Model Test Study of Offshore Wind Turbine Foundation under the Combined Action of Wind Wave and Current
Abstract
:1. Introduction
2. Experimental design
2.1. Test Soil
2.2. Model Structure
2.3. Similarity Relationship
2.4. Test Loads
2.4.1. The Calculation Theory of Wind, Wave and Current
2.4.2. Combination and Simplification of Wind, Wave and Current
2.5. Test Device
2.6. Design of Test Conditions
3. Analysis of Discussion
3.1. Analysis of Static Loading Test Results
3.2. Analysis of Short-Term Effect Test Results of Extreme Wind, Wave and Current
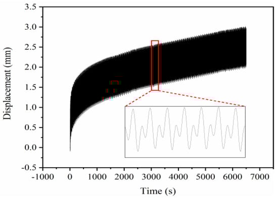
3.3. Analysis of Long–Term Effects of Normal Wind, Wave and Current on Test Results
4. Conclusions
Author Contributions
Funding
Institutional Review Board Statement
Informed Consent Statement
Data Availability Statement
Conflicts of Interest
References
- Xu, L.Y.; Song, C.X.; Chen, W.Y. Liquefaction-induced settlement of the pile group under vertical and horizontal ground motions. Soil Dyn. Earthq. Eng. 2021, 144, 106709. [Google Scholar] [CrossRef]
- Chen, W.; Huang, L.; Xu, L.; Zhao, K.; Wang, Z.; Jeng, D. Numerical study on the frequency response of offshore monopile foundation to seismic excitation. Comput. Geotech. 2021, 138, 104342. [Google Scholar] [CrossRef]
- Frick, D.; Achmus, M. An experimental study on the parameters affecting the cyclic lateral response of monopiles for offshore wind turbines in sand. Soils Found. 2020, 60, 1570–1587. [Google Scholar] [CrossRef]
- Lombardi, D.; Bhattacharya, S.; Wood, D.M. Dynamic soil-structure interaction of monopile supported wind turbines in cohesive soil. Soil Dyn. Earthq. Eng. 2013, 49, 165–180. [Google Scholar] [CrossRef]
- Pan, D.; Lucarelli, A.; Cheng, Z. Field test of monopile for offshore wind turbine foundations. In Proceedings of the Geotechnical and Structural Engineering Congress 2016, Phoenix, AZ, USA, 14–17 February 2016. [Google Scholar]
- Zhu, B.; Yang, Y.Y.; Yu, Z.G.; Guo, J.F.; Chen, Y.M. Field tests on lateral monotonic and cyclic loadings of offshore elevated piles. Chin. J. Geotech. Eng. 2012, 34, 1028–1037. [Google Scholar]
- Romijnders, L.N.G. The Development of a New Segmented Deepwater Wave Generator. In Proceedings of the Fourth International Symposium on Ocean Wave Measurement and Analysis, San Francisco, CA, USA, 2–6 September 2001. [Google Scholar]
- Utsunomiya, T.; Sato, T.; Matsukuma, H.; Yago, K. Experimental Validation for Motion of a SPAR-Type Floating Offshore Wind Turbine Using 1/22.5 Scale Model. In Proceedings of the ASME International Conference on Ocean, Honolulu, HI, USA, 31 May–5 June 2009. [Google Scholar]
- Eitaro, N.; Tomoaki, U.; Iku, S. Irregurar wave experiment on motion of floating foundations of cylindrical shape for offshore wind turbine. Proc. Civ. Eng. Ocean 2008, 24, 135–140. [Google Scholar]
- Hansen, N.M. Interaction between Seabed Soil and Offshore Wind Turbine Foundations. Ph.D. Thesis, Danmarks Tekniske Universitet, Copenhagen, Denmark, 2012. [Google Scholar]
- Kuo, Y.S.; Achmus, M.; Abdel-Rahman, K. Minimum embedded length of cyclic horizontally loaded monopiles. J. Geotech. Geoenvironmental Eng. 2012, 138, 357–363. [Google Scholar] [CrossRef]
- Buckingham, E. The principle of similitude. Nature 1915, 96, 396–397. [Google Scholar] [CrossRef] [Green Version]
- Cuéllar, V.P. Pile Foundations for Offshore Wind Turbines: Numerical and Experimental Investigations on the Behavior under Short-Term and Long-Term Cyclic Loading. Ph.D. Thesis, Technischen Universität Berlin, Berlin, Germany, 2012. [Google Scholar]
- Poulos, H.G.; Hull, T.S. The Role of Analytical Geomechanics in Foundation Engineering. Foundation Engineering: Current Principles and Practices; ASCE: Reston, VA, USA, 1989. [Google Scholar]
- Ovesen, N.K. The use of physical models in design: The scaling law relationship. In Proceedings of the 7th European Conference on Soil Mechanics and Foundation Engineering, Brighton, UK, September 1979; Volume 4, pp. 318–323. [Google Scholar]
