You are currently viewing a new version of our website. To view the old version click .
Applied Sciences
  • Article
  • Open Access

22 December 2021

Gigantic Coaxial Line for Experimental Studies of the Interaction of Nanosecond Electromagnetic Pulses with an Ionized Gas Medium

,
,
,
,
,
,
,
,
and
1
Federal Research Center Institute of Applied Physics of the Russian Academy of Sciences, 603950 Nizhny Novgorod, Russia
2
Prokhorov General Physics Institute of the Russian Academy of Sciences, 119991 Moscow, Russia
*
Author to whom correspondence should be addressed.

Abstract

A large-scale coaxial line filled with the plasma of RF discharge has been developed for laboratory modeling of the effects of the interaction of ultrashort electromagnetic pulses (EMPs) with the atmosphere and the ionosphere in the KROT facility. The oversized coaxial line ensures pulse transmission through an ionized medium in the TEM mode, which corresponds to the polarization of the transverse electromagnetic wave in free space, and in uniform isotropic plasma. The coaxial line has a length of 10 m and a diameter of 140 cm. The processes of propagation of the nanosecond and subnanosecond pulses in this line, in vacuum and with plasma, have been simulated numerically.

1. Introduction

Currently, researchers focus their attention on the phenomena of waveform transformation and the absorption of ultrawideband (UWB) electromagnetic pulses (EMPs) in the nanosecond range in the ionized atmosphere and ionosphere of the Earth. This includes nonlinear phenomena with account for the nonstationary kinetics of electrons [1,2,3], due to the development of UWB telecommunication systems with trans-ionospheric radio channels, technologies used to probe natural environments, and systems of space monitoring of natural and technogenic events. Initially, the works in this research line were stimulated by the discovery of pulsed radio emissions of high-energy events in space and the top layers of the atmosphere [4,5]. At present, the models for the atmosphere conductivity dynamics in the EMP field are being actively developed [6,7]. Similar models are necessary to understand the physics of high-altitude discharges (see [8] and the references therein), and the processes induced by lightning EMPs [9], including those in the presence of flows of high-energy charged particles (see [10] and the references therein). The interaction of high-power EMPs with a partially ionized near-Earth medium is also of interest, in the context of the prospect of creating artificial-ionization layers in the atmosphere [11].
Laboratory modeling based on the similarity rules is a promising approach to the study of the processes running in the near-Earth plasma [12]. The state-of-the-art laboratory techniques currently allow one to reliably detect the parameters of the processes having nano- and picosecond durations. As a result, one can “penetrate” into a high-frequency signal by studying the interaction of electromagnetic radiation with the medium during the time intervals equal to several oscillations of the RF field. Direct measurements of the plasma responses to an EMP, containing one or two periods of electromagnetic oscillations, allow one to understand more deeply the character of polarization of the plasma medium and the developing nonlinear phenomena, and the ionization-related ones from the first place. At the same time, it is rather difficult to stage an experiment that models directly the interaction of a wave, which is propagating in the form of an EMP with gases and plasmas. Nanosecond electric discharges in air and other gases have been studied for more than fifty years already (see, e.g., [13,14] and the vast literature cited therein). However, the determining role in the dynamics of the interactions of the electromagnetic field with the plasma in the staged experiments is played by the near-electrode phenomena, determined by strong inhomogeneity of the electric field. The studies of fast ionization waves (FIW) developing in long discharge tubes with nanosecond-long traveling electromagnetic waves (see [15,16] and the references therein) are rather specific, and do not render the geometry of EMP propagation in a partially ionized, smoothly inhomogeneous medium. The experimental and theoretical results obtained in the domain of interaction of high-power microwave beams with the atmosphere [17] can also be used only with certain limitations.
The key issues in the EMP interaction with plasma are the transformation of the waveform and the loss of the pulse energy. In order to model these phenomena, one has to, first, ensure propagation of an EMP in the form of a transverse TEM mode and, second, create a partially ionized medium with controlled parameters along the path of EMP propagation. The first successful attempts to experimentally study transformations of the EMP waveform during EMP propagation in plasma were made in the USA in the 1970s using pulses, which had durations of about 1 ns, and pulse rise fronts of about 250 ps [18,19]. Within the framework of these studies, the concept of a double plasma-filled transmitting line, which maintained propagation of an EMP in the form of a TEM mode, was realized for the first time. A number of interesting effects, which were presumably connected with additional nonstationary ionization of gas in the EMP field, were observed in a line about 1 m long, that had a transverse size of about 10 cm. The first experiment, in which the dispersion transformation of the nanosecond-long UWB EMP wave form in plasma was observed, was staged on the KROT facility [20], using a nanosecond generator of high-voltage pulses about 1 ns long, which was loaded with a horn antenna that radiated into a wide (more than 1 m in diameter) and long (about 5 m) column of transparent isotropic plasma.
In this paper, we describe a new instrument for studying the interaction of UWB EMPs with gas media in a large volume; specifically, the gigantic plasma-filled coaxial line for a large-scale plasma facility KROT at the Institute of Applied Physics of the Russian Academy of Sciences (IAP RAS, Nizhny Novgorod, Russia).

