catolino, G.; Ferrucci, F. An extensive evaluation of ensemble techniques for software change prediction. J. Softw. Evol. Process 2019, 31, 1–15. [Google Scholar] [CrossRef]
- Malhotra, R.; Khanna, M. Particle Swarm Optimization-Based Ensemble Learning for Software Change Prediction. Inf. Softw. Technol. 2018, 102, 65–84. [Google Scholar] [CrossRef]
- Nucci, D.; Palomba, F.; Oliveto, R.; Lucia, A. Dynamic Selection of Classifiers in Bug Prediction: An Adaptive Method. IEEE Trans. Emerg. Top. Comput. Intell. 2017, 1, 202–212. [Google Scholar] [CrossRef]
- Alsolai, H.; Roper, M. A Systematic Review of Feature Selection Techniques in Software Quality Prediction. In Proceedings of the International Conference on Electrical and Computing Technologies and Applications, Ras Al Khaimah, United Arab Emirates, 19–21 November 2019; pp. 1–5. [Google Scholar]
- Kumar, L.; Sureka, A. Application of LSSVM and SMOTE on Seven Open Source Projects for Predicting Refactoring at Class Level. In Proceedings of the Asia-Pacific Software Engineering Conference, Nanjing, China, 4–8 December 2017; pp. 90–99. [Google Scholar]
- Kumar, L.; Satapathy, S.; Murthy, L. Method Level Refactoring Prediction on Five Open Source Java Projects using Machine Learning Techniques. In Proceedings of the India Software Engineering Conference, Pune, India, 14–16 February 2019; pp. 1–10. [Google Scholar]
- Loyola-González, O.; García-Borroto, M.; Medina-Pérez, M.; Martínez-Trinidad, J.; Carrasco-Ochoa, J.; Ita, G. An Empirical Study of Oversampling and Undersampling Methods for Lcmine An Emerging Pattern Based Classifier. In Mexican Conference on Pattern Recognition; Springer: Berlin/Heidelberg, Germany, 2013; pp. 264–273. [Google Scholar]
- Khoshgoftaar, T.; Gao, K.; Napolitano, A.; Wald, R. A Comparative Study of Iterative and Non-Iterative Feature Selection Techniques for Software Defect Prediction. Inf. Syst. Front. 2014, 16, 801–822. [Google Scholar] [CrossRef]
- Liu, Y.; An, A.; Huang, X. Boosting Prediction Accuracy on Imbalanced Datasets with SVM Ensembles; Springer: Berlin/Heidelberg, Germany, 2006. [Google Scholar]
- Hegedűs, P.; Kádár, I.; Ferenc, R.; Gyimóthy, T. Empirical Evaluation of Software Maintainability Based on a Manually Validated Refactoring Dataset. Inf. Softw. Technol. 2018, 95, 313–327. [Google Scholar] [CrossRef]
- Cukic, B. Guest Editor’s Introduction: The Promise of Public Software Engineering Data Repositories. IEEE Softw. 2005, 22, 20–22. [Google Scholar] [CrossRef]
- Elish, M.; Al-Khiaty, M. A suite of metrics for quantifying historical changes to predict future change-prone classes in object-oriented software. J. Softw. Evol. Process 2013, 25, 407–437. [Google Scholar] [CrossRef]
- Chidamber, S.; Kemerer, C. Towards a Metrics Suite for Object Oriented Design. In Proceedings of the Conference Proceedings on Object-Oriented Programming Systems, Languages, and Applications, Phoenix, AZ, USA, 6–11 October 1991; pp. 197–211. [Google Scholar]
- Malhotra, R.; Khanna, M. Inter Project Validation for Change Proneness Prediction using Object Oriented Metrics. Softw. Eng. Int. J. 2013, 3, 21–31. [Google Scholar]
- Malhotra, R.; Khanna, M. Investigation of relationship between object-oriented metrics and change proneness. Int. J. Mach. Learn. Cybern. 2013, 4, 273–286. [Google Scholar] [CrossRef]
