A Multi-Strategy Improved Sparrow Search Algorithm for Solving the Node Localization Problem in Heterogeneous Wireless Sensor Networks
Abstract
:1. Introduction
- An improved sparrow search algorithm that incorporates the golden sine strategy, particle swarm optimal idea, and Gaussian perturbation is proposed. It shows a better performance in finding the optimal than the sparrow search algorithm and other comparative algorithms;
- ISSA is applied to the problem of solving the coordinates of unknown nodes in HWSNs. It achieves better localization accuracy compared with the localization algorithm using the remaining 15 meta-heuristic algorithms and LS.
2. Basic SSA and Its Improvement
2.1. Basic SSA
2.1.1. Updating Producer’s Location
2.1.2. Updating Scrounger’s Location
2.1.3. Updating Investigator’s Location
2.2. Improved Sparrow Algorithm
2.2.1. Introduction of Golden Sine Strategy
| Algorithm 1: Pseudo-code for partial parameter update of Gold-SA | |
| /* F represents the current fitness value, G represents the global optimal value, random1 and random2 represent random numbers between [0, 1] */ | |
| Input: x1←a·(1 − τ) + b·τ; x2←a·τ + b·(1 − τ); a←−π; b←π; | |
| Output: x1, x2 | |
| 1: | if (F < G) then |
| 2: | b ← x2; x2 ← x1; x1 ← a·τ + b·(1 − τ); |
| 3: | else |
| 4: | a ← x1; x1 ← x2; x2 ← a·(1 − τ) + b·τ; |
| 5: | end if |
| 6: | if (x1 = x2) then |
| 7: | a ← random1; b ← random2; |
| 8: | x1 ← a·τ + b·(1 − τ); x2 ← a·(1 − τ) + b·τ; |
| 9: | end if |
2.2.2. Introduction of Individual Optimal Strategies
2.2.3. Gaussian Perturbation
3. Experimental Results and Analysis
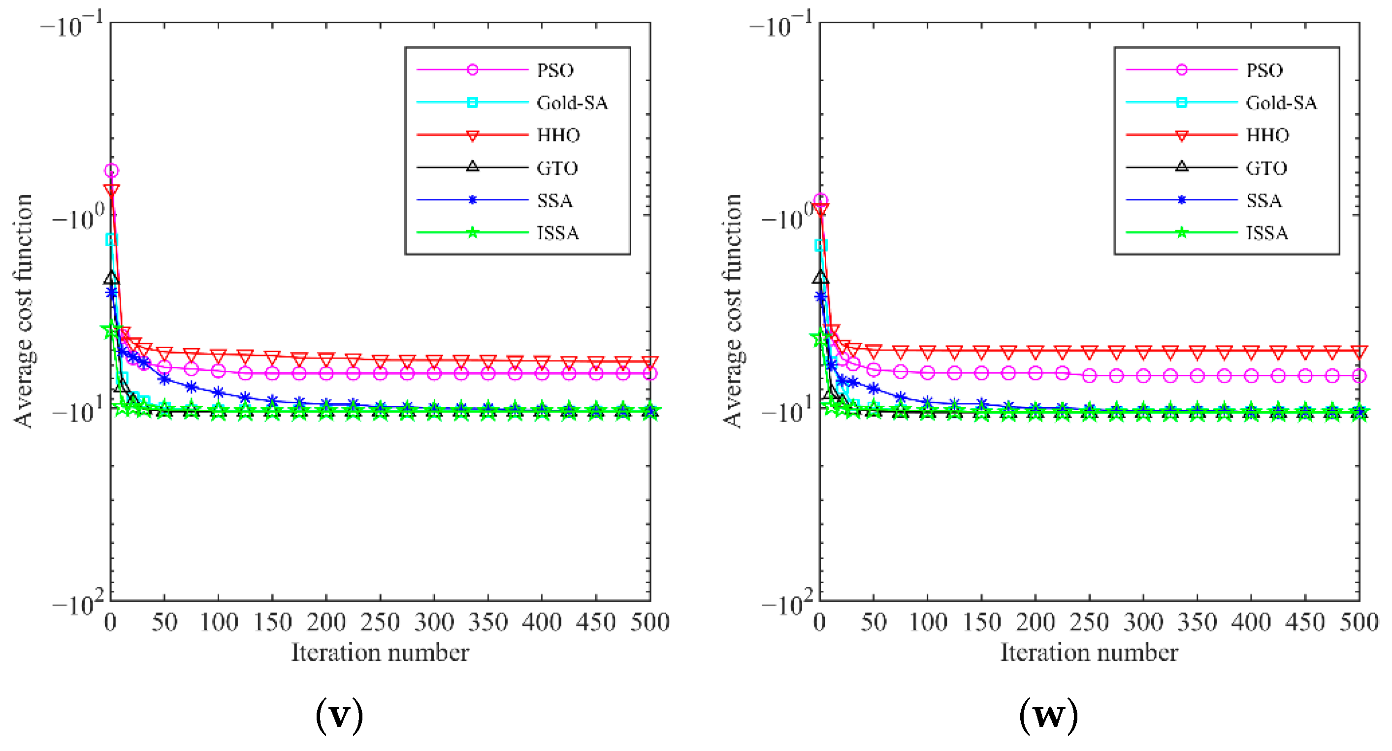
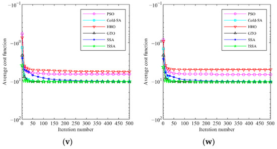
3.1. Convergence Accuracy Analysis
3.2. Convergence Speed Analysis
3.3. Wilcoxon Rank Sum Test
3.4. Time Complexity Analysis
4. Application of ISSA in Node Location in HWSNs
4.1. Node Localization Problem in HWSNs
4.2. Network Model
4.3. Localization Steps
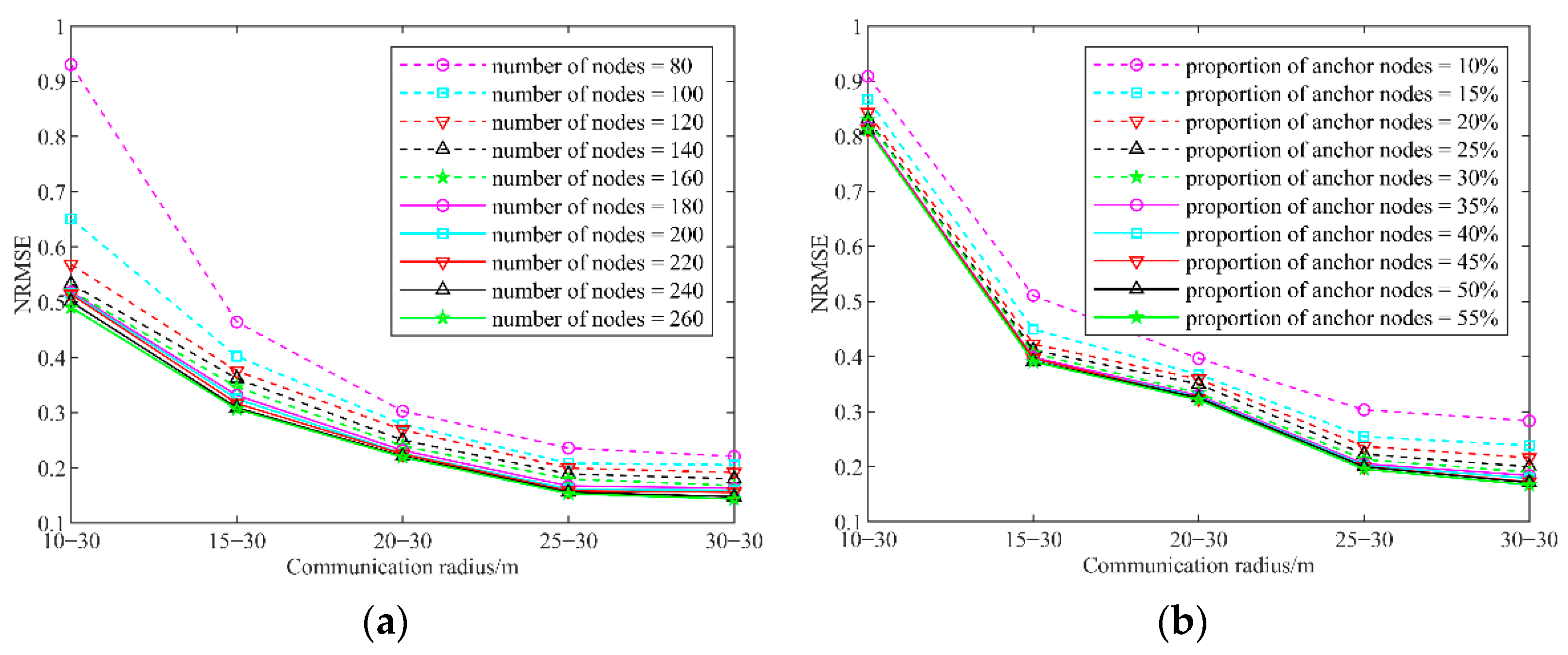
4.4. Performance Evaluation
4.5. Effect of Parameter Variation on Localization Accuracy in HWSNs
5. Conclusions
Author Contributions
Funding
Institutional Review Board Statement
Informed Consent Statement
Data Availability Statement
Conflicts of Interest
References
- Phoemphon, S.; So-In, C.; Leelathakul, N. Improved distance estimation with node selection localization and particle swarm optimization for obstacle-aware wireless sensor networks. Expert Syst. Appl. 2021, 175, 114773. [Google Scholar] [CrossRef]
