An Effect of MHD on Non-Newtonian Fluid Flow over a Porous Stretching/Shrinking Sheet with Heat Transfer
Abstract
:1. Introduction
2. Problem Statement and Solution
3. Exact Solutions of Momentum Equation
4. Exact Solutions of Energy Equation
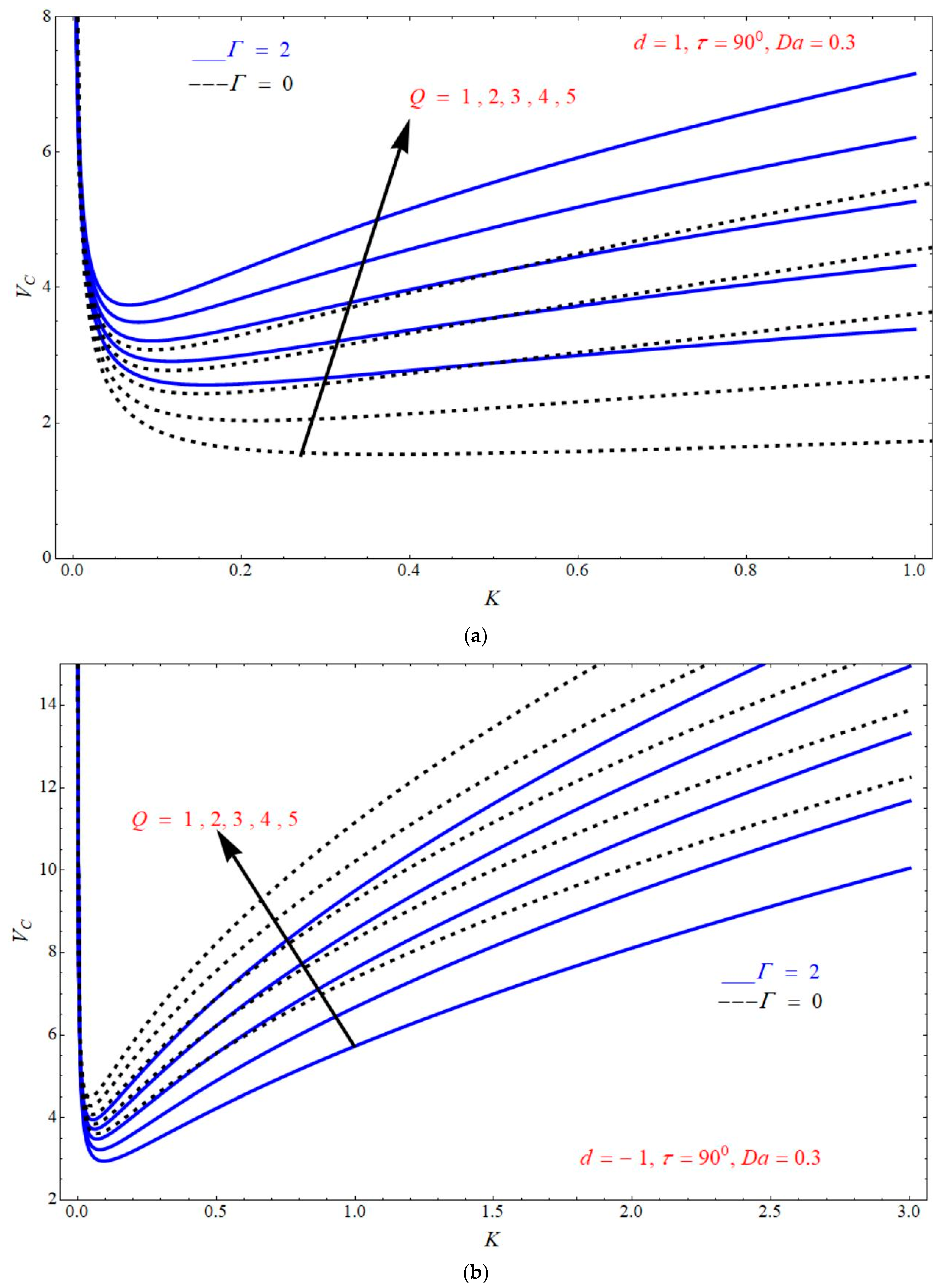
5. Results and Discussion
6. Concluding Remarks
Author Contributions
Funding
Institutional Review Board Statement
Informed Consent Statement
Data Availability Statement
Conflicts of Interest
Nomenclature
| and | Stretching/shrinking sheet coefficient constant |
| Strength of the magnetic field | |
| Specific heat | |
| Length scale | |
| Darcy number | |
| Chandrasekhar’s number | |
| Prandtl number | |
| Permeability of porous medium m2 | |
| Material constant of fluid | |
| Viscoelasticity | |
| Slip factor | |
| Constants to be determined | |
| Radiation parameter . | |
| Heat flux | |
| Fluid temperature | |
| Wall temperature | |
| For field temperature | |
| Axial velocity towards x axis | |
| Mass transpiration | |
| Wall transfer velocity | |
| Coordinates | |
| Greek symbols | |
| Thermal diffusivity | |
| Similarity variable | |
| Parameter of the analytical solution | |
| Constant domain | |
| Kinematic viscosity | |
| Density | |
| Electrical conductivity | |
| Inclined angle | |
| Scaled fluid temperature | |
| Away from the sheet | |
| Porosity | |
| Abbreviations | |
| BCs | Boundary conditions |
| MHD | Magnetohydrodynamics |
| ODEs | Ordinary differential equations |
| PDEs | Partial differential equations |
References
- Sakiadis, B.C. Boundary layer behaviour on continuous solid surfaces: I boundary layer equations for two dimensional and axisymmetric flow. AIChE J. 1961, 7, 26–28. [Google Scholar] [CrossRef]
- Crane, L.J. Flow past a stretching plate. Z. Angew. Math. Phys. 1970, 21, 645–647. [Google Scholar] [CrossRef]
- Andersson, H.I. An exact solution of the Navier-Stokes equations for magnetohydrodynamics flow. Acta Mech. 1995, 113, 241–244. [Google Scholar] [CrossRef]
- Andresson, H.I. Slip flow past a stretching surface. Acta Mech. 2002, 158, 121–125. [Google Scholar] [CrossRef]
- Wang, C.Y. Stagnation flow towards a shrinking sheet. Int. J. Non-Linear Mech. 2008, 43, 377–382. [Google Scholar] [CrossRef]
- Fang, T.G.; Zhang, J. Thermal boundary layers over a shrinking sheet: An analytical solution. Acta Mech. 2010, 209, 325–343. [Google Scholar] [CrossRef]
- Miklavcic, M.; Wang, C.Y. Viscous flow due to a shrinking sheet. Q. Appl. Math. 2006, 64, 283–290. [Google Scholar] [CrossRef] [Green Version]
- Turkyilmazoglu, M. Multiple solutions of heat and mass transfer of MHD slip flow for the viscoelastic fluid over a stretching sheet. Int. J. Therm. Sci. 2011, 50, 2264–2276. [Google Scholar] [CrossRef]
