The SXFEL Upgrade: From Test Facility to User Facility
Abstract
:1. Introduction
2. Main Parts of the SXFEL User Facility
2.1. Schematic and Parameters
2.2. Linac
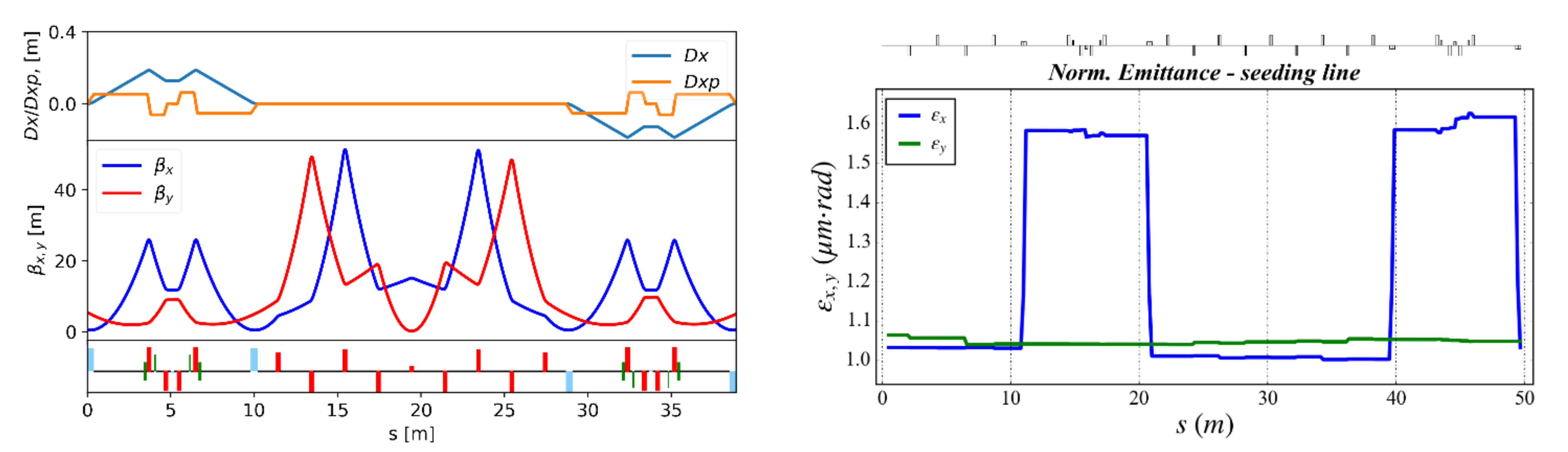
2.3. Switchyard
2.4. Undulator Lines and the FEL Performance
3. Various Types of Undulators for SXFEL-UF
4. Commissioning Status
4.1. Linac
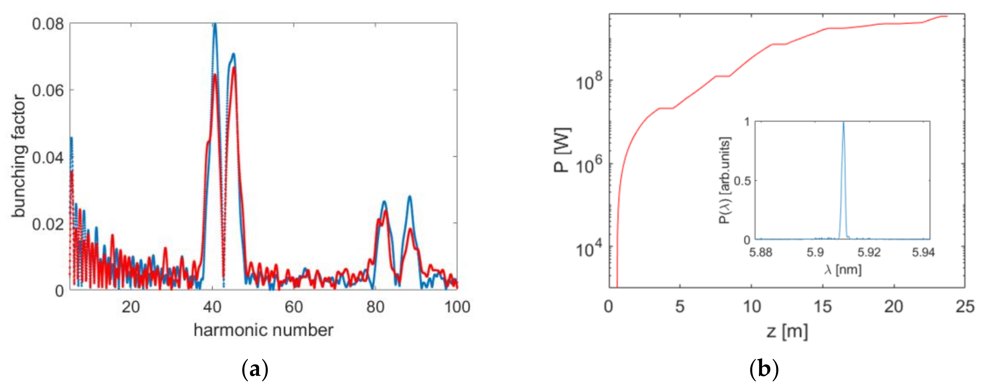
4.2. SASE FEL Line
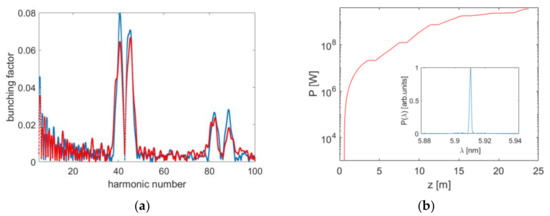
4.3. Switchyard and Seeding FEL Line
5. Conclusions
Author Contributions
Funding
Institutional Review Board Statement
Informed Consent Statement
Data Availability Statement
Acknowledgments
Conflicts of Interest
References
- Ackermann, W.A.; Asova, G.; Ayvazyan, V.; Azima, A.; Baboi, N.; Bähr, J.; Balandin, V.; Beutner, B.; Brandt, A.; Bolzmann, A.; et al. Operation of a free-electron laser from the extreme ultraviolet to the water window. Nat. Photonics 2007, 1, 336–342. [Google Scholar] [CrossRef]
- Emma, P.; Akre, R.; Arthur, J.; Bionta, R.; Bostedt, C.; Bozek, J.; Brachmann, A.; Bucksbaum, P.; Coffee, R.; Decker, F.-J.; et al. First lasing and operation of an ångstrom-wavelength free-electron laser. Nat. Photonics 2010, 4, 641–647. [Google Scholar] [CrossRef]
- Ishikawa, T.; Aoyagi, H.; Asaka, T.; Asano, Y.; Azumi, N.; Bizen, T.; Ego, H.; Fukami, K.; Fukui, T.; Furukawa, Y.; et al. A compact X-ray free-electron laser emitting in the sub-angstrom region. Nat. Photonics 2012, 6, 540–544. [Google Scholar] [CrossRef]
- Allaria, E.; Appio, R.; Badano, L.; Barletta, W.A.; Bassanese, S.; Biedron, S.G.; Borga, A.; Busetto, E.; Castronovo, D.; Cinquegrana, P.; et al. Highly coherent and stable pulses from the FERMI seeded free-electron laser in the extreme ultraviolet. Nat. Photonics 2012, 6, 699–704. [Google Scholar] [CrossRef]
- Kang, H.S.; Min, C.K.; Heo, H.; Kim, C.; Yang, H.; Kim, G.; Nam, I.; Baek, S.Y.; Choi, H.J.; Mun, G.; et al. Hard X-ray free-electron laser with femtosecond-scale timing jitter. Nat. Photonics 2017, 11, 708–713. [Google Scholar] [CrossRef]
- Prat, E.; Abela, R.; Aiba, M.; Alarcon, A.; Alex, J.; Arbelo, Y.; Arrell, C.; Arsov, V.; Bacellar, C.; Beard, C.; et al. A compact and cost-effective hard X-ray free-electron laser driven by a high-brightness and low-energy electron beam. Nat. Photonics 2020, 14, 748–754. [Google Scholar] [CrossRef]
- Decking, W.; Abeghyan, S.; Abramian, P.; Abramsky, A.; Aguirre, A.; Albrecht, C.; Alou, P.; Altarelli, M.; Altmann, P.; Amyan, K.; et al. A MHz-repetition-rate hard X-ray free-electron laser driven by a superconducting linear accelerator. Nat. Photonics 2020, 14, 391–397. [Google Scholar] [CrossRef]