- Nemer, I.; Sheltami, T.; Shakshuki, E.; Elkhail, A.A.; Adam, M. Performance evaluation of range-free localization algorithms for wireless sensor networks. Pers. Ubiquit. Comput. 2021, 25, 177–203. [Google Scholar] [CrossRef]
- Nithya, B.; Jeyachidra, J. Low-cost localization technique for heterogeneous wireless sensor networks. Int. J. Commun. Syst. 2021, 34, e4733. [Google Scholar] [CrossRef]
- Tu, Q.; Liu, Y.; Han, F.; Liu, X.; Xie, Y. Range-free localization using Reliable Anchor Pair Selection and Quantum-behaved Salp Swarm Algorithm for anisotropic Wireless Sensor Networks. Ad Hoc Netw. 2021, 113, 102406. [Google Scholar] [CrossRef]
- Liu, Z.K.; Liu., Z. Node self-localization algorithm for wireless sensor networks based on modified particle swarm optimization. In Proceedings of the 27th Chinese Control and Decision Conference (2015 CCDC), Qingdao, China, 23–25 May 2015; pp. 5968–5971. [Google Scholar]
- Chai, Q.; Chu, S.; Pan, J.; Hu, P.; Zheng, W. A parallel WOA with two communication strategies applied in DV-Hop localization method. EURASIP J. Wirel. Commun. 2020, 2020, 50. [Google Scholar] [CrossRef]
- Cui, L.; Xu, C.; Li, G.; Ming, Z.; Feng, Y.; Lu, N. A high accurate localization algorithm with DV-Hop and differential evolution for wireless sensor network. Appl. Soft Comput. 2018, 68, 39–52. [Google Scholar] [CrossRef]
- Assaf, A.E.; Zaidi, S.; Affes, S.; Kandil, N. Low-Cost Localization for Multihop Heterogeneous Wireless Sensor Networks. IEEE Trans. Wirel. Commun. 2016, 15, 472–484. [Google Scholar] [CrossRef]
- Wu, W.; Wen, X.; Xu, H.; Yuan, L.; Meng, Q. Efficient range-free localization using elliptical distance correction in heterogeneous wireless sensor networks. Int. J. Distrib. Sens. Netw. 2018, 14, 1–9. [Google Scholar] [CrossRef] [Green Version]
- Bhat, S.J.; Venkata, S.K. An optimization based localization with area minimization for heterogeneous wireless sensor networks in anisotropic fields. Comput. Netw. 2020, 179, 107371. [Google Scholar] [CrossRef]
- Goel, L. An extensive review of computational intelligence-based optimization algorithms: Trends and applications. Soft Comput. 2020, 24, 16519–16549. [Google Scholar] [CrossRef]
- Zhang, J.; Wang, J.S. Improved Whale Optimization Algorithm Based on Nonlinear Adaptive Weight and Golden Sine Operator. IEEE Access 2020, 8, 77013–77048. [Google Scholar] [CrossRef]