- Kumar, L.; Rath, S.; Sureka, A. Empirical analysis on effectiveness of source code metrics for predicting change-proneness. In Proceedings of the 10th Innovations in Software Engineering Conference, Jaipur, India, 5–7 February 2017; pp. 4–14. [Google Scholar]
- Lu, H.; Zhou, Y.; Xu, B.; Leung, H.; Chen, L. The Ability of Object-Oriented Metrics to Predict Change-Proneness: A Meta-Analysis. Empir. Softw. Eng. 2012, 17, 200–242. [Google Scholar] [CrossRef]
- Ueda, N.; Nakano, R. Generalization Error of Ensemble Estimators. Proceedings of International Conference on Neural Networks 1996, Washington, DC, USA, 3–6 June 1996; Volume 1, pp. 90–95. [Google Scholar]
- Wang, T.; Li, W.; Shi, H.; Liu, Z. Software defect prediction based on classifiers ensemble. J. Inf. Comput. Sci. 2011, 8, 4241–4254. [Google Scholar]
- Zhang, Y.; Lo, D.; Xia, X.; Sun, J. An Empirical Study of Classifier Combination for Cross-Project Defect Prediction. In Proceedings of the Annual Computer Software and Applications Conference, Taichung, Taiwan, 1–5 July 2015; pp. 264–269. [Google Scholar]
- Minku, L.; Yao, X. Ensembles and Locality: Insight on Improving Software Effort Estimation. Inf. Softw. Technol. 2013, 55, 1512–1528. [Google Scholar] [CrossRef] [Green Version]
- Azzeh, M.; Nassif, A.; Minku, L. An Empirical Evaluation of Ensemble Adjustment Methods for Analogy-Based Effort Estimation. J. Syst. Softw. 2015, 103, 36–52. [Google Scholar] [CrossRef] [Green Version]
- Scornet, E. Tuning Parameters in Random Forests. ESAIM 2017, 60, 144–162. [Google Scholar] [CrossRef] [Green Version]
- Github. The Largest Open Source Community in The World. Available online: https://github.com/ (accessed on 5 May 2017).
- SourceMeter Static Code Analysis Tool. Available online: https://www.sourcemeter.com/resources/java/ (accessed on 8 June 2019).
- Briand, L.; Wüst, J.; Daly, J.; Porter, D. Exploring the Relationships Between Design Measures and Software Quality in Object-Oriented Systems. J. Syst. Softw. 2000, 51, 245–273. [Google Scholar] [CrossRef]
- Corder, G.; Foreman, D. Nonparametric Statistics: A Step-by-Step Approach; Wiley: Hoboken, NJ, USA, 2014; p. 288. [Google Scholar]
- Badr, W. Why Feature Correlation Matters...A Lot! Available online: https://towardsdatascience.com/why-feature-correlation-matters-a-lot-847e8ba439c4 (accessed on 6 May 2020).
- Han, J.; Pei, J.; Kamber, M. Data Mining: Concepts and Techniques; Elsevier: Amsterdam, The Netherlands, 2011; p. 744. [Google Scholar]
- Gao, K.; Khoshgoftaar, T.; Wald, R. Combining Feature Selection and Ensemble Learning for Software Quality Estimation. In Proceedings of the International Florida Artificial Intelligence Research Society Conference, Beach, FL, USA, 21–23 May 2014; pp. 47–52. [Google Scholar]
- Brownlee, J. Machine Learning Mastery with Weka; Ebook, Ed.; Available online: https://machinelearningmastery.com/machine-learning-mastery-weka/ (accessed on 9 July 2019).
- Chawla, N. Data Mining for Imbalanced Datasets: An Overview. In Data Mining and Knowledge Discovery Handbook; Springer: Berlin/Heidelberg, Germany, 2009; pp. 875–886. [Google Scholar]
- Wolff, R. Classification Algorithms in Machine Learning: How They Work. Available online: https://monkeylearn.com/blog/classification-algorithms/ (accessed on 7 April 2020).