2. Large-Scale Coaxial Line

The modeling of the interaction of UWB EMPs with partially ionized gas under conditions, whose similarity parameters correspond to the space (or ionospheric) environment, presupposes that the propagation path of an electromagnetic wave in the medium is sufficiently long. The EMP amplitude in the plasma can vary over a sufficiently wide range, in which case one observes both linear effects (dispersion transformation of the waveform) and nonlinear phenomena (anomalous absorption and nonlinear waveform distortions due to nonstationary ionization). It is desirable to ensure that the size of the experimental setup in the polarization plane of the electromagnetic wave is as large as possible, so that the diagnostic tools required to measure the parameters of the EMP and the plasma introduce minimal disturbances to the structure of the plasma and the wave fields.
The KROT facility, designed to model physical phenomena in the ionosphere and space environment, is one of the largest plasma facilities available [21]. The core of the facility is a vacuum chamber that has a volume of 180 m3 and a diameter of 3 m, where the residual gas pressure reaches a level of 1 μTorr. A megawatt-pulsed RF source produces plasma with a volume of up to several tens of cubic meters in various gas media in the chamber. The first experiments on the irradiation of large plasma volumes with EMP, which were described in [20], allowed us to observe, for the first time, the dispersion transformation of the EMP waveform in the plasma, due to the rather long path of the pulse propagation. At the same time, the performed studies revealed a set of fundamental problems that arise in experiments with EMP propagation in plasma chambers. First, due to the limited transverse dimensions of the chamber and the produced plasma, it is possible to actually realize only the waveguide regime of EMP propagation along an extended path, and in this regime the lower frequencies are lost in the pulse spectrum, and the waveform is transformed due to the chamber waveguide dispersion even in vacuum. Second, when the end of the plasma column is irradiated by a horn antenna, electromagnetic waves are strongly refracted. A significant fraction of the EMP energy does not enter the plasma, and the field is strongly attenuated as the distance from the horn increases. As a result, it is difficult to observe nonlinear effects in the plasma along the EMP propagation path. In order to make the experimental conditions closer to the modeling ones, it is desirable to, first, ensure excitation and propagation of the EMP in the form of a homogeneous TEM mode and, second, exclude wave divergence and attenuation along the propagation path. To take into account these requirements, a new guiding structure for pulsed TEM modes in the KROT facility was developed, specifically, a “gigantic” coaxial line excited by an EMP generator. Depending on the problems to be solved, the working space of the line is filled by the gas mixture with the necessary composition, in which quasi-uniform ionization can be produced by an inductive RF source.
The drawing of the line and the scheme of its installation in the plasma chamber are presented in Figure 1. The line consists of a central cylindrical section and two tapered transitions, one to connect generators of nanosecond and subnanosecond EMPs, and the other to connect measuring tools. The total length of the line is 10 m, and the length of the central uniform section is 3 m. The outer conductor of the coaxial line is formed by aluminum plates installed on a frame of Caprolon rings 140 cm in diameter. The width of the plates is 7.5 cm, and the gap between the plates is 5 cm. This design allows one to make the structure lighter and easier to assemble and disassemble (totally or partially), and makes it possible to install diagnostic tools and antennas, which are used to produce background ionization, into the interior of the line. The internal conductor of the central section is a duralumin tube 8 cm in diameter. Duralumin tube is centered with Caprolon spokes resting against Caprolon rings. The wave impedance of the central section is ρ = 170 Ohm.
