Investigation of Performance and Configuration of a Selected IoT System—Middleware Deployment Benchmarking and Recommendations
Abstract
:1. Introduction
- proper design of infrastructure (server, network, storage) so that performance and scalability as well as availability requirements can be met—we can call it a good balance between hardware capacity and software requirements [2],
- portability—in terms of possibility to move the deployment to another environment easily (also considering time) [3],
- scalability—in terms of possibility to scale the system to allow successful and efficient handling of more requests. This can be considered both in terms of server scaling as well as scaling versus the number of clients (threads) [4].
2. Related Work
3. Investigation of Scalability and Impact of Virtualization on Performance of the System
3.1. Testbed Description
3.1.1. Server Software and Hardware
- SiteWhere,
- ThingsBoard,
- DeviceHive.
3.1.2. Device Simulator Software and Hardware
- access check—authorization,
- send notification periodically—randomly generated 36 bytes of data,
- random decision to disconnect (connection problem simulator).
3.1.3. Benchmarking Process
- request send and related response received timestamps—client (device) side,
- request processing begin timestamp—server side,
- request processing end timestamp—server side,
- request processed with or without errors—server side.
- taskset -c 0-1—two physical cores of CPU 0,
- taskset -c 0-3—four physical cores of CPU 0,
- taskset -c 0-19—10 physical cores of CPU 0 and 10 physical cores of CPU 1,
- taskset -c 0-39—all logical cores in the system (including HyperThreading technology).
3.1.4. Evaluation Metrics
- cores used by the middleware,
- IoT devices.
- number of cores on scalability,
- containerization on scalability,
- containerization on performance.
3.2. Results Analysis
3.2.1. Influence of Server Core Number on Scalability
- C0–1—2 CPU cores,
- C0–3—4 CPU cores,
- C0–19—20 CPU cores,
- C0–39—40 CPU cores (including HyperThreading).
3.2.2. Influence of Containerization on Scalability
3.2.3. Influence of Containerization on Performance
3.3. Observations and Conclusions
4. Investigation of Scalable Configurations Using Containerization
4.1. Testbed Description
- two server elements—one for a front-end service and one for an authorization service,
- SSL enabled on the server side,
- worker connections and backlog equal to 9000,
- n application nodes defined,
- connection between the load balancer and application nodes is plain HTTP (without SSL).
4.2. Benchmarking Process
- 1 node with 20 cores assigned without load balancer,
- 1 node with 20 cores assigned with load balancer,
- 2 nodes with 10 cores each with load balancer,
- 5 nodes with 4 cores each with load balancer,
- 10 nodes with 2 cores each with load balancer,
- 7 nodes with 3 cores each with load balancer.
4.3. Evaluation Metrics
- percent of invalid messages processed within the test time frame,
- comparison of median and mean values of processing time on the client side.
4.4. Results Analysis
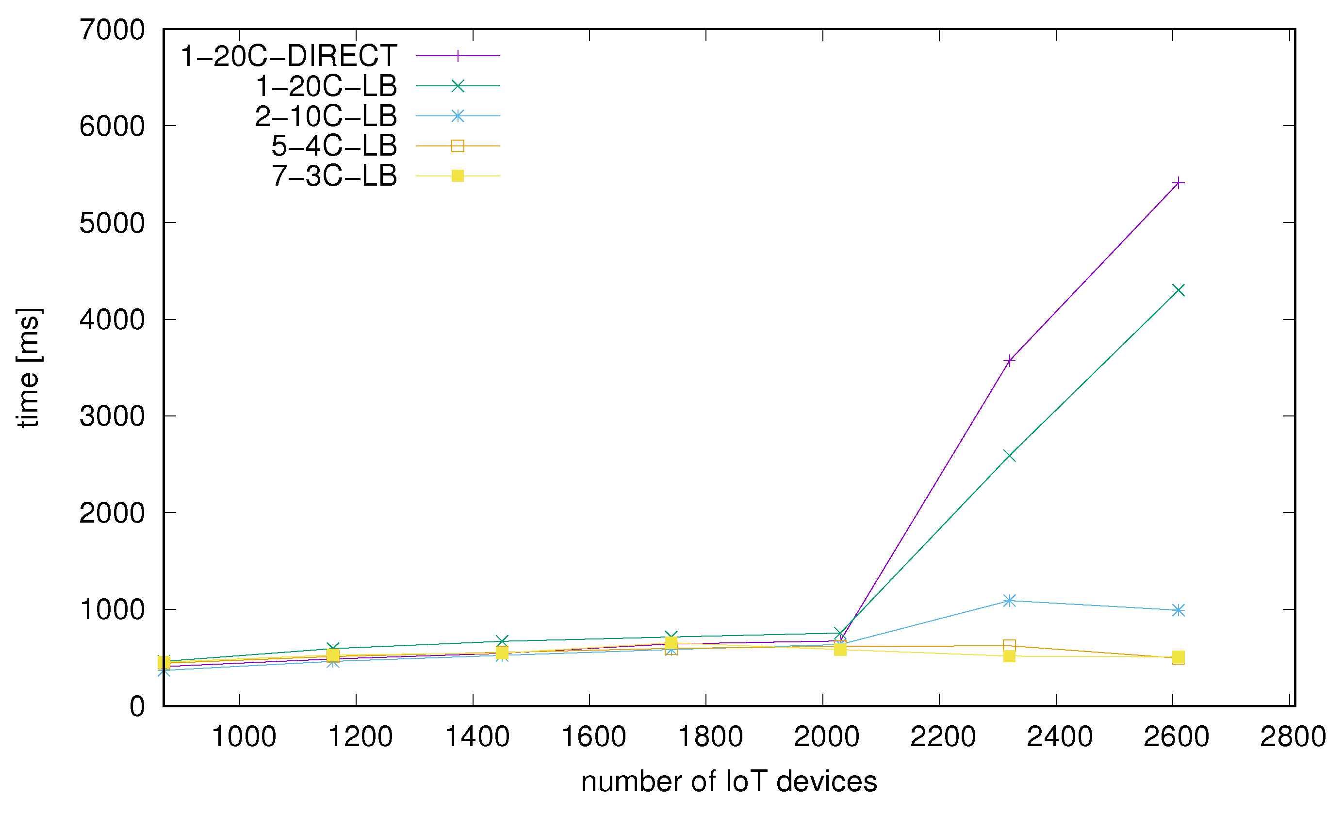
4.4.1. Performance of Different Set-Ups