- Heidari, A.A.; Mirjalili, S.; Faris, H.; Aljarah, I.; Mafarja, M.; Chen, H. Harris hawks optimization: Algorithm and applications. Future Gener. Comput. Syst. 2019, 97, 849–872. [Google Scholar] [CrossRef]
- Mirjalili, S.; Mirjalili, S.M.; Lewis, A. Grey Wolf Optimizer. Adv. Eng. Softw. 2014, 69, 46–61. [Google Scholar] [CrossRef] [Green Version]
- Arora, S.; Singh, S. Butterfly optimization algorithm: A novel approach for global optimization. Soft Comput. 2018, 23, 715–734. [Google Scholar] [CrossRef]
- Xue, J.; Shen, B. A novel swarm intelligence optimization approach: Sparrow search algorithm. Syst. Sci. Control. Eng. 2020, 8, 22–34. [Google Scholar] [CrossRef]
- Liu, G.; Shu, C.; Liang, Z.; Peng, B.; Cheng, L. A Modified Sparrow Search Algorithm with Application in 3d Route Planning for UAV. Sensors 2021, 21, 1224. [Google Scholar] [CrossRef]
- Zhou, J.; Chen, D. Carbon Price Forecasting Based on Improved CEEMDAN and Extreme Learning Machine Optimized by Sparrow Search Algorithm. Sustainability 2021, 13, 4896. [Google Scholar] [CrossRef]
- An, G.; Jiang, Z.; Chen, L.; Cao, X.; Li, Z.; Zhao, Y.; Sun, H. Ultra Short-Term Wind Power Forecasting Based on Sparrow Search Algorithm Optimization Deep Extreme Learning Machine. Sustainability 2021, 13, 10453. [Google Scholar] [CrossRef]
- Yang, X.; Liu, J.; Liu, Y.; Xu, P.; Yu, L.; Zhu, L.; Chen, H.; Deng, W. A Novel Adaptive Sparrow Search Algorithm Based on Chaotic Mapping and T-Distribution Mutation. Appl. Sci. 2021, 11, 11192. [Google Scholar] [CrossRef]
- Yuan, J.; Zhao, Z.; Liu, Y.; He, B.; Wang, L.; Xie, B.; Gao, Y. DMPPT Control of Photovoltaic Microgrid Based on Improved Sparrow Search Algorithm. IEEE Access 2021, 9, 16623–16629. [Google Scholar] [CrossRef]
- Liu, J.; Wang, Z. A Hybrid Sparrow Search Algorithm Based on Constructing Similarity. IEEE Access 2021, 9, 117581–117595. [Google Scholar]
- Tanyildizi, E.; Demir, G. Golden Sine Algorithm: A Novel Math-Inspired Algorithm. Adv. Electr. Comput. Eng. 2017, 17, 71–78. [Google Scholar] [CrossRef]
- Kennedy, J.; Eberhart, R. Particle swarm optimization. In Proceedings of the ICNN’95—International Conference on Neural Networks, Perth, WA, Australia, 27 November–1 December 1995; pp. 1942–1948. [Google Scholar]
- Xiao, S.; Wang, H.; Wang, W.; Huang, Z.; Zhou, X.; Xu, M. Artificial bee colony algorithm based on adaptive neighborhood search and Gaussian perturbation. Appl. Soft Comput. 2021, 100, 106955. [Google Scholar] [CrossRef]