Figure 1. (a) General layout of KROT plasma chamber with coaxial line installed inside it; (b) 3D model of the “gigantic” coaxial line; (c) detailed layout of tapered transition; and (d) photograph of the plasma chamber.
The tapered transitions are made as several sections (see Figure 1c) with different flange diameters that are connected in series. The sectionalized design of the tapered transitions allows connecting EMP generators of types and classes varying the voltage amplitude and pulse duration with different output connector diameters. Solid-state generators will be used to generate nanosecond pulses with subnanosecond rise times and amplitude levels from several kilovolts to several tens of kilovolts [22,23]. Nanosecond voltage pulses having amplitudes up to 250 kV can be generated by RADAN generators [24]. Aluminum end Section 2, Section 3 and Section 4 of the tapered transitions (see Figure 1) are made solid, which ensures the rigidity of the structure and the element manufacture precision with the requirements for the impedance transformation taken into account. In the Section 2, Section 3 and Section 4 of the tapered transitions, the inner conductor is made as a copper tapered rod, which passes into the central contact of the corresponding connector on the narrowing side. Section 4 of the tapered transition with the minimal dimensions of the outer and inner conductors acts as an adaptor for various small-size connectors including N-type connectors and customized output connectors of EMP generators. On the whole, the tapered transitions act as impedance transformers. On the excitation side, they are step-up transformers. When generators with the feeding lines having the impedance ρ0 = 50 Ohm are used, the EMP voltage amplitude in the uniform line section (with an impedance of 170 Ohm) increases by approximately 1.4 times.
The coaxial line is filled with plasma by means of a standard pair of inductor antennas [21], brought into the gap between the outer and inner conductors (not shown in Figure 1). The maximum density of the plasma, which can be obtained in the case of a pulsed breakdown of a working gas (argon, nitrogen, or air) under a pressure of 10−4–10−2 Torr in the absence of an ambient magnetic field, exceeds 1011 cm−3 [20]. Such plasma is nontransparent for EMPs with durations about and exceeding 1 ns, which were used in the experiment. The operating background electron density ranges from 1010 to 106 cm−3. It is set in at the stage of the diffusion decay of the plasma in the working space of the line. For a line with the specified dimensions, the characteristic diffusion decay duration should be not less than 1 ms. Since the durations of the considered processes are significantly shorter (from fractions of a nanosecond for electromagnetic processes to tens of microseconds for plasma), it is possible to assume that the plasma is quasi-stationary.
To measure pulsed electric and magnetic fields in the line directly, strip-line IPPL probes [25] and inductive TPMP probes with the rise time of the pulse characteristic being not more than 35 ps, respectively, were used. An assembly of such probes was used, e.g., to detect the shape of subnanosecond pulses generated by long spark discharges [26]. To detect the shape of an EMP after it passed through the plasma-filled line, the low-inductance dummy load with wideband attenuators was used.