4.4.2. Stability of Different Configurations
4.4.3. Impact of Load Balancer on Processing Time
5. Conclusions and Future Work
- ease of scalability—using an additional container allows to scale up the system,
- ease of portability—once configured image of a platform environment may be simply transferred and run on another machine i.e., a backup environment,
- good balance between hardware capacity and software requirements—having high-end hardware may allow to run many containers possibly with different applications,
- isolation at application level—when running different containers on same bare-metal using containerization each of these are fail-safe in terms of any software bugs i.e., an application error in one container still allows other containers to run and respond to user requests.
Author Contributions
Funding
Institutional Review Board Statement
Informed Consent Statement
Data Availability Statement
Acknowledgments
Conflicts of Interest
References
- Dearle, A. Software Deployment, Past, Present and Future. In Proceedings of the Future of Software Engineering (FOSE ’07), Minneapolis, MN, USA, 23–25 May 2007; pp. 269–284. [Google Scholar] [CrossRef] [Green Version]
- Shivakumar, S.K. Architecting High Performing, Scalable and Available Enterprise Web Applications; Morgan Kaufmann: San Francisco, CA, USA, 2015. [Google Scholar]
- Odun-Ayo, I.; Okereke, C.; Orovwode, H. Cloud Application Portability: Issues and Developments. In Cloud Computing; Harkut, D.G., Kasat, K.N., Shah, S.A., Eds.; IntechOpen: Rijeka, Croatia, 2019; Chapter 4. [Google Scholar] [CrossRef] [Green Version]
- Czarnul, P.; Gołaszewski, G.; Jereczek, G.; Maciejewski, M. Development and benchmarking a parallel Data AcQuisition framework using MPI with hash and hash+tree structures in a cluster environment. In Proceedings of the 2020 19th International Symposium on Parallel and Distributed Computing (ISPDC), Warsaw, Poland, 5–8 July 2020; pp. 164–171. [Google Scholar] [CrossRef]
- Anderson, C. Docker [Software engineering]. IEEE Softw. 2015, 32, 102-c3. [Google Scholar] [CrossRef]
- Potdar, A.M.; Narayan, D.G.; Kengond, S.; Mulla, M.M. Performance Evaluation of Docker Container and Virtual Machine. Procedia Comput. Sci. 2020, 171, 1419–1428. [Google Scholar] [CrossRef]
- Beserra, D.; Moreno, E.D.; Endo, P.T.; Barreto, J.; Sadok, D.; Fernandes, S. Performance Analysis of LXC for HPC Environments. In Proceedings of the 2015 Ninth International Conference on Complex, Intelligent, and Software Intensive Systems, Santa Catarina, Brazil, 8–10 July 2015; pp. 358–363. [Google Scholar] [CrossRef]
- Beserra, D.; Pinheiro, M.K.; Souveyet, C.; Steffenel, L.A.; Moreno, E.D. Performance Evaluation of OS-Level Virtualization Solutions for HPC Purposes on SoC-Based Systems. In Proceedings of the 2017 IEEE 31st International Conference on Advanced Information Networking and Applications (AINA), Taipei, Taiwan, 27–29 March 2017; pp. 363–370. [Google Scholar] [CrossRef]
- da Silva, V.G.; Kirikova, M.; Alksnis, G. Containers for Virtualization: An Overview. Appl. Comput. Syst. 2018, 23, 21–27. [Google Scholar] [CrossRef] [Green Version]