- Abdollahzadeh, B.; Soleimanian Gharehchopogh, F.; Mirjalili, S. Artificial gorilla troops optimizer: A new nature-inspired metaheuristic algorithm for global optimization problems. Int. J. Intell. Syst. 2021, 36, 5887–5958. [Google Scholar] [CrossRef]
- Zhang, M.; Wang, D.; Yang, J. Hybrid-Flash Butterfly Optimization Algorithm with Logistic Mapping for Solving the Engineering Constrained Optimization Problems. Entropy 2022, 24, 525. [Google Scholar] [CrossRef]
- Jamil, M.; Yang, X. A literature survey of benchmark functions for global optimisation problems. Int. J. Math. Model. Numer. Optim. 2013, 4, 150–194. [Google Scholar] [CrossRef] [Green Version]
- Rashedi, E.; Nezamabadi-Pour, H.; Saryazdi, S. GSA: A Gravitational Search Algorithm. Inf. Sci. 2009, 179, 2232–2248. [Google Scholar] [CrossRef]
- García, S.; Molina, D.; Lozano, M.; Herrera, F. A study on the use of non-parametric tests for analyzing the evolutionary algorithms’ behaviour: A case study on the CEC’2005 Special Session on Real Parameter Optimization. J. Heuristics 2009, 15, 617–644. [Google Scholar] [CrossRef]
- Mirjalili, S. SCA: A Sine Cosine Algorithm for solving optimization problems. Knowl.-Based Syst. 2016, 96, 120–133. [Google Scholar] [CrossRef]
- Storn, R.; Price, K. Differential Evolution—A Simple and Efficient Heuristic for global Optimization over Continuous Spaces. J. Glob. Optim. 1997, 11, 341–359. [Google Scholar] [CrossRef]
- Hashim, F.A.; Hussain, K.; Houssein, E.H.; Mabrouk, M.S.; Al-Atabany, W. Archimedes optimization algorithm: A new metaheuristic algorithm for solving optimization problems. Appl. Intell. 2020, 51, 1531–1551. [Google Scholar] [CrossRef]
- Mirjalili, S.; Lewis, A. The Whale Optimization Algorithm. Adv. Eng. Softw. 2016, 95, 51–67. [Google Scholar] [CrossRef]
- Wang, G.-G.; Deb, S.; Coelho, L.d.S. Elephant Herding Optimization. In Proceedings of the 2015 3rd International Symposium on Computational and Business Intelligence (ISCBI), Bali, Indonesia, 7–9 December 2015; pp. 1–5. [Google Scholar]
- Faramarzi, A.; Heidarinejad, M.; Mirjalili, S.; Gandomi, A.H. Marine Predators Algorithm: A nature-inspired metaheuristic. Expert Syst. Appl. 2020, 152, 113377. [Google Scholar] [CrossRef]
- Kaur, S.; Awasthi, L.K.; Sangal, A.L.; Dhiman, G. Tunicate Swarm Algorithm: A new bio-inspired based metaheuristic paradigm for global optimization. Eng. Appl. Artif. Intell. 2020, 90, 103541. [Google Scholar] [CrossRef]