3. Numerical Simulation of EMP Propagation

The geometry of the line, including the design of the tapered transitions, was optimized by numerical simulation performed using the commercial software CST Microwave Studio [27] and ANSYS Electromagnetics Suite 2019 R3 software (Customer Number 280108). The transmission and reflection coefficients of signals in the nanosecond and subnanosecond duration ranges were analyzed, as well as the structure of the electromagnetic field in the line at different time instants and distortions of the EMP waveform. When simulating, the coaxial line was assumed to be perfectly conducting, and the contacts at the joints of the line elements ideal. Most of the simulations and the optimization of the line parameters were performed with the solid outer conductor, and the final simulations were made with the slit-type design of the outer conductor. The simulation was performed on highly non-uniform grids, refined until the simulation result stabilized. The maximum grid step used on the segment of the cylindrical working section was several mm for 600 ps EMPs, and decreased proportionally for shorter EMPs.
Figure 2 presents the results of the simulation for unipolar and bipolar EMPs (with durations of 600 ps and 1.4 ns, respectively) in a line fed by a generator with an output voltage amplitude of 50 kV. For the unipolar EMPs, the amplitude of the signal transmitted through the line was 47.5 kV (95% of the input amplitude), and the level of the reflected signal amplitude did not exceed 1 kV. Distortions in the shape of the transmitted unipolar EMP were insignificant, and the pulse widening at the full width at half maximum (FWHM) level did not exceed 5%. For the bipolar EMP, the shape distortions and the amplitude losses were insignificant and did not exceed several percent for a coaxial line with a solid outer conductor. The waveforms of the electric field in the coaxial line, which were obtained at a distance of 30 cm from the axis of the line in various cross-sections of the three-meter-long uniform section, are shown in Figure 3 for the unipolar and bipolar EMPs.
Figure 2. Input, reflected, and transmitted signals with EMP generators connected to the coaxial line, which were found by the numerical simulation: (a) unipolar pulse with duration of 600 ps FWHM and an amplitude of 50 kV, and (b) bipolar pulse with a duration of 1.4 ns FWHM and the same amplitude.
Figure 3. Radial component of the EMP electric field calculated at the following distances z from the start of the uniform section of the line: 0 m, 1 m, 2 m, and 3 m. The distance from the axis of the line is r = 30 cm. (a) Unipolar pulse and (b) bipolar pulse.
To specify the pattern of the distortions introduced by the coaxial line to the EMP waveform, we simulated the propagation of a pulse with the duration reduced to 200 ps FWHM. Pulse shortening imposes stricter requirements for the matching of the tapered transitions with connectors and feeding cables, as well as with the uniform cylindrical section. That was the reason for using the 200 ps pulse to optimize the geometric parameters of the input section and determine the width of the plates of the outer conductor, and the admissible width of the gaps between the plates.
The snapshots of the electric field in the process of propagation of a short EMP in the line, which are shown in Figure 4, visibly demonstrate the nature of the arising distortions. The spatial length (or “thickness”) of the pulse is only about 6 cm. The coaxial line having a distance between inner and outer conductors of 60 cm proves to be significantly oversized. Therefore, one can clearly see in the line both the curvature of the front of the propagating EMP, and additional waves with circular (in the plane of projection) fronts, which are scattered at the line irregularities, especially at the joint of outer conductors of the tapered transition and the uniform section. As a result, it was not possible to excite a “pure” TEM mode in the line: part of the EMP power was scattered in other modes propagating both forward and backward and forming a long trail of low-level signals after the main pulse. Therefore, for a pulse 200 ps long, the calculated level of the reflected signal increased significantly (by 28%, in terms of the voltage), the amplitude of the transmitted signal decreased noticeably (to 63% in terms of the voltage), and the FWHM pulse duration increased by about 50% (see Figure 5).
Figure 4. Numerically simulated pattern of the distributions of the modulus of the electric field for the case where a unipolar EMP with duration of 200 ps FWHM is excited in the coaxial line, at three sequential time instants.
Figure 5. Numerically simulated input, reflected, and transmitted signals with an EMP with a duration of 200 ps FWHM.
The increase of the EMP duration up to several (2–5) ns did not lead to a decrease in the transformation coefficient at the tapered transitions. The effect of EMP front distortion at the line input became less significant, and the relative waveform distortion of the transmitted pulse also decreased.