- Abdul, M.S.; Sam, S.M.; Norliza; Mohamed; Kamardin, K.; Akmam, R.; Dziyauddin. Docker Containers Usage in the Internet of Things: A Survey. Open Int. J. Inform. 2019, 7, 208–220. [Google Scholar]
- Alam, M.; Rufino, J.; Ferreira, J.; Ahmed, S.H.; Shah, N.; Chen, Y. Orchestration of Microservices for IoT Using Docker and Edge Computing. IEEE Commun. Mag. 2018, 56, 118–123. [Google Scholar] [CrossRef]
- Ismail, B.I.; Mostajeran Goortani, E.; Ab Karim, M.B.; Ming Tat, W.; Setapa, S.; Luke, J.Y.; Hong Hoe, O. Evaluation of Docker as Edge computing platform. In Proceedings of the 2015 IEEE Conference on Open Systems (ICOS), Melaka, Malaysia, 24–26 August 2015; pp. 130–135. [Google Scholar] [CrossRef]
- Aruna, K.; Pradeep, G. Measure The IoT Framework Using Docker With Fog Computing. Int. J. Sci. Technol. Res. 2020, 9, 5677–5682. [Google Scholar]
- Giallorenzo, S.; Mauro, J.; Poulsen, M.; Siroky, F. Virtualization Costs: Benchmarking Containers and Virtual Machines Against Bare-Metal. SN Comput. Sci. 2021, 2, 404. [Google Scholar] [CrossRef]
- von Leon, D.; Miori, L.; Sanin, J.; El Ioini, N.; Helmer, S.; Pahl, C. A Lightweight Container Middleware for Edge Cloud Architectures. In Fog and Edge Computing; John Wiley & Sons, Ltd.: Hoboken, NJ, USA, 2019; Chapter 7; pp. 145–170. [Google Scholar] [CrossRef]
- Agarwal, P.; Alam, M. Investigating IoT Middleware Platforms for Smart Application Development. arXiv 2019, arXiv:1810.12292. [Google Scholar]
- Ismail, A.A.; Hamza, H.S.; Kotb, A.M. Performance Evaluation of Open Source IoT Platforms. In Proceedings of the 2018 IEEE Global Conference on Internet of Things (GCIoT), Alexandria, Egypt, 5–7 December 2018; pp. 1–5. [Google Scholar] [CrossRef]
- da Cruz, M.A.; Rodrigues, J.J.; Sangaiah, A.K.; Al-Muhtadi, J.; Korotaev, V. Performance evaluation of IoT middleware. J. Netw. Comput. Appl. 2018, 109, 53–65. [Google Scholar] [CrossRef]
- Tyagi, V.; Rawat, N.; Ram, M. Reliability modelling and sensitivity analysis of IoT based flood alerting system. J. Qual. Maint. Eng. 2021, 27, 292–307. [Google Scholar] [CrossRef]
- Ur-Rehman, A.; Gondal, I.; Kamruzzaman, J.; Jolfaei, A. Sensitivity Analysis for Vulnerability Mitigation in Hybrid Networks. Electronics 2022, 11, 238. [Google Scholar] [CrossRef]
- Putri, A.R.; Munadi, R.; Negara, R.M. Performance analysis of multi services on container Docker, LXC, and LXD. Bull. Electr. Eng. Inform. 2020, 9, 2008–2016. [Google Scholar] [CrossRef]
- Felter, W.; Ferreira, A.; Rajamony, R.; Rubio, J. An updated performance comparison of virtual machines and Linux containers. In Proceedings of the 2015 IEEE International Symposium on Performance Analysis of Systems and Software (ISPASS), Philadelphia, PA, USA, 29–31 March 2015; pp. 171–172. [Google Scholar] [CrossRef] [Green Version]
- Park, Y.; Yang, H.; Dinh, T.; Kim, Y. Design and implementation of a container-based virtual client architecture for interactive digital signage systems. Int. J. Distrib. Sens. Netw. 2017, 13, 1550147717717864. [Google Scholar] [CrossRef] [Green Version]