- John, G.; Langley, P. Estimating Continuous Distributions in Bayesian Classifiers. In Proceedings of the Conference on Uncertainty in Artificial Intelligence, Montreal, QC, Canada, 18–20 August 1995; pp. 338–345. [Google Scholar]
- Shevade, S.; Keerthi, S.; Bhattacharyya, C.; Murthy, K. Improvements to the SMO algorithm for SVM regression. IEEE Trans. Neural Netw. 2000, 11, 1188–1193. [Google Scholar] [CrossRef] [Green Version]
- Awad, M.; Khanna, R. Support Vector Regression. In Efficient Learning Machines: Theories, Concepts, and Applications for Engineers and System Designers; Apress: Berkeley, CA, USA, 2015; pp. 67–80. [Google Scholar]
- Aha, D.; Kibler, D.; Albert, M. Instance-Based Learning Algorithms. Mach. Learn. 1991, 6, 37–66. [Google Scholar] [CrossRef] [Green Version]
- Witten, I.; Frank, E.; Trigg, L.; Hall, M.; Holmes, G.; Cunningham, S. Weka: Practical Machine Learning Tools and Techniques with Java Implementations; University of Waikato, Department of Computer Science: Hamilton, New Zealand, 1999. [Google Scholar]
- Aher, S.; Lobo, L. Data Mining in Educational System Using Weka. In Proceedings of the International Conference on Emerging Technology Trends, Kollam, India, 21–22 October 2016; Volume 3, pp. 20–25. [Google Scholar]
- Venkatesh, A.; Jacob, S. Prediction of Credit-Card Defaulters: A Comparative Study on Performance of Classifiers. Int. J. Comput. Appl. 2016, 145, 36–41. [Google Scholar]
- Mean Median Mode Formula. Available online: https://www.cuemath.com/mean-median-mode-formula/ (accessed on 25 March 2022).
- Gao, K.; Khoshgoftaar, T.; Wang, H.; Seliya, N. Choosing Software Metrics for Defect Prediction: An Investigation on Feature Selection Techniques. Softw. Pract. Exp. 2011, 41, 579–606. [Google Scholar] [CrossRef] [Green Version]
- Zhi-Qiang, Z.; Hong-Bin, Y.; Hua-Rong, X.; Yan-Qi, X.; Ji, G. Fast Training Support Vector Machines Using Parallel Sequential Minimal Optimization. In Proceedings of the International Conference on Intelligent System and Knowledge Engineering, Xiamen, China, 17–19 November 2008; Volume 1, pp. 997–1001. [Google Scholar]
- Freund, Y.; Schapire, R. Experiments With A New Boosting Algorithm. In Proceedings of the International Conference on International Conference on Machine Learning, Bari, Italy, 3–6 July 1996; pp. 148–156. [Google Scholar]
- Breiman, L. Random Forests. Mach. Learn. 2001, 45, 5–32. [Google Scholar] [CrossRef] [Green Version]
- Hall, M.; Frank, E.; Holmes, G.; Pfahringer, B.; Reutemann, P.; Witten, I. The WEKA Data Mining Software: An Update. ACM SIGKDD Explor. Newsl. 2009, 11, 10–18. [Google Scholar] [CrossRef]
- Conte, S.; Dunsmore, H.; Shen, V. Software Engineering Metrics and Models; Benjamin-Cummings Publishing Co., Inc.: San Francisco, CA, USA, 1986; p. 396. [Google Scholar]
- Bradley, A. The Use of the Area Under the ROC Curve in the Evaluation of Machine Learning Algorithms. Pattern Recognit. 1997, 30, 1145–1159. [Google Scholar] [CrossRef] [Green Version]