- Naruei, I.; Keynia, F. A new optimization method based on COOT bird natural life model. Expert Syst. Appl. 2021, 183, 115352. [Google Scholar] [CrossRef]









| Name | Formula of Functions | Dim | Range | Best |
|---|---|---|---|---|
| Sphere | 30 | [100, 100] | 0 | |
| Schwefel 2.22 | 30 | [10, 10] | 0 | |
| Schwefel 1.2 | 30 | [100, 100] | 0 | |
| Schwefel 2.21 | 30 | [100, 100] | 0 | |
| Rosenbrock | 30 | [30, 30] | 0 | |
| Step | 30 | [100, 100] | 0 | |
| Quartic | 30 | [128, 128] | 0 | |
| Schwefel 2.26 | 30 | [500, 500] | −418.9829 × n | |
| Rastrigrin | 30 | [5.12, 5.12] | 0 | |
| Ackley | 30 | [32, 32] | 0 | |
| Griewank | 30 | [600, 600] | 0 | |
| Penalized 1 | 30 | [50, 50] | 0 | |
| Penalized 2 | 30 | [50, 50] | 0 | |
| Foxholes | 2 | [−65, 65] | 1 | |
| Kowalik | 4 | [−5, −5] | 0.00030 | |
| Six-Hump Gamel | 2 | [−5, −5] | −1.0316 | |
| Branin | 2 | [−5, −5] | 0.398 | |
| Goldstein-price | 2 | [−2, 2] | 3 | |
| Hartmann 3-D | 3 | [1, 3] | −3.86 | |
| Hartmann 6-D | 6 | [0, 1] | −3.32 | |
| Shekel 1 | 4 | [0, 10] | −10.1532 | |
| Shekel 2 | 4 | [0, 10] | −10.4029 | |
| Shekel 3 | 4 | [0, 10] | −10.5364 |
| Function | PSO | Gold-SA | HHO | GTO | SSA | ISSA | |
|---|---|---|---|---|---|---|---|
| F1 | AVG | 8.35 × 10−6 | 4.46 × 10−207 | 1.10 × 10 −98 | 0.0 | 1.11 × 10−84 | 0.0 |
| STD | 8.80 × 10−6 | 0.0 | 4.65 × 10 −98 | 0.0 | 5.85 × 10−84 | 0.0 | |
| p | 4.13 × 10 −11(+) | 9.64 × 10−2(−) | 1.07 × 10−9(+) | 7.27 × 10−8(+) | 7.27 × 10−8(+) | ||
| F2 | AVG | 1.12 × 10−2 | 1.69 × 10−129 | 8.34 × 10−51 | 4.06 × 10−193 | 5.25 × 10−55 | 0.0 |
| STD | 1.79 × 10−2 | 9.10 × 10−129 | 3.54 × 10−50 | 0.0 | 2.78 × 10−54 | 0.0 | |
| p | 4.46 × 10−11(+) | 5.14 × 10−2(−) | 2.45 × 10−10(+) | 3.19 × 10−3(+) | 2.24 × 10−11(+) | ||
| F3 | AVG | 4.13 × 10+02 | 1.47 × 10−206 | 4.36 × 10−72 | 0.0 | 5.32 × 10−82 | 0.0 |
| STD | 1.28 × 10+03 | 0.0 | 2.34 × 10−71 | 0.0 | 2.82 × 10−81 | 0.0 | |
| p | 4.01 × 10−11(+) | 7.42 × 10−2(−) | 6.48 × 10−10(+) | 2.01 × 10−07(+) | 2.01 × 10−07(+) | ||
| F4 | AVG | 3.71 × 10−01 | 7.87 × 10−96 | 5.22 × 10−49 | 3.71 × 10−194 | 8.22 × 10−46 | 0.0 |
| STD | 1.16 × 10−01 | 4.24 × 10−95 | 2.65 × 10−48 | 0.0 | 4.40 × 10−45 | 0.0 | |
| p | 3.00 × 10−11(+) | 1.67 × 10−1(−) | 1.69 × 10−8(+) | 4.97 × 10−4(+) | 1.93 × 10 −10(+) | ||
| F5 | AVG | 2.87 × 101 | 6.62 × 10−3 | 1.45 × 10−2 | 1.61 | 1.70 × 10−4 | 1.41 × 10−8 |