- Noor, S.; Koehler, B.; Steenson, A.; Caballero, J.; Ellenberger, D.; Heilman, L. IoTDoc: A Docker-Container Based Architecture of IoT-Enabled Cloud System. In Big Data, Cloud Computing, and Data Science Engineering; Springer International Publishing: Cham, Switzerland, 2020; pp. 51–68. [Google Scholar] [CrossRef]
- Islam, J.; Harjula, E.; Kumar, T.; Karhula, P.; Ylianttila, M. Docker Enabled Virtualized Nanoservices for Local IoT Edge Networks. In Proceedings of the 2019 IEEE Conference on Standards for Communications and Networking (CSCN), Granada, Spain, 28–30 October 2019; pp. 1–7. [Google Scholar] [CrossRef] [Green Version]
- Ahmed, B.; Seghir, B.; Al-Osta, M.; Abdelouahed, G. Container Based Resource Management for Data Processing on IoT Gateways. Procedia Comput. Sci. 2019, 155, 234–241. [Google Scholar] [CrossRef]
- Morabito, R.; Farris, I.; Iera, A.; Taleb, T. Evaluating Performance of Containerized IoT Services for Clustered Devices at the Network Edge. IEEE Internet Things J. 2017, 4, 1019–1030. [Google Scholar] [CrossRef] [Green Version]
- Morabito, R. A performance evaluation of container technologies on Internet of Things devices. In Proceedings of the 2016 IEEE Conference on Computer Communications Workshops (INFOCOM WKSHPS), San Francisco, CA, USA, 10–14 April 2016; pp. 999–1000. [Google Scholar] [CrossRef] [Green Version]
- Ruchika. Evaluation of Docker for IoT Application. Int. J. Recent Innov. Trends Comput. Commun. 2016, 4, 624–628. [Google Scholar] [CrossRef]
- Chung, M.T.; Quang-Hung, N.; Nguyen, M.T.; Thoai, N. Using Docker in high performance computing applications. In Proceedings of the 2016 IEEE Sixth International Conference on Communications and Electronics (ICCE), Ha-Long, Vietnam, 27–29 July 2016; pp. 52–57. [Google Scholar] [CrossRef]
- Saha, P.; Beltre, A.; Uminski, P.; Govindaraju, M. Evaluation of Docker Containers for Scientific Workloads in the Cloud. arXiv 2019, arXiv:1905.08415. [Google Scholar]
- Rezende Alles, G.; Carissimi, A.; Mello Schnorr, L. Assessing the Computation and Communication Overhead of Linux Containers for HPC Applications. In Proceedings of the 2018 Symposium on High Performance Computing Systems (WSCAD), Sao Paulo, Brazil, 1–3 October 2018; pp. 116–123. [Google Scholar] [CrossRef]
- Kałaska, R.; Czarnul, P. Benchmarking Scalability and Security Configuration Impact for A Distributed Sensors-Server IOT Use Case. In Proceedings of the 37th IBIMA Conference, Cordoba, Spain, 1–2 April 2021. [Google Scholar]
- Shopov, M.P. An M2M solution for smart metering in electrical power systems. In Proceedings of the 2016 39th International Convention on Information and Communication Technology, Electronics and Microelectronics (MIPRO), Opatija, Croatia, 30 May–3 June 2016; pp. 1141–1144. [Google Scholar] [CrossRef]
- Lyaskov, M.; Spasov, G.; Petrova, G. A practical implementation of smart home energy data storage and control application based on cloud services. In Proceedings of the 2017 XXVI International Scientific Conference Electronics (ET), Sozopol, Bulgaria, 13–15 September 2017; pp. 1–4. [Google Scholar] [CrossRef]
- Microservices Adoption in 2020. Available online: https://www.oreilly.com/radar/microservices-adoption-in-2020/ (accessed on 26 April 2022).