- Turkyilmazoglu, M.; Pop, I. Exact analytical solutions for the flow and heat transfer near the stagnation point on a stretching/shrinking sheet in a Jeffrey fluid. Int. J. Heat Mass Transfer. 2013, 57, 82–88. [Google Scholar] [CrossRef]
- Mahabaleshwar, U.S.; Anusha, T.; Hatami, M. The MHD Newtonian hybrid nanofluid flow and mass transfer analysis due to super-linear stretching sheet embedded in porous medium. Sci. Rep. 2021, 11, 22518. [Google Scholar] [CrossRef]
- Vishalakshi, A.B.; Mahabaleshwar, U.S.; Sheikhnejad, Y. Impact of MHD and mass transpiration on Rivlin-Ericksen liquid flow over a stretching sheet in a porous media with thermal communication. Transp. Porous Media 2022, 142, 353–381. [Google Scholar] [CrossRef]
- Mahabaleshwar, U.S.; Vishalakshi, A.B.; Azese, M.N. The role of Brinkmann ratio on non-Newtonian fluid flow due to a porous shrinking/stretching sheet with heat transfer. Eur. J. Mech. B/Fluids 2022, 92, 153–165. [Google Scholar] [CrossRef]
- Nadeem, S.; Haq, R.U.I.; Akbar, N.S.; Khan, Z.H. MHD three dimensional Casson fluid flow past a porous linearly stretching sheet. Alex. Eng. J. 2013, 52, 577–582. [Google Scholar] [CrossRef]
- Mahabaleshwar, U.S.; Pažanin, I.; Radulović, M.; Suarez-Grau, F.J. Effects of small boundary perturbation on the MHD duct flow. Theor. Appl. Mech. 2017, 44, 83–101. [Google Scholar]
- Mahabaleshwar, U.S. Combined effect of temperature and gravity modulations on the onset of magneto-convection in weak electrically conducting micropolar liquids. J. Eng. Sci. 2007, 45, 525–540. [Google Scholar] [CrossRef]
- Mahabaleshwar, U.S.; Sarris, I.E.; Lorenzini, G. Effect of radiation and Navier slip boundary of Walters’ liquid B flow over stretching sheet in a porous media. Int. J. Heat Mass Transf. 2018, 17, 1327–1337. [Google Scholar] [CrossRef]
- Mahabaleshwar, U.S.; Nagaraju, K.R.; Sheremet, M.A.; Baleanu, D.; Lorenzini, E. Mass transpiration on Newtonian flow over a porous stretching/shrinking sheet with slip. Chin. J. Phys. 2020, 63, 130–137. [Google Scholar] [CrossRef]
- Mahabaleshwar, U.S.; Nagaraju, K.R.; Kumar, P.N.V.; Nadagouda, M.N.; Bennacer, R.; Sheremet, M.A. Effect of Dufour and Soret mechanisms on MHD mixed convective—Radiative non-Newtonian liquid flow and heat transfer over a porous sheet. Therm. Sci. Eng. Prog. 2020, 16, 100459. [Google Scholar] [CrossRef]
- Mahabaleshwar, U.S.; Rekha, M.B.; Vinay Kumar, P.N.; Selimefendigil, F.; Sakanaka, P.H.; Lorenzini, G.; Ravichandra Nayakar, S.N. Mass transfer characteristics of MHD Casson fluid flow past stretching/shrinking sheet. J. Eng. Thermophys. 2020, 29, 285–302. [Google Scholar] [CrossRef]