- Hosmer, D., Jr.; Lemeshow, S.; Sturdivant, R. Applied Logistic Regression; John Wiley & Sons: Hoboken, NJ, USA, 2013; p. 528. [Google Scholar]
- Berenson, M.; Levine, D.; Goldstein, M. Intermediate Statistical Methods and Applications: A Computer Package Approach; Prentice-Hall, Inc.: Hoboken, NJ, USA, 1983; p. 579. [Google Scholar]
- Lakens, D. Calculating and Reporting Effect Sizes to Facilitate Cumulative Science: A Practical Primer for T-Tests and ANOVAs. Front. Psychol. 2013, 4, 863. [Google Scholar] [CrossRef] [Green Version]
- Cohen, J. Statistical Power Analysis for the Behavioral Sciences; Routledge: London, UK, 2013. [Google Scholar]
- Osman, H.; Ghafari, M.; Nierstrasz, O. Hyperparameter Optimization to Improve Bug Prediction Accuracy. In Proceedings of the Workshop on Machine Learning Techniques for Software Quality Evaluation 2017, Klagenfurt, Austria, 21–21 February 2017; pp. 33–38. [Google Scholar]
- Cohen, J. A Power Primer. Psychol. Bull. 1992, 112, 155. [Google Scholar] [CrossRef]
- He, H.; Garcia, E. Learning from Imbalanced Data. IEEE Trans. Knowl. Data Eng. 2009, 21, 1263–1284. [Google Scholar]
- Batista, G.; Prati, R.; Monard, M. A Study of the Behavior of Several Methods for Balancing Machine Learning Training Data. ACM SIGKDD Explor. Newsl. 2004, 6, 20–29. [Google Scholar] [CrossRef]
- Catal, C.; Diri, B. Investigating the Effect of Dataset Size, Metrics Sets, and Feature Selection Techniques on Software Fault Prediction Problem. Inf. Sci. 2009, 179, 1040–1058. [Google Scholar] [CrossRef]
- Kaur, A.; Kaur, K.; Pathak, K. Software Maintainability Prediction by Data Mining of Software Code Metrics. In Proceedings of the International Conference on Data Mining and Intelligent Computing, Delhi, India, 5–6 September 2014; pp. 1–6. [Google Scholar]
- Fernandez-Delgado, M.; Cernadas, E.; Barro, S.; Amorim, D. Do we need hundreds of classifiers to solve real world classification problems? J. Mach. Learn. Res. 2014, 15, 3133–3181. [Google Scholar]
- Fu, W.; Menzies, T.; Shen, X. Tuning for Software Analytics: Is it Really Necessary? Inf. Softw. Technol. 2016, 76, 135–146. [Google Scholar] [CrossRef] [Green Version]
- Tantithamthavorn, C.; McIntosh, S.; Hassan, A.; Matsumoto, K. Automated Parameter Optimization of Classification Techniques for Defect Prediction Models. In Proceedings of the International Conference on Software Engineering 2016, Austin, TX, USA, 14–22 May 2016; pp. 321–332. [Google Scholar]
- Wright, H.; Kim, M.; Perry, D. Validity Concerns in Software Engineering Research. In Proceedings of the FSE/SDP Workshop on Future of Software Engineering Research, Santa Fe, NM, USA, 7–8 November 2010; pp. 411–414. [Google Scholar]
- Khoshgoftaar, T.; Seliya, N.; Sundaresh, N. An Empirical Study of Predicting Software Faults with Case-Based Reasoning. Softw. Qual. J. 2006, 14, 85–111. [Google Scholar] [CrossRef]
- Pai, G.; Dugan, J. Empirical Analysis of Software Fault Content and Fault Proneness Using Bayesian Methods. IEEE Trans. Softw. Eng. 2007, 33, 675–686. [Google Scholar] [CrossRef]