- SiteWhere Documentation. Available online: https://sitewhere.io/docs/2.1.0/platform/ (accessed on 26 April 2022).
- ThingsBoard Documentation. Available online: https://thingsboard.io/docs/getting-started-guides/helloworld/ (accessed on 26 April 2022).
- DeviceHive Documentation. Available online: https://github.com/devicehive/devicehive-java-server/wiki/Getting-started (accessed on 26 April 2022).
- Czarnul, P. Parallel Programming for Modern High Performance Computing Systems; Chapman and Hall/CRC Press/Taylor & Francis: Boca Raton, FL, USA, 2018. [Google Scholar]
- Czarnul, P. Assessment of OpenMP Master–Slave Implementations for Selected Irregular Parallel Applications. Electronics 2021, 10, 1188. [Google Scholar] [CrossRef]
- Amir Radwat. Testing the Performance of NGINX and NGINX PlusWeb Servers. Available online: https://www.nginx.com/blog/testing-the-performance-of-nginx-and-nginx-plus-web-servers/ (accessed on 10 February 2022).
- DeviceHive Homepage. Available online: https://devicehive.com (accessed on 26 April 2022).
- Krzywaniak, A.; Czarnul, P.; Proficz, J. Extended investigation of performance-energy trade-offs under power capping in HPC environments. In Proceedings of the 17th International Conference on High Performance Computing & Simulation, HPCS 2019, Dublin, Ireland, 15–19 July 2019; pp. 440–447. [Google Scholar] [CrossRef]














| Configuration | Number of Successfully Processed Messages | RAM Usage at Start of Test |
|---|---|---|
| 1 node 20 cores without load balancer | 916,281 | 6.49% |
| 1 node 20 cores with load balancer | 923,957 | 6.49% |
| 2 nodes 10 cores with load balancer | 1,143,067 | 12.83% |
| 5 nodes 4 cores with load balancer | 1,221,302 | 27.01% |
| 7 nodes 3 cores with load balancer | 1,086,165 | 36.55% |
| Configuration | Percentage Difference of Successfully Processed Messages to Best Setup |
|---|---|
| 1 node 20 cores without load balancer | −24.98% |
| 1 node 20 cores with load balancer | −24.35% |
| 2 nodes 10 cores with load balancer | −6.41% |
| 7 nodes 3 cores with load balancer | −11.06% |
Publisher’s Note: MDPI stays neutral with regard to jurisdictional claims in published maps and institutional affiliations. |
© 2022 by the authors. Licensee MDPI, Basel, Switzerland. This article is an open access article distributed under the terms and conditions of the Creative Commons Attribution (CC BY) license (https://creativecommons.org/licenses/by/4.0/).
Share and Cite
Kałaska, R.; Czarnul, P. Investigation of Performance and Configuration of a Selected IoT System—Middleware Deployment Benchmarking and Recommendations. Appl. Sci. 2022, 12, 5212. https://doi.org/10.3390/app12105212
Kałaska R, Czarnul P. Investigation of Performance and Configuration of a Selected IoT System—Middleware Deployment Benchmarking and Recommendations. Applied Sciences. 2022; 12(10):5212. https://doi.org/10.3390/app12105212
Chicago/Turabian StyleKałaska, Robert, and Paweł Czarnul. 2022. "Investigation of Performance and Configuration of a Selected IoT System—Middleware Deployment Benchmarking and Recommendations" Applied Sciences 12, no. 10: 5212. https://doi.org/10.3390/app12105212
APA StyleKałaska, R., & Czarnul, P. (2022). Investigation of Performance and Configuration of a Selected IoT System—Middleware Deployment Benchmarking and Recommendations. Applied Sciences, 12(10), 5212. https://doi.org/10.3390/app12105212