| STD | 9.06 | 1.01 × 10−02 | 1.82 × 10−02 | 6.01 | 4.18 × 10−4 | 3.71 × 10−8 | |
| p | 3.02 × 10−11(+) | 2.38 × 10−07(+) | 8.15 × 10−11(+) | 1.52 × 10−3(+) | 6.07 × 10−11(+) | ||
| F6 | AVG | 5.02 × 10−6 | 2.31 × 10−4 | 1.37 × 10−4 | 1.77 × 10−7 | 3.90 × 10−7 | 2.46 × 10−11 |
| STD | 5.90 × 10−6 | 3.07 × 10−4 | 2.19 × 10−4 | 1.80 × 10−7 | 5.04 × 10−7 | 7.98 × 10−11 | |
| p | 2.83 × 10−8(+) | 5.49 × 10−11(+) | 8.15 × 10 −11(+) | 0.379(−) | 4.50 × 10−11(+) | ||
| F7 | AVG | 7.57 × 10−2 | 2.16 × 10−4 | 1.73 × 10−4 | 9.01 × 10−5 | 3.67 × 10−4 | 6.57 × 10−5 |
| STD | 2.68 × 10−2 | 2.84 × 10−4 | 2.24 × 10−4 | 8.64 × 10−5 | 3.27 × 10−4 | 4.81 × 10−5 | |
| p | 3.02 × 10−11(+) | 1.44 × 10−3(+) | 4.94 × 10−5(+) | 9.06 × 10−8(+) | 4.20 × 10−10(+) | ||
| F8 | AVG | −2.70 × 103 | −1.26 × 104 | −1.26 × 104 | −1.26 × 104 | −9.34 × 103 | −1.26 × 104 |
| STD | 3.74 × 102 | 1.61 × 10−1 | 5.96 × 10−1 | 7.49 × 10−5 | 2.49 × 103 | 2.90 × 10−8 | |
| p | 3.02 × 10−11(+) | 4.62 × 10−10(+) | 1.55 × 10−9(+) | 3.02 × 10−11(+) | 2.91 × 10−11(+) | ||
| F9 | AVG | 52.1 | 0.0 | 0.0 | 0.0 | 0.0 | 0.0 |
| STD | 12.2 | 0.0 | 0.0 | 0.0 | 0.0 | 0.0 | |
| p | 1.21 × 10−12(+) | NaN(=) | NaN(=) | NaN(=) | NaN(=) | ||
| F10 | AVG | 1.74 × 10−3 | 8.88 × 10−16 | 8.88 × 10−16 | 8.88 × 10−16 | 8.88 × 10−16 | 8.88 × 10−16 |
| STD | 1.18 × 10−3 | 9.86 × 10−32 | 9.86 × 10−32 | 9.86 × 10−32 | 9.86 × 10−32 | 9.86 × 10−32 | |
| p | 1.21 × 10−12(+) | NaN(=) | NaN(=) | NaN(=) | NaN(=) | ||
| F11 | AVG | 42.0 | 0.0 | 0.0 | 0.0 | 0.0 | 0.0 |
| STD | 5.85 | 0.0 | 0.0 | 0.0 | 0.0 | 0.0 | |
| p | 1.21 × 10−12(+) | NaN(=) | NaN(=) | NaN(=) | NaN(=) | ||
| F12 | AVG | 8.00 × 10−1 | 1.53 × 10−5 | 1.15 × 10−5 | 2.68 × 10−8 | 3.80 × 10−8 | 7.50 × 10−11 |
| STD | 9.05 × 10−1 | 2.77 × 10−5 | 1.78 × 10−5 | 4.94 × 10−8 | 5.16 × 10−8 | 2.47 × 10−10 | |
| p | 3.02 × 10−11(+) | 2.67 × 10−9(+) | 8.10 × 10−10(+) | 0.3871(−) | 3.16 × 10−10(+) | ||
| F13 | AVG | 1.10 × 10−3 | 5.83 × 10−5 | 1.54 × 10−4 | 2.93 × 10−3 | 6.16 × 10−7 | 4.19 × 10−11 |
| STD | 3.30 × 10−3 | 1.23 × 10−4 | 2.16 × 10−4 | 8.48 × 10−3 | 7.00 × 10−7 | 1.14 × 10−10 | |
| p | 3.87 × 10−1(−) | 3.32 × 10−6(+) | 4.20 × 10−10(+) | 0.3555(−) | 6.07 × 10−11(+) | ||
| F14 | AVG | 1.30 | 1.03 | 1.29 | 9.98 × 10−1 | 8.73 | 4.76 |
| STD | 5.82 × 10−1 | 1.79 × 10−1 | 9.24 × 10−1 | 3.33 × 10−16 | 4.98 | 5.34 | |
| p | 7.44 × 10−10(+) | 9.69 × 10−7(+) | 2.05 × 10−6(+) | 6.12 × 10−13(+) | 4.20 × 10−5(+) | ||