| Feature Selection Techniques | Sampling Techniques | |
|---|---|---|
| First scenario | NO | NO | 
| Second scenario | YES | NO | 
| Third scenario | NO | YES | 
| Fourth scenario | YES | YES | 
| Dataset Name | # Classes | # Release | Time Interval | URL | 
|---|---|---|---|---|
| antlr4 | 436 | 5 | 21 January 2013–22 January 2015 | https://github.com/antlr/antlr4 (accessed on 4 June 2020) | 
| junit | 657 | 8 | 13 April 2012–28 December 2014 | https://github.com/junit-team/junit (accessed on 4 June 2020) | 
| MapDB | 439 | 6 | 1 April 2013–20 June 2015 | https://github.com/jankotek/MapDB (accessed on 4 June 2020) | 
| mcMMO | 301 | 5 | 24 June 2012–29 March 2014 | https://github.com/mcMMO-Dev/mcMMO (accessed on 4 June 2020) | 
| mct | 2162 | 3 | 30 June 2012–27 September 2013 | https://github.com/nasa/mct (accessed on 4 June 2020) | 
| oryx | 536 | 4 | 11 November 2013–10 June 2015 | https://github.com/cloudera/oryx (accessed on 4 June 2020) | 
| titan | 1486 | 6 | 7 September 2012–13 February 2015 | https://github.com/thinkaurelius/titan (accessed on 4 June 2020) | 
| Dataset Name | # Instances | # True Value | % True Value | # False Value | % False Value | Category of Difference between True and False | 
|---|---|---|---|---|---|---|
| antlr4 | 436 | 23 | 5.28% | 413 | 94.72% | Small | 
| junit | 657 | 9 | 1.37% | 648 | 98.63% | Medium | 
| MapDB | 439 | 4 | 0.91% | 435 | 99.09% | Large | 
| mcMMO | 301 | 4 | 1.33% | 297 | 98.67% | Medium | 
| mct | 2162 | 15 | 0.69% | 2147 | 99.31% | Large | 
| oryx | 536 | 15 | 2.80% | 521 | 97.20% | Small | 
| titan | 1486 | 13 | 0.87% | 1473 | 99.13% | Large | 
| Category | Metrics | 
|---|---|
| Cohesion | LCOM5 | 
| Complexity | NL, NLE and WMC | 
| Coupling | CBO, CBOI, NII, NOI and RFC | 
| Documentation | AD, CD, CLOC, DLOC, PDA, PUA, TCD, and TCLOC | 
| Inheritance | DIT, NOA, NOC, NOD and NOP | 
| Size | LOC, LLOC, NA, NG, NLA, NLG, NLM, NLPA, NLPM, NLS, NM, NPA, NPM, NS, NOS, TLOC, TLLOC, TNA, TNG, TNLA, TNLG, TNLM, TNLPA, TNLPM, TNLS, TNM, TNPA, TNPM, TNS and TNOS | 
| Code duplication | CCL, CCO, CC, CI, CLC, CLLC, LDC and LLDC | 
| Warning | WarningBlocker, WarningCritical, WarningInfo, WarningMajor and WarningMinor | 
| Rules | Android Rules, Basic Rules, Brace Rules, Clone Implementation Rules, Clone Metric Rules, Code Size Rules, Cohesion Metric Rules, Comment Rules, Complexity Metric Rules, Controversial Rules, Coupling Metric Rules, Coupling Rules, Design Rules, Documentation Metric Rules, Empty Code Rules, Finalizer Rules, Import Statement Rules, Inheritance Metric Rules, J2EE Rules, JUnit Rules, Jakarta Commons Logging Rules, Java Logging Rules, JavaBean Rules, MigratingToJUnit4 Rules, Migration Rules, Migration13 Rules, Migration14 Rules, Migration15 Rules, Naming Rules, Optimization Rules, Security Code Guideline Rules, Size Metric Rules, Strict Exception Rules, String and StringBuffer Rules, Type Resolution Rules, Unnecessary and Unused Code Rules and Vulnerability Rules’ | 