- Zhao, Z.T.; Chen, S.Y.; Yu, L.H.; Tang, C.X.; Yin, L.X.; Wang, D.; Gu, Q. Shanghai soft X-ray free electron laser test facility. In Proceedings of the IPAC2011, San Sebastián, Spain, 4–9 September 2011; pp. 3011–3013. [Google Scholar]
- Zhao, Z.T.; Wang, D.; Yin, L.X.; Gu, Q.; Fang, G.P.; Liu, B. The current status of the SXFEL project. AAPPS Bull. 2016, 26, 12–24. [Google Scholar]
- Zhao, Z.; Wang, D.; Gu, Q.; Yin, L.; Gu, M.; Leng, Y.; Liu, B. Status of the SXFEL Facility. Appl. Sci. 2017, 7, 607. [Google Scholar] [CrossRef] [Green Version]
- SLAC National Accelerator Laboratory. Linac Coherent Light Source II (LCLS-II) Project Final Design Report—LCLSII-1.1-dr-0251-r0; SLAC National Accelerator Laboratory: Menlo Park, CA, USA, 2015. [Google Scholar]
- Liu, T.; Dong, X.; Feng, C. Start-to-end Simulations of the Reflection Hard X-Ray Self-Seeding at the SHINE Project. In Proceedings of the 39th International Free Electron Laser Conference—FEL 19, Hamburg, Germany, 26–30 August 2019; pp. 254–257. [Google Scholar] [CrossRef]
- Kondratenko, A.M.; Saldin, E.L. Generating of coherent radiation by a relativistic electron beam in an ondulator. Part. Accel. 1980, 10, 207–216. [Google Scholar]
- Bonifacio, R.; Pellegrini, C.; Narducci, L.M. Collective instabilities and high-gain regime in a free electron laser. Opt. Commun. 1984, 50, 373–378. [Google Scholar] [CrossRef] [Green Version]
- Yu, L.-H. Generation of intense uv radiation by subharmonically seeded single-pass free-electron lasers. Phys. Rev. A 1991, 44, 5178. [Google Scholar] [CrossRef]
- Yu, L.-H.; Babzien, M. High-gain harmonic-generation free-electron laser. Science 2000, 289, 932–935. [Google Scholar] [CrossRef] [Green Version]
- Stupakov, G. Using the Beam-Echo Effect for Generation of Short-Wavelength Radiation. Phys. Rev. Lett. 2009, 102, 074801. [Google Scholar] [CrossRef] [Green Version]
- Xiang, D.; Stupakov, G. Echo-enabled harmonic generation free electron laser. Phys. Rev. ST Accel. Beams 2009, 12, 030702. [Google Scholar] [CrossRef] [Green Version]
- Yu, L.-H.; Ben-Zvi, I. High-gain harmonic generation of soft X-rays with the “fresh bunch” technique. Nucl. Instrum. Methods Phys. Res. Sect. A Accel. Spectrometers Detect. Assoc. Equip. 1997, 393, 96–99. [Google Scholar] [CrossRef] [Green Version]
- Wu, J.H.; Yu, L.H. Coherent Hard X-ray Production by Cascading Stages of High Gain Harmonic Generation X-ray FEL. Nucl. Instrum. Methods A 2001, 475, 104–111. [Google Scholar] [CrossRef]