| F15 | AVG | 4.75 × 10−4 | 4.00 × 10−4 | 3.50 × 10−4 | 3.99 × 10−4 | 3.21 × 10−4 | 3.08 × 10−4 |
| STD | 2.76 × 10−4 | 2.42 × 10−4 | 3.20 × 10−5 | 2.75 × 10−4 | 2.55 × 10−5 | 7.64 × 10−7 | |
| p | 8.31 × 10−3(+) | 1.09 × 10−5(+) | 1.64 × 10−5(+) | 7.64 × 10−8(+) | 3.82 × 10−10(+) | ||
| F16 | AVG | −1.03 | −1.03 | −1.03 | −1.03 | −1.03 | −1.03 |
| STD | 0.0 | 4.05 × 10−3 | 1.23 × 10−8 | 0.0 | 1.16 × 10−8 | 0.0 | |
| p | 1.21 × 10−12(+) | 3.02 × 10−11(+) | 8.88 × 10−1(−) | 1.21 × 10−12(+) | 1.21 × 10−12(+) | ||
| F17 | AVG | 3.98 × 10−1 | 4.00 × 10−1 | 3.98 × 10−1 | 3.98 × 10−1 | 3.98 × 10−1 | 3.98 × 10−1 |
| STD | 1.11 × 10−16 | 1.28 × 10−2 | 4.06 × 10−5 | 1.11 × 10−16 | 1.32 × 10−8 | 3.72 × 10−16 | |
| p | 1.21 × 10−12(+) | 3.02 × 10−11(+) | 2.77 × 10−5(+) | 1.21 × 10−12(+) | 1.72 × 10−12(+) | ||
| F18 | AVG | 3.0 | 14.2 | 3.0 | 3.0 | 3.0 | 3.0 |
| STD | 3.96 × 10−15 | 13.5 | 5.54 × 10−7 | 1.78 × 10−15 | 1.34 × 10−8 | 3.35 × 10−15 | |
| p | 6.32 × 10−12(+) | 3.02 × 10−11(+) | 6.63 × 10−1(−) | 1.72 × 10−12(+) | 4.08 × 10−12(+) | ||
| F19 | AVG | −3.86 | −3.8 | −3.86 | −3.86 | −3.0 | −3.86 |
| STD | 2.66 × 10−15 | 8.01 × 10−2 | 3.04 × 10−3 | 2.66 × 10−15 | 5.07 × 10−5 | 2.66 × 10−15 | |
| p | 1.21 × 10−12(+) | 3.34 × 10−11(+) | 3.20 × 10−9(+) | 1.21 × 10−12(+) | 1.21 × 10−12(+) | ||
| F20 | AVG | −3.25 | −2.95 | −3.1 | −3.26 | −3.26 | −3.27 |
| STD | 5.89 × 10−2 | 3.71 × 10−1 | 9.34 × 10−2 | 5.94 × 10−2 | 8.00 × 10−2 | 5.89× 10−2 | |
| p | 1.58 × 10−2(+) | 9.83 × 10−8(+) | 3.52 × 10−7(+) | 3.485 × 10−3(+) | 8.12 × 10−4(+) | ||
| F21 | AVG | −6.31 | −10.2 | −5.19 | −10.2 | −10.2 | −10.2 |
| STD | 3.46 | 5.63 × 10−3 | 7.46 × 10−1 | 1.78 × 10−15 | 1.12 × 10−5 | 1.78 × 10−15 | |
| p | 5.00 × 10−1(−) | 1.86 × 10−9(+) | 3.02 × 10−11(+) | 1.21 × 10−12(+) | 1.21 × 10−12(+) | ||
| F22 | AVG | −6.61 | −10.4 | −5.73 | −10.4 | −10.4 | −10.4 |
| STD | 3.8 | 5.11 × 10−3 | 1.67 | 0.0 | 3.02 × 10−4 | 0.0 | |
| p | 1(−) | 1.96 × 10−10(+) | 3.02 × 10−11(+) | 1.21 × 10−12(+) | 1.21 × 10−12(+) | ||
| F23 | AVG | −6.81 | −10.5 | −5.05 | −10.5 | −10.5 | −10.5 |
| STD | 3.78 | 3.19 × 10−3 | 4.18 × 10−1 | 1.93 × 10−14 | 5.71 × 10−6 | 8.88 × 10−15 | |
| p | 1(−) | 3.02 × 10−11(+) | 3.02 × 10−11(+) | 1.72 × 10−12(+) | 1.21 × 10−12(+) |
| ISSA and PSO | ISSA and Gold-SA | ISSA and HHO | ISSA and GTO | ISSA and SSA |
|---|---|---|---|---|
| 14/1/4/4 | 10/1/8/4 | 13/1/7/2 | 6/1/13/3 | 13/0/10/0 |
| NRMSE | Time | |||||