The widths of the plates of the outer conductor and the gaps between them were chosen based on the performed numerical simulations. In this process, the limitations of the minimal gap value determined by the possibility of inserting diagnostic tools and antennas, which are used to produce background ionization, were taken into account. Figure 6 presents the instantaneous electric field map in an optimized line that consists of plates and gaps having widths of 7.5 cm and 5 cm, respectively, in the process of the propagation of a test EMP with duration of 200 ps. The fields outside of the internal volume of the line are the boundary fields of the plates, and do not lead to noticeable radiation of the energy through the gaps. Specifically, in the line comprised by plates with gaps, the reflected and transmitted signals are not visibly different from the signals calculated for the line with a solid outer conductor.
Figure 6. Detailed numerically simulated pattern of the distribution of the modulus of the electric field in the case of propagation of a unipolar EMP with a duration of 200 ns FWHM in the coaxial line with the slit geometry of the outer conductor: longitudinal metal plates 7.5 cm wide are installed with gaps 5 cm wide. The time instant is 18 ns.
The influence of the plasma on the EMP characteristics at a low (linear) power level, in the case of propagation in the coaxial line, was modeled by the finite-difference time-domain (FDTD) method [28]. Within the framework of this method, the system of the Maxwell equations for the pulsed process was solved in combination with the linearized equations of hydrodynamics, where the electron response was taken into account in the form of polarization and conductivity currents. The solved system of equations is written in the SGS system in the following form:
r o t E = 1 c t B r o t B = 1 c t E + 4 π c ( j + j e x t ) t j = e 2 n e m E ν e j
where E and B are the AC electric field and the AC magnetic field intensity, respectively, j is the density of the electron current in the plasma, j e x t is the density of the extrinsic current in the region of the EMP source (antenna), ne is the plasma density, νe is the electron collision frequency, e and m are the electron charge modulus and the electron mass, respectively, and c is the speed of light in vacuum. The calculation was performed in a cylindrical system of coordinates. To cut down the computation time, the problem was reduced to a cylindrically symmetric problem with the electromagnetic-field components depending only on two coordinates (r,z). To enhance the calculation accuracy, the grid was made denser, and the cell size with respect to the both coordinates was equal to 0.125 cm. The geometry of the calculation area is shown in Figure 7. When the influence of the plasma on the EMP propagation was simulated, the tapered transitions were modeled only partially. To simplify the calculation procedure, the coaxial line with the plasma was excited by a vacuum coaxial line with an external diameter of 45.5 cm, in which the EMP was specified as a traveling TEM mode having the necessary waveform.
Figure 7. Geometry of the calculation area in the case of simulation of a plasma-filled coaxial line.
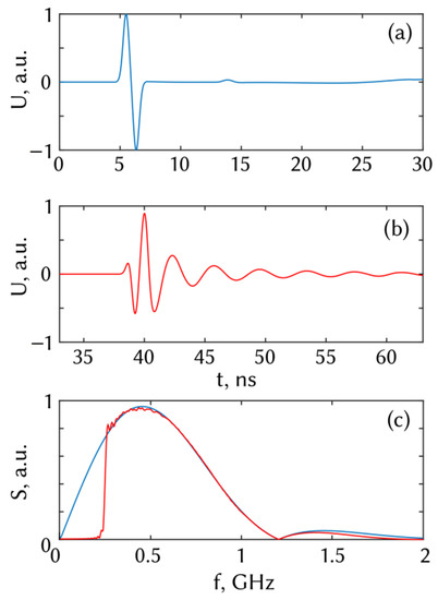
Figure 8 and Figure 9 present examples of the results obtained by simulating the propagation of a bipolar EMP with an initial duration of 1 ns in the line filled with uniform plasma with the electron density ne = 7.7 × 108 cm−3, the electron temperature Te = 0.2 eV, and the neutral nitrogen density nn = 3 × 1013 cm−3 corresponding to pressure p = 10−3 Torr. A dispersion transformation of the pulse waveform, which is accompanied by an increase in its duration up to three times, and a decrease in amplitude, is shown in Figure 8 and Figure 9. The cutoff frequency of the electromagnetic radiation for a present density is equal to 250 MHz. The maximum of the pulse spectrum corresponds to a frequency of 500 MHz, and the top boundary of the EMP spectrum is close to 2 GHz. Therefore, the fraction of the EMP energy, which is reflected from the plasma and corresponds to the spectral components with f < 250 MHz, is small enough. Above the cutoff, the spectrum of the signal transmitted through the plasma was retained (Figure 9c), which confirmed the correctness of the performed calculations and indicated that no significant losses of the EMP energy occurred in the plasma.
Figure 8. Calculated structure of the electric field in the line (Er component) with uniform plasma filling of the central section (electron density ne = 7.7 × 108 cm−3) at six sequential time instants.
Figure 9. Waveforms of the voltage at the input (a) and at the output (b) of the coaxial line, filled with the plasma of density ne = 7.7 × 108 cm−3, and corresponding frequency spectra (c). The voltage level at the input of the line is designated as 1.
Note that the results with uniform plasma are presented for demonstration purposes. Indeed, we performed simulations with various versions of more realistic bell-shaped plasma density profiles ne(r,z), both across the line (between the central and outer conductors), and along it. For the same maximum density values, the results of these simulations gave a slightly weaker dispersion effect, but did not differ qualitatively.