- Xiang, D.; Colby, E.; Dunning, M.; Gilevich, S.; Hast, C.; Jobe, K.; McCormick, D.; Nelson, J.; Raubenheimer, T.O.; Soong, K.; et al. Demonstration of the echo-enabled harmonic generation technique for short-wavelength seeded free electron lasers. Phys. Rev. Lett. 2010, 105, 14801. [Google Scholar] [CrossRef] [Green Version]
- Xiang, D.; Colby, E.; Dunning, M.; Gilevich, S.; Hast, C.; Jobe, K.; McCormick, D.; Nelson, J.; Raubenheimer, T.O.; Soong, K.; et al. Evidence of high harmonics from echo-enabled harmonic generation for seeding X-ray free electron lasers. Phys. Rev. Lett. 2012, 108, 024802. [Google Scholar] [CrossRef] [Green Version]
- Hemsing, E.; Dunning, M.; Hast, C.; Raubenheimer, T.O.; Weathersby, S.; Xiang, D. Highly coherent vacuum ultraviolet radiation at the 15th harmonic with echo-enabled harmonic generation technique. Phys. Rev. ST Accel. Beams 2014, 17, 070702. [Google Scholar] [CrossRef] [Green Version]
- Hemsing, E.; Dunning, M.; Garcia, B.; Hast, C.; Raubenheimer, T.; Stupakov, G.; Xiang, D. Echo-enabled harmonics up to the 75th order from precisely tailored electron beams. Nat. Photonics 2016, 10, 512–515. [Google Scholar] [CrossRef]
- Zhao, Z.T.; Wang, D.; Chen, J.H.; Chen, Z.H.; Deng, H.X.; Ding, J.G.; Feng, C.; Gu, Q.; Huang, M.M.; Lan, T.H.; et al. First lasing of an echo-enabled harmonic generation free-electron laser. Nat. Photonics 2012, 6, 360–363. [Google Scholar] [CrossRef]
- Liu, B.; Li, W.B.; Chen, J.H.; Chen, Z.H.; Deng, H.X.; Ding, J.G.; Fan, Y.; Fang, G.P.; Feng, C.; Feng, L.; et al. Demonstration of a widely-tunable and fully-coherent high-gain harmonic-generation free-electron laser. Phys. Rev. Spec. Top. Accel. Beams 2013, 16, 020704. [Google Scholar] [CrossRef]
- Allaria, E.; Castronovo, D.; Cinquegrana, P.; Craievich, P.; Dal Forno, M.; Danailov, M.B.; D’Auria, G.; Demidovich, A.; De Ninno, G.; Di Mitri, S.; et al. Two-stage seeded soft-X-ray free-electron laser. Nat. Photonics 2013, 7, 913–918. [Google Scholar] [CrossRef]
- Ribič, P.R.; Abrami, A.; Badano, L.; Bossi, M.; Braun, H.H.; Bruchon, N.; Capotondi, F.; Castronovo, D.; Cautero, M.; Cinquegrana, P. Coherent soft X-ray pulses from an echo-enabled harmonic generation free-electron laser. Nat. Photonics 2019, 13, 555–561. [Google Scholar] [CrossRef] [Green Version]
- Feng, C.; Deng, H.; Zhang, M.; Wang, X.; Chen, S.; Liu, T.; Zhou, K.; Gu, D.; Wang, Z.; Jiang, Z.; et al. Coherent extreme ultraviolet free-electron laser with echo-enabled harmonic generation. Phys. Rev. Accel. Beams 2019, 22, 050703. [Google Scholar] [CrossRef] [Green Version]