| Analysis Technique | Description of Metrics Removed | Datasets | ||||||
|---|---|---|---|---|---|---|---|---|
| antl4 | junit | MapDB | mcMMO | mct | oryx | titan | ||
| Number of metrics removed | ||||||||
| Descriptive statistics | Remove metrics with zero values | 13 | 15 | 14 | 17 | 9 | 15 | 12 | 
| Spearman correlation | Remove metrics with a strong correlation with others | 35 | 32 | 31 | 37 | 33 | 32 | 38 | 
| Number of metrics remained | ||||||||
| 54 | 55 | 57 | 48 | 60 | 55 | 52 | ||
| Metrics | Datasets | ||||||
|---|---|---|---|---|---|---|---|
| antl4 | junit | MapDB | mcMMO | mct | oryx | titan | |
| CC | √ | √ | |||||
| LCOM5 | √ | √ | |||||
| PUA | √ | √ | √ | ||||
| NM | √ | ||||||
| WarningInfo | √ | √ | √ | ||||
| WarningMajor | √ | √ | √ | ||||
| Clone Metric Rules | √ | ||||||
| JUnit Rules | √ | √ | √ | ||||
| String and StringBuffer Rules | √ | √ | √ | ||||
| Type Resolution Rules | √ | ||||||
| NOI | √ | √ | |||||
| RFC | √ | √ | √ | ||||
| LLOC | √ | √ | |||||
| TNM | √ | ||||||
| TNOS | √ | ||||||
| WarningCritical | √ | ||||||
| Cohesion Metric Rules | √ | √ | √ | ||||
| Type Resolution Rules | √ | ||||||
| WarningMinor | √ | √ | √ | ||||
| Basic Rules | √ | √ | |||||
| Complexity Metric Rules | √ | √ | |||||
| Controversial Rules | √ | ||||||
| Migration Rules | √ | ||||||
| Naming Rules | √ | √ | |||||
| Strict Exception Rules | √ | ||||||
| NL | √ | √ | |||||
| CBOI | √ | ||||||
| NII | √ | ||||||
| NA | √ | ||||||
| NLA | √ | ||||||
| Empty Code Rules | √ | √ | |||||
| Strict Exception Rules | √ | ||||||
| CBO | √ | ||||||
| Coupling Metric Rules | √ | ||||||
| Optimization Rules | √ | ||||||
| AD | √ | ||||||
| CD | √ | ||||||
| NLG | √ | ||||||
| NLM | √ | ||||||
| NLPM | √ | ||||||
| NPM | √ | ||||||
| Documentation Metric Rules | √ | √ | |||||
| TNLPM | √ | ||||||
| Size Metric Rules | √ | ||||||
| Before Applying SMOTE | % of SMOTE | After Applying SMOTE | |||||||||
|---|---|---|---|---|---|---|---|---|---|---|---|
| Dataset Name | # Classes | # True Values | % True Values | # False Values | % False Values | # Classes | # True Values | % True Values | # False Values | % False Values | |
| antlr4 | 436 | 23 | 5.28% | 413 | 94.72% | %100 | 459 | 46 | 10.02 | 413 | 89.98 | 
| junit | 657 | 9 | 1.37% | 648 | 98.63% | %200 | 675 | 27 | 4 | 648 | 96 | 
| MapDB | 439 | 4 | 0.91% | 435 | 99.09% | %300 | 451 | 16 | 3.55 | 435 | 96.45 | 
| mcMMO | 301 | 4 | 1.33% | 297 | 98.67% | %200 | 309 | 12 | 3.88 | 297 | 96.12 | 
| mct | 2162 | 15 | 0.69% | 2147 | 99.31% | %300 | 2207 | 60 | 2.72 | 2147 | 97.28 | 
| oryx | 536 | 15 | 2.80% | 521 | 97.20% | %100 | 551 | 30 | 5.44 | 521 | 94.56 | 
| titan | 1486 | 13 | 0.87% | 1473 | 99.13% | %300 | 1525 | 52 | 3.41 | 1473 | 96.59 | 
| Before Applying Spread Sub-sample | After Applying Spread Sub-sample | |||||||||
|---|---|---|---|---|---|---|---|---|---|---|
| Dataset Name | # Classes | # True Values | %True Values | # False Values | % False Values | # Classes | # True Values | %True Values | # False Values | % False Values | 