4. Experimental Tests of the Coaxial Line

A photograph of the manufactured coaxial line before installation in the vacuum chamber is shown in Figure 10. Measurements of the characteristics of the line without plasma filling were performed using an Agilent E5063A vector network analyzer (VNA) with an operating frequency band of 100 kHz–18 GHz. This analyzer has a time domain reflectometry (TDR) measurement function that allows one to synthesize pulses of various durations, and analyze the transmitted and reflected signals in the time domain. During tests the first and second ports of the analyzer were connected by pre-calibrated high-frequency cables to the input and output of the coaxial line, respectively.
Figure 10. “Gigantic” coaxial line during its testing in KROT facility room.
The results of measuring the transmitted signals when software synthesized pulses with a duration of 600 ps and 200 ps are applied to the line are shown in Figure 11. For 600 ps input pulse, waveform distortion was negligible; the increase in FWHM was no more than 5%. A 200 ps pulse propagating through the line became approximately 1.7 times wider, which is generally consistent with the results of numerical simulations. The measured amplitudes of the transmitted pulses turned out to be smaller than in the numerical simulations: 83% for a duration of 600 ps (95% in a simulation), and 54% for a duration of 200 ps (63% in a simulation). The difference is due to the fact that the model did not take into account: (i) ohmic losses in the conductors; (ii) additional dielectric elements of the structure, namely, Caprolon spokes supporting the inner conductor. Reflections and re-emission of waves on these elements lead to additional losses in the amplitude of the transmitted signal. Moreover, the used model did not take into account the design features of the connectors and possible imperfections of the contacts in them.
Figure 11. Experimentally measured input and transmitted signals with unipolar EMP with duration of 600 ps (a), and 200 ps (b).
In the course of experimental testing, the influence of circular antennas with a diameter of 50–100 cm, installed into the line for RF inductively coupled plasma generation on the characteristics of transmitted pulses, was checked. The measurements did not reveal any noticeable changes in the shape and amplitude of the transmitted pulses when two antennas were installed in central uniform section of the line.
Thus, the experimental results showed that the manufactured line ensured the propagation of subnanosecond signals with shape distortions close to the simulation results. The amplitude of the transmitted signal was at least 50% of the incident one for 200 ps pulses, and at least 80% for 600 ps pulses. The change in the amplitude and distortions in the shape of pulses longer than 1 ns were even smaller.

5. Conclusions

We have developed a new instrument for the simulation of the interaction of nanosecond EMPs with an ionized gas medium in a large volume within a wide range of pressures and other initial conditions. The “gigantic” coaxial line ensured EMP propagation without refraction losses in the form of a quasi-TEM mode, i.e., under the conditions close to those of the EMP propagation in the partially ionized atmosphere of the Earth. The large longitudinal size of the line (10 m) makes it possible to study both the nonlinear (ionization) phenomena in the EMP field, and the dispersion transformation of a nanosecond EMP in the plasma, which was confirmed by the results of the simulation and preliminary tests. The wide working space (about 60 cm between the inner and outer conductors) allows one to install ionization sources, plasma diagnostic instruments, and electromagnetic probes in the coaxial line without significant perturbations in the structure of the EMP fields and the plasma. The parameters of the manufactured line, obtained from the results of experimental testing without plasma, are in satisfactory agreement with the results of preliminary numerical simulation. The differences are mainly associated with a decrease in the actual EMP transmission coefficient, compared with the simulated one. These differences are due to the neglect of a number of dielectric parts of the line and reflections associated with them in the model, the finite conductivity of the line conductors, as well as imperfect contacts in the connectors. Pulses with durations from 300 ps to several ns are transmitted with shape retention.
The coaxial line will be used to simulate the effects of absorption and transformation of the EMP waveform in the upper atmosphere and ionosphere of the Earth, due to the presence of the background and nonstationary additional ionization, as well as perform laboratory studies of nanosecond discharges in large volumes, test and calibrate diagnostic instruments, and verify the models of EMP interaction with the near-Earth plasma.

Author Contributions

Conceptualization, M.G. (Mikhail Gushchin) and V.T.; methodology, A.P., A.S., Y.R., S.K. (Sergey Kornishin), A.K. (Alexey Kotov), A.K. (Alexey Kuzin); software, S.K. (Sergey Korobkov); investigation and validation, I.Z., S.K. (Sergey Korobkov), and A.G.; formal analysis, M.G. (Mikhail Goykhman) and S.K. (Sergey Korobkov); resources, K.L.; writing—original draft preparation, M.G. (Mikhail Gushchin) and A.P.; writing—review and editing, V.T.; visualization, S.K. (Sergey Korobkov), A.G. and V.K.; supervision, V.T. and S.K. (Sergey Kornishin); project administration, M.G. (Mikhail Gushchin). All authors have read and agreed to the published version of the manuscript.

Funding

The experiments were performed on the Unique Scientific Facility “Complex of Large-Scale Geophysical Facilities (KKGS)”. The study was supported by the Ministry of Science and Higher Education of the Russian Federation, project 075-15-2020-790.