- Miao, J.; Sandberg, R.L.; Song, C. Coherent X-ray diffraction imaging. IEEE J. Sel. Top. Quantum Electron. 2011, 18, 399–410. [Google Scholar] [CrossRef]
- Bostedt, C.; Bozek, J.; Bucksbaum, P.; Coffee, R.; Hastings, J.; Huang, Z.; Lee, R.; Schorb, S.; Corlett, J.; Denes, P. Ultra-fast and ultra-intense x-ray sciences: First results from the Linac Coherent Light Source free-electron laser. J. Phys. B At. Mol. Opt. Phys. 2013, 46, 164003. [Google Scholar] [CrossRef]
- Feldhaus, J.; Krikunova, M.; Meyer, M.; Möller, T.; Moshammer, R.; Rudenko, A.; Tschentscher, T.; Ullrich, J. AMO science at the FLASH and European XFEL free-electron laser facilities. J. Phys. B At. Mol. Opt. Phys. 2013, 46, 164002. [Google Scholar] [CrossRef]
- Lu, W.; Friedrich, B.; Noll, T.; Zhou, K.; Hallmann, J.; Ansaldi, G.; Roth, T.; Serkez, S.; Geloni, G.; Madsen, A. Development of a hard X-ray split-and-delay line and performance simulations for two-color pump-probe experiments at the European XFEL. Rev. Sci. Instrum. 2018, 89, 063121. [Google Scholar] [CrossRef]
- Huang, Z.; Borland, M.; Emma, P.; Wu, J.; Limborg, C.; Stupakov, G.; Welch, J. Suppression of microbunching instability in the linac coherent light source. Phys. Rev. Spec. Top.-Accel. Beams 2004, 7, 074401. [Google Scholar] [CrossRef] [Green Version]
- Sun, Y.; Emma, P.; Raubenheimer, T.; Wu, J. X-band rf driven free electron laser driver with optics linearization. Phys. Rev. Spec. Top.-Accel. Beams 2014, 17, 110703. [Google Scholar] [CrossRef] [Green Version]
- Borland, M. Elegant: A Flexible SDDS-Compliant Code for Accelerator Simulation; Technical Report No. LS-287; Advanced Photon Source: Argonne, IL, USA, 2000. [Google Scholar]
- Chen, S.; Deng, H.; Feng, C.; Wang, R.; Liu, B.; Wang, D. Design of the Beam Switchyard of a Soft X-ray FEL User Facility in Shanghai. In Proceedings of the IPAC2018, Vancouver, BC, Canada, 29 April–4 May 2018; pp. 4456–4459. [Google Scholar] [CrossRef]
- Di Mitri, S.; Cornacchia, M.; Spampinati, S. Cancellation of coherent synchrotron radiation kicks with optics balance. Phys. Rev. Lett. 2013, 110, 014801. [Google Scholar] [CrossRef]
- Feng, C.; Huang, D.; Deng, H.; Chen, J.; Xiang, D.; Liu, B.; Wang, D.; Zhao, Z. A single stage EEHG at SXFEL for narrow-bandwidth soft X-ray generation. Sci. Bull. 2016, 61, 1202–1212. [Google Scholar] [CrossRef] [Green Version]