| antlr4 | 459 | 46 | 10.02 | 413 | 89.98 | 142 | 46 | 32.39 | 96 | 67.61 | 
| junit | 675 | 27 | 4.00 | 648 | 96.00 | 83 | 27 | 32.53 | 56 | 67.47 | 
| MapDB | 451 | 16 | 3.55 | 435 | 96.45 | 49 | 16 | 32.65 | 33 | 67.35 | 
| mcMMO | 309 | 12 | 3.88 | 297 | 96.12 | 37 | 12 | 32.43 | 25 | 67.57 | 
| mct | 2207 | 60 | 2.72 | 2147 | 97.28 | 186 | 60 | 32.26 | 126 | 67.74 | 
| oryx | 551 | 30 | 5.44 | 521 | 94.56 | 93 | 30 | 32.26 | 63 | 67.74 | 
| titan | 1525 | 52 | 3.41 | 1473 | 96.59 | 161 | 52 | 32.30 | 109 | 67.70 | 
| Source | Sum of Squares | Degrees of Freedom | Mean Square | F | p-Value | Eta-Squared | 
|---|---|---|---|---|---|---|
| Factor A | 0.78 | 3.00 | 0.26 | 13.95 | 0.00 | 0.28 | 
| Error | 2.02 | 108.00 | 0.02 | |||
| Total | 2.80 | 111.00 | 
| Scenario | First | Second | Third | Fourth | ||||||||
|---|---|---|---|---|---|---|---|---|---|---|---|---|
| Mtry | AUC-T | AUC-D | Mtry | AUC-T | AUC-D | Mtry | AUC-T | AUC-D | Mtry | AUC-T | AUC-D | |
| antlr4 | 3 | 0.81 | 0.7 | 2 | 0.84 | 0.81 | 6 | 0.94 | 0.89 | 1 | 0.87 | 0.85 | 
| junit | 15 | 0.84 | 0.73 | 3 | 0.81 | 0.75 | 5 | 0.95 | 0.92 | 5 | 0.89 | 0.85 | 
| MapDB | 2 | 0.90 | 0.79 | 10 | 0.72 | 0.7 | 8 | 0.96 | 0.89 | 2 | 0.98 | 0.95 | 
| mcMMO | 11 | 0.89 | 0.79 | 2 | 0.89 | 0.7 | 6 | 1.00 | 0.98 | 5 | 0.98 | 0.96 | 
| mct | 2 | 0.96 | 0.89 | 4 | 0.96 | 0.89 | 1 | 0.99 | 0.99 | 14 | 0.99 | 0.98 | 
| oryx | 8 | 0.82 | 0.81 | 1 | 0.85 | 0.8 | 6 | 0.94 | 0.92 | 14 | 0.90 | 0.85 | 
| titan | 8 | 0.90 | 0.81 | 6 | 0.85 | 0.8 | 15 | 0.99 | 0.97 | 2 | 0.93 | 0.9 | 
| Average | NA | 0.87 | 0.79 | NA | 0.85 | 0.78 | NA | 0.97 | 0.94 | NA | 0.93 | 0.91 | 
| % of change | NA | 10.13% | NA | 8.97% | NA | 3.19% | NA | 2.20% | ||||
| Publisher’s Note: MDPI stays neutral with regard to jurisdictional claims in published maps and institutional affiliations. | 
© 2022 by the authors. Licensee MDPI, Basel, Switzerland. This article is an open access article distributed under the terms and conditions of the Creative Commons Attribution (CC BY) license (https://creativecommons.org/licenses/by/4.0/).
Share and Cite
Alsolai, H.; Roper, M. The Impact of Ensemble Techniques on Software Maintenance Change Prediction: An Empirical Study. Appl. Sci. 2022, 12, 5234. https://doi.org/10.3390/app12105234
Alsolai H, Roper M. The Impact of Ensemble Techniques on Software Maintenance Change Prediction: An Empirical Study. Applied Sciences. 2022; 12(10):5234. https://doi.org/10.3390/app12105234
Chicago/Turabian StyleAlsolai, Hadeel, and Marc Roper. 2022. "The Impact of Ensemble Techniques on Software Maintenance Change Prediction: An Empirical Study" Applied Sciences 12, no. 10: 5234. https://doi.org/10.3390/app12105234
APA StyleAlsolai, H., & Roper, M. (2022). The Impact of Ensemble Techniques on Software Maintenance Change Prediction: An Empirical Study. Applied Sciences, 12(10), 5234. https://doi.org/10.3390/app12105234
 
         
                                                

 
        
      