- Mahabaleshwar, U.S.; Sarris, I.E.; Hill, A.A.; Lorenzini, G.; Pop, I. An MHD couple stress fluid due to a perforated sheet undergoing linear stretching with heat transfer. Int. J. Heat Mass Transf. 2017, 105, 157–167. [Google Scholar] [CrossRef] [Green Version]
- Mahabaleshwar, U.S.; Kumar, P.N.V.; Sheremet, M. Magnetohydrodynamics Flow of a Nanofluid Driven by a Stretching/Shrinking Sheet with Suction; Springer: Berlin/Heidelberg, Germany, 2016; p. 1901. [Google Scholar]
- Sneha, K.N.; Mahabaleshwar, U.S.; Chan, A.; Hatami, M. Investigation of radiation and MHD on non-Newtonian fluid flow over a stretching/shrinking sheet with CNTs and mass transpiration. Waves Random Complex Media 2022, 1–20. [Google Scholar] [CrossRef]
- Anusha, T.; Mahabaleshwar, U.S.; Hatami, M. Navier slip effect on the thermal flow of Walter’s liquid B flow due to porous stretching/shrinking with heat and mass transfer. Case Stud. Therm. Eng. 2021, 28, 101691. [Google Scholar] [CrossRef]
- Anusha, T.; Mahabaleshwar, U.S.; Sheikhnejad, Y. An MHD of nanofluid flow over a porous stretching/shrinking plate with mass transpiration and Brinkman ratio. Transp. Porous Media 2021, 142, 333–352. [Google Scholar] [CrossRef]
- Anusha, T.; Huang, H.; Mahabaleshwar, U.S. Two dimensional unsteady stagnation point flow of Casson hybrid nanofluid over a permeable flat surface and heat transfer analysis with radiation. J. Taiwan Inst. Chem. Eng. 2021, 127, 79–91. [Google Scholar] [CrossRef]
- Kumar, P.N.V.; Mahabaleshwar, U.S.; Swaminathan, N.; Lorenzini, G. Effect of MHD and mass transpiration on a viscous liquid flow past porous stretching sheet with heat transfer. J. Eng. Thermophys. 2021, 30, 404–419. [Google Scholar] [CrossRef]
- Li, Z.; Barnoon, P.; Davood, T.; Dehkordi, R.B.; Afrand, M. Mixed convection of non-Newtonian nanofluid in an H-Shaped cavity with coolar and heater cylinders filled by a porous material: Two phase approach. Fac. Eng. Inf. Sci. Pap. Part B 2019, 30, 2666–2685. [Google Scholar]
- Vishalakshi, A.B.; Mahabaleshwar, U.S.; Sarris, I.E. An MHD fluid flow over a porous stretching/shrinking sheet with slips and mass transpiration. Micromachines 2022, 13, 116. [Google Scholar] [CrossRef]
- Rostami, S.; Davood, T.; Shabani, B.; Sina, N.; Barnoon, P. Measurement of the thermal conductivity of MWCNCT-CuO/Water hybrid nanofluid using artificial neural networks (ANNs). J. Therm. Anal. Calorim. 2021, 143, 1097–1105. [Google Scholar] [CrossRef]
- Makarim, D.A.; Suami, A.; Wijayanta, A.T.; Kobayashi, N.; Itaya, Y. Marangoni convection within thermosolutal and absorptive aqueous LiBr solution. Int. J. Heat Mass Transf. 2022, 188, 122621. [Google Scholar]