- Reiche, S. GENESIS 1.3: A fully 3D time-dependent FEL simulation code. Nucl. Instrum. Methods A 1999, 429, 243–248. [Google Scholar] [CrossRef]
- Ding, Y.; Emma, P.; Huang, Z.; Kumar, V. Optical klystron enhancement to self-amplified spontaneous emission free electron lasers. Phys. Rev. Spec. Top.-Accel. Beams 2006, 9, 070702. [Google Scholar] [CrossRef] [Green Version]
- Penco, G.; Allaria, E.; De Ninno, G.; Ferrari, E.; Giannessi, L. Experimental demonstration of enhanced self-amplified spontaneous emission by an optical klystron. Phys. Rev. Rev. Lett. 2015, 114, 013901. [Google Scholar] [CrossRef] [Green Version]
- Thompson, N.; McNeil, B.; Dunning, D. High brightness SASE operation of X-ray FELs. Phys. Procedia 2014, 52, 52–61. [Google Scholar] [CrossRef] [Green Version]
- Lutman, A.A.; Guetg, M.W.; Maxwell, T.J.; MacArthur, J.P.; Ding, Y.; Emma, C.; Krzywinski, J.; Marinelli, A.; Huang, Z. High-power femtosecond soft x rays from fresh-slice multistage free-electron lasers. Phys. Rev. Lett. 2018, 120, 264801. [Google Scholar] [CrossRef] [Green Version]
- Lutman, A.A.; Maxwell, T.J.; MacArthur, J.P.; Guetg, M.W.; Berrah, N.; Coffee, R.N.; Ding, Y.; Huang, Z.; Marinelli, A.; Moeller, S. Fresh-slice multicolour X-ray free-electron lasers. Nat. Photonics 2016, 10, 745–750. [Google Scholar] [CrossRef]
















| Parameter | Values | Unit |
|---|---|---|
| linac | ||
| Electron energy | 1.5 | GeV |
| Project energy spread (rms) | ≤0.1 | % |
| Normalized project emittance (rms) | ≤1.5 | mm·mrad |
| Bunch charge | 0.5 | nC |
| Peak current | ≥700 | A |
| Undulator | ||
| SASE line | ||
| Central wavelength | ~2 | nm |
| Output peak power | ≥100 | MW |
| Seeding line | ||
| Central wavelength | ~3 | nm |
| Output peak power | ≥100 | MW |
| Section | Energy (MeV) | Pulse Duration (ps, FWHM) | Gradient (MV/m) | RF Phase/Bend Angle (deg) | R56 (mm) |
|---|---|---|---|---|---|
| L1 | 250 | 10 | 20 | −30.5 | - |
| X | 235 | 10 | 16 | 180 | - |
| BC1 | - | 0.8 | 3.968 | −48 | |
| L2 | 640 | 0.8 | 38 | 5 | - |
| BC2 | - | 0.8 | 0 | 0 | |
| L3 | 1500 | 0.8 | 38 | 5 | - |
| SASE | Seeding | ||||
|---|---|---|---|---|---|
| Model | IVU16 | EPU20 | U23.5 | U30/50 | EPU30 |
| Period Length (mm) | 16 | 20 | 23.5 | 30/50 | 30 |
| Min. gap (mm) | 3.8 | 6.7 | 8.75 | 9 | 9.3 |
| Effective field (T) | 1.14 | 0.8 | 0.65 | 0.8/1.18 | 0.8 |
| Magnet | SmCo Br = 1.13 T | NdFeB Br = 1.3 T | NdFeB Br = 1.25 T | NdFeB Br = 1.25 T | NdFeB Br = 1.25 T |
| Magnet Structure | IVU-Hybrid | APPLE-III | Hybrid | Hybrid: switchable | APPLE-II |
Publisher’