- Kareem, A.; Kijewski, T. Time-frequency analysis of wind effects on structures. J. Wind. Eng. Ind. Aerodyn. 2002, 90, 1435–1452. [Google Scholar] [CrossRef]
- Simiu, E.; Scanlan, R.H. Wind effects on structures: An introduction to wind engineering. Arch. Proc. Inst. Mech. Eng. 1970, 185, 301–317. [Google Scholar]
- Davenport, A.G. The relationship of reliability to wind loading. J. Wind. Eng. Ind. Aerodyn. 1983, 13, 3–27. [Google Scholar] [CrossRef]
- Zhang, X.L.; Liu, J.X.; Han, Y.; Du, X.L. A framework for evaluating the bearing capacity of offshore wind power foundation under complex loadings. Appl. Ocean. Res. 2018, 80, 66–78. [Google Scholar] [CrossRef]
- Méhauté, B.L.; Divoky, D.; Lin, A. Shallow water waves: A comparison of theories and experiments. Coast. Eng. Proc. 1968, 1, 7. [Google Scholar] [CrossRef]
- Nogami, T.; Novak, M. Resistance of soil to a horizontally vibrating pile. Earthq. Eng. Struct. Dyn. 2010, 5, 249–261. [Google Scholar] [CrossRef]
- Ashour, M.; Norris, G. Lateral loaded pile response in liquefiable soil. J. Geotech. Geoenviron. Eng. 2003, 129, 404–414. [Google Scholar] [CrossRef]
- Leblanc, C.; Houlsby, G.T.; Byrne, B.W. Response of stiff piles in sand to long-term cyclic lateral loading. Géotechnique 2010, 60, 79–90. [Google Scholar] [CrossRef]
- Stewart, D.P.; Randolph, M. T-Bar Penetration Testing in Soft Clay. J. Geotech. Eng. 1994, 120, 2230–2235. [Google Scholar] [CrossRef]
- Broms, B. Lateral resistance of piles in cohesionless soils. ASCE Soil Mech. Found. Div. J. 1964, 90, 123–156. [Google Scholar] [CrossRef]
- Yang, K.; Liang, R. Methods for deriving p-y curves from deviceed lateral load tests. Geotech. Test. J. 2006, 30, 1–8. [Google Scholar]
- Zhu, B.; Sun, Y.X.; Chen, R.P.; Guo, W.D.; Yang, Y.Y. Experimental and Analytical Models of Laterally Loaded Rigid Monopiles with Hardening p-y Curves. J. Waterw. Port Coast. Ocean. Eng. 2015, 141, 04015007. [Google Scholar] [CrossRef]























| Physical Quantity | Law of Similarity | Dimension |
|---|---|---|
| Length, L | LM = LP/λ | L [m] |
| Force, F | FM = FP/λ3 | F [N] |
| Uniform line load, q | qM = qP/λ2 | F/L [N/m] |
| Stress, σ | σM = σP/λ | F/L2 [Pa] |
| Unit weight, γ | γM = γP | F/L3 [N/m3] |
| Moment, M | MM = MP/λ4 | F × L [N·m] |
| Bending rigidity, EI | (EI)M = (EI)P/λ5 | F × L2 [N·m2] |
| Time, t | tM = tP/λ1/2 | T [s] |
| Frequency, f | fM = fP/λ−1/2 | 1/T [Hz] |
| Test Conditions | Group Number | ξ | Cycle Times | Control Method Category |
|---|---|---|---|---|
| Static loading | S1 | 1 mm/s (Loading rate) | / | Displacement control |
| Extreme wind and wave short-term conditions | D1 | 0.3 | 27 | Force control |
| D2 | 0.4 | 27 | Force control | |
| D3 | 0.5 | 27 | Force control | |
| Normal wind and wave long-term conditions | L1 | 0.1 | 5000 | Force control |
| L2 | 0.2 | 5000 | Force control | |
| L3 | 0.3 | 5000 | Force control |
Publisher’s Note: MDPI stays neutral with regard to jurisdictional claims in published maps and institutional affiliations. |
© 2022 by the authors. Licensee MDPI, Basel, Switzerland. This article is an open access article distributed under the terms and conditions of the Creative Commons Attribution (CC BY) license (https://creativecommons.org/licenses/by/4.0/).
Share and Cite
Zhang, X.; Liu, C.; Ye, J. Model Test Study of Offshore Wind Turbine Foundation under the Combined Action of Wind Wave and Current. Appl. Sci. 2022, 12, 5197. https://doi.org/10.3390/app12105197
Zhang X, Liu C, Ye J. Model Test Study of Offshore Wind Turbine Foundation under the Combined Action of Wind Wave and Current. Applied Sciences. 2022; 12(10):5197. https://doi.org/10.3390/app12105197
Chicago/Turabian StyleZhang, Xiaoling, Chengrui Liu, and Jianhong Ye. 2022. "Model Test Study of Offshore Wind Turbine Foundation under the Combined Action of Wind Wave and Current" Applied Sciences 12, no. 10: 5197. https://doi.org/10.3390/app12105197
APA StyleZhang, X., Liu, C., & Ye, J. (2022). Model Test Study of Offshore Wind Turbine Foundation under the Combined Action of Wind Wave and Current. Applied Sciences, 12(10), 5197. https://doi.org/10.3390/app12105197