- Wijayanta, A.T. Numerical solution strategy for natural convection problems in a triangular cavity using a direct meshless local petrov-Galerkin method combined with an implicit artificial-compressibility model. Eng. Anal. Bound. Elem. 2021, 126, 13–29. [Google Scholar]
- Rahmati, A.R.; Akbari, O.A.; Marzban, A.; Davood, T.; Farzad, R.K.P. Simultaneous investigations effects of non-Newtonian nanofluid flow in different volume fractions of solid nanoparticles with slip and no-slip boundary conditions. Therm. Sci. Eng. Prog. 2018, 5, 263–277. [Google Scholar] [CrossRef]
- Mahabaleshwar, U.S.; Sneha, K.N.; Huang, H.N. An effect of MHD and radiation on CNTS-water based nanofluid due to a stretching sheet in a Newtonian fluid. Case Stud. Therm. Eng. 2021, 28, 101462. [Google Scholar] [CrossRef]
- Mahabaleshwar, U.S.; Vishalakshi, A.B.; Andersson, H.I. Hybrid nanofluid flow past a stretching/shrinking sheet with thermal radiation and mass transpiration. Chin. J. Phys. 2022, 75, 152–168. [Google Scholar] [CrossRef]
- Mahabaleshwar, U.S.; Anusha, T.; Sakanaka, P.H.; Bhattacharyya, S. Impact of Lorentz force and Schmidt number on chemically reactive Newtonian fluid flow on a stretchable surface when Stefan blowing and thermal radiation and significant. Arab. J. Sci. Eng. 2021, 46, 12427–12443. [Google Scholar] [CrossRef]







Publisher’s Note: MDPI stays neutral with regard to jurisdictional claims in published maps and institutional affiliations. |
© 2022 by the authors. Licensee MDPI, Basel, Switzerland. This article is an open access article distributed under the terms and conditions of the Creative Commons Attribution (CC BY) license (https://creativecommons.org/licenses/by/4.0/).
Share and Cite
Vishalakshi, A.B.; Maranna, T.; Mahabaleshwar, U.S.; Laroze, D. An Effect of MHD on Non-Newtonian Fluid Flow over a Porous Stretching/Shrinking Sheet with Heat Transfer. Appl. Sci. 2022, 12, 4937. https://doi.org/10.3390/app12104937
Vishalakshi AB, Maranna T, Mahabaleshwar US, Laroze D. An Effect of MHD on Non-Newtonian Fluid Flow over a Porous Stretching/Shrinking Sheet with Heat Transfer. Applied Sciences. 2022; 12(10):4937. https://doi.org/10.3390/app12104937
Chicago/Turabian StyleVishalakshi, Angadi Basettappa, Thippaiah Maranna, Ulavathi Shettar Mahabaleshwar, and David Laroze. 2022. "An Effect of MHD on Non-Newtonian Fluid Flow over a Porous Stretching/Shrinking Sheet with Heat Transfer" Applied Sciences 12, no. 10: 4937. https://doi.org/10.3390/app12104937
APA StyleVishalakshi, A. B., Maranna, T., Mahabaleshwar, U. S., & Laroze, D. (2022). An Effect of MHD on Non-Newtonian Fluid Flow over a Porous Stretching/Shrinking Sheet with Heat Transfer. Applied Sciences, 12(10), 4937. https://doi.org/10.3390/app12104937