Institutional Review Board Statement

Not applicable.

Data Availability Statement

The data have not been collected using public funds.

Conflicts of Interest

The authors declare no conflict of interest.

References

  1. Solovyev, A.A.; Terekhin, V.A.; Tikhonchuk, V.T.; Altgilbers, L.L. Electron kinetic effects in atmosphere breakdown by an intense electromagnetic pulse. Phys. Rev. E 1999, 60, 7360–7368. [Google Scholar] [CrossRef] [PubMed]
  2. Golubev, A.I.; Sysoeva, T.G.; Terekhin, V.A.; Tikhonchuk, V.T.; Altgilbers, L.L. Kinetic model of the propagation of intense subnanosecond electromagnetic pulse through the lower atmosphere. IEEE Trans. Plasma Sci. 2000, 28, 303–311. [Google Scholar] [CrossRef]
  3. Soldatov, A.V.; Terekhin, V.A. Propagation of an ultrawideband electromagnetic signal in ionospheric plasma. Plasma Phys. Rep. 2016, 42, 970–977. [Google Scholar] [CrossRef]
  4. Gombosi, T.I.; Baker, D.N.; Balogh, A.; Erickson, P.J.; Huba, J.D.; Lanzerotii, L.J. Anthropogenic space weather. Space Sci. Rev. 2017, 212, 985–1039. [Google Scholar] [CrossRef] [Green Version]
  5. Karzac, W.J.; Latter, R. Detection of the electromagnetic radiation from nuclear explosions in space. Phys. Rev. 1965, 137, 1369–1378. [Google Scholar] [CrossRef]
  6. Gilbert, J.L.; Radasky, W.A.; Savage, E.B. Study of nonequilibrium air chemistry. IEEE Trans. Electromagn. Compat. 2013, 55, 446–450. [Google Scholar] [CrossRef]
  7. Pusateri, E.N.; Morris, H.E.; Nelson, E.; Ji, W. Comparison of equilibrium ohmic and nonequilibrium swarm models for monitoring conduction electron evolution in high-altitude EMP calculations. J. Geophys. Res. Atmos. 2016, 121, 11884–11899. [Google Scholar] [CrossRef]
  8. Liu, N.; McHarg, M.G.; Stenbaek-Nielsen, H.C. High-altitude electrical discharges associated with thunderstorms and lightning. J. Atmos. Sol.-Terr. Phys. 2015, 136 Pt A, 98–118. [Google Scholar] [CrossRef] [Green Version]
  9. Rowland, H.L.; Fernsler, R.F.; Huba, J.D.; Bernhardt, P.A. Lightning driven EMP in the upper atmosphere. Geophys. Res. Lett. 1995, 22, 361–364. [Google Scholar] [CrossRef]
  10. Dwyer, J.R.; Smith, D.M.; Cummer, S.A. High-energy atmospheric physics: Terrestrial gamma-ray flashes and related phenomena. Space Sci. Rev. 2012, 173, 133–196. [Google Scholar] [CrossRef] [Green Version]
  11. Vikharev, A.; Gorbachev, A.; Ivanov, O.; Kolisko, A.; Litvak, A. Modeling of the creation and kinetics of the artificial ionized layer in the upper atmosphere. J. Geophys. Res. 1994, 99, 21097–21108. [Google Scholar] [CrossRef]
  12. Alfven, H.; Fälthammar, C.-G. Cosmical Electrodynamics: Fundamental Principles; Clarendon Press: Oxford, UK, 1963. [Google Scholar]
  13. Starikovskaia, S.M.; Anikin, N.B.; Pancheshnyi, S.V.; Zatsepin, D.V.; Starikovskii, A.Y. Starikovskii. Pulsed breakdown at high overvoltage: Development, propagation and energy branching. Plasma Sources Sci. Technol. 2001, 10, 344–355. [Google Scholar] [CrossRef]
  14. Wang, X.; Patel, A.; Bane, S.; Shashurin, A. Experimental study of atmospheric pressure single-pulse nanosecond discharge in pin-to-pin configuration. arXiv 2021, arXiv:2106.09061. [Google Scholar] [CrossRef]
  15. Vasilyak, L.M.; Kostyuchenko, S.V.; Kudryavtsev, N.N.; Filyugin, I.V. Fast ionisation waves under electrical breakdown conditions. Phys.-Uspekhi. 1994, 37, 247–268. [Google Scholar] [CrossRef]