|---|---|---|---|---|---|---|
| AVG | STD | Rank | AVG | STD | Rank | |
| LS | 0.5557 | 0.0945 | 17 | 0.0903 | 0.0358 | 1 |
| PSO | 0.4545 | 0.0592 | 15 | 1.0545 | 0.2449 | 5 |
| DE | 0.4178 | 0.0610 | 4 | 1.4722 | 0.1060 | 13 |
| SCA | 0.4252 | 0.0602 | 6 | 1.1997 | 0.1844 | 9 |
| Gold-SA | 0.4245 | 0.0633 | 5 | 1.1809 | 0.2874 | 8 |
| AOA | 0.4408 | 0.0606 | 8 | 0.9484 | 0.3666 | 3 |
| GWO | 0.4414 | 0.0572 | 12 | 1.1724 | 0.1841 | 7 |
| WOA | 0.4448 | 0.0574 | 13 | 1.1524 | 0.1596 | 6 |
| EHO | 0.5457 | 0.0484 | 16 | 1.3273 | 0.1379 | 10 |
| BOA | 0.4389 | 0.0542 | 7 | 1.4387 | 0.0863 | 11 |
| SSA | 0.4168 | 0.0596 | 3 | 0.9542 | 0.1997 | 4 |
| MPA | 0.4409 | 0.0595 | 10 | 3.1366 | 0.4165 | 16 |
| TSA | 0.4414 | 0.0572 | 11 | 0.7694 | 0.0841 | 2 |
| COOT | 0.4409 | 0.0569 | 9 | 1.4474 | 0.4420 | 12 |
| HHO | 0.4453 | 0.0548 | 14 | 2.3375 | 0.3184 | 15 |
| GTO | 0.4151 | 0.0611 | 2 | 10.3031 | 0.4517 | 17 |
| ISSA | 0.4138 | 0.0590 | 1 | 1.6637 | 0.4558 | 14 |
Publisher’s Note: MDPI stays neutral with regard to jurisdictional claims in published maps and institutional affiliations. |
© 2022 by the authors. Licensee MDPI, Basel, Switzerland. This article is an open access article distributed under the terms and conditions of the Creative Commons Attribution (CC BY) license (https://creativecommons.org/licenses/by/4.0/).
Share and Cite
Zhang, H.; Yang, J.; Qin, T.; Fan, Y.; Li, Z.; Wei, W. A Multi-Strategy Improved Sparrow Search Algorithm for Solving the Node Localization Problem in Heterogeneous Wireless Sensor Networks. Appl. Sci. 2022, 12, 5080. https://doi.org/10.3390/app12105080
Zhang H, Yang J, Qin T, Fan Y, Li Z, Wei W. A Multi-Strategy Improved Sparrow Search Algorithm for Solving the Node Localization Problem in Heterogeneous Wireless Sensor Networks. Applied Sciences. 2022; 12(10):5080. https://doi.org/10.3390/app12105080
Chicago/Turabian StyleZhang, Hang, Jing Yang, Tao Qin, Yuancheng Fan, Zetao Li, and Wei Wei. 2022. "A Multi-Strategy Improved Sparrow Search Algorithm for Solving the Node Localization Problem in Heterogeneous Wireless Sensor Networks" Applied Sciences 12, no. 10: 5080. https://doi.org/10.3390/app12105080
APA StyleZhang, H., Yang, J., Qin, T., Fan, Y., Li, Z., & Wei, W. (2022). A Multi-Strategy Improved Sparrow Search Algorithm for Solving the Node Localization Problem in Heterogeneous Wireless Sensor Networks. Applied Sciences, 12(10), 5080. https://doi.org/10.3390/app12105080