  16. Chen, X.; Zhu, Y.; Wu, Y.; Hao, J.; Ma, X.; Lu, P. Modeling of fast ionization waves in pure nitrogen at moderate pressure. Plasma Sources Sci. Technol. 2021, 30, 065002. [Google Scholar] [CrossRef]
  17. Yee, J.H.; Alvarez, R.A.; Mayhall, D.J.; Byrne, D.P.; DeGroot, J. Theory of intense electromagnetic pulse propagation through the atmosphere. Phys. Fluids 1989, 29, 1238–1244. [Google Scholar] [CrossRef]
  18. Carlile, R.; Cavalli, A.; Cramer, W.; Hyde, R.; Seidler, W. Absorption of energy from a large amplitude electromagnetic pulse by a collisionless plasma. IEEE Trans. Antennas Propag. 1979, 27, 596–603. [Google Scholar] [CrossRef]
  19. Carlile, R.N.; Righettini, M.E. EMP propagation in a plasma-filled waveguide. IEEE Trans. Nucl. Sci. 1985, 32, 1250–1256. [Google Scholar] [CrossRef]
  20. Gushchin, M.E.; Korobkov, S.V.; Strikovskiy, A.V.; Aidakina, N.A.; Zudin, I.Y.; Terekhin, V.A.; Terekhin, A.V.; Soldatov, A.V.; Belov, A.S. Transformation of an ultra-wideband electromagnetic pulse in the process of its propagation through a large laboratory plasma. AIP Adv. 2019, 9, 125051. [Google Scholar] [CrossRef] [Green Version]
  21. Aidakina, N.A.; Galka, A.G.; Gundorin, V.I.; Gushchin, M.E.; Zudin, I.Y.; Korobkov, S.V.; Kostrov, A.V.; Loskutov, K.N.; Mogilevskiy, M.M.; Priver, S.E.; et al. Simulation of physical phenomena in the ionosphere and magnetosphere of the Earth on KROT plasma device. Some Results and Prospects. Geomagn. Aeron. 2018, 58, 314–324. [Google Scholar] [CrossRef]
  22. Lyublinsky, A.G.; Korotkov, S.V.; Aristov, Y.V.; Korotkov, D.A. Pulse power nanosecond-range DSRD-based generators for electric discharge technologies. IEEE Trans. Plasma Sci. 2013, 41, 2625–2629. [Google Scholar] [CrossRef]
  23. Efanov, V.M.; Efanov, M.V.; Komashko, A.V.; Kriklenko, A.V.; Yarin, P.M.; Zazoulin, S.V. High-voltage and high-PRF FID pulse generators. Ultra-Wideband Short Pulse Electromagn. 2010, 9, 301–305. [Google Scholar]
  24. Mesyats, G.A.; Korovin, S.D.; Rostov, V.V.; Shpak, V.G.; Yalandin, M.I. The RADAN series of compact pulsed power generators and their applications. Proc. IEEE 2004, 92, 1166–1179. [Google Scholar] [CrossRef]
  25. Sakharov, K.J.; Mikheev, O.V.; Turkin, V.A.; Dobrotvorskij, M.I.; Sukhov, V.A. Device for Measuring Parameters of Electromagnetic Pulse with Ultrashort Rise Time. Russian Federation Patent RU2468375C1, 27 November 2012. [Google Scholar]
  26. Gushchin, M.E.; Korobkov, S.V.; Zudin, I.Y.; Nikolenko, A.S.; Mikryukov, P.A.; Syssoev, V.S.; Sukharevsky, D.I.; Orlov, A.I.; Naumova, M.Y.; Kuznetsov, Y.A.; et al. Nanosecond electromagnetic pulses generated by electric discharges: Observation with clouds of charged water droplets and implications for lightning. Geophys. Res. Lett. 2021, 48, e2020GL092108. [Google Scholar] [CrossRef]
  27. Dassault Systèmes. Available online: https://www.3ds.com/ (accessed on 22 November 2021).
  28. Inan, U.S.; Marshall, R.A. Numerical Electromagnetics: The FDTD Method; Cambridge University Press: New York, NY, USA, 2011. [Google Scholar]
Publisher’s Note: MDPI stays neutral with regard to jurisdictional claims in published maps and institutional affiliations.

Article Metrics

Citations

Article Access Statistics

Multiple requests from the same IP address are counted as one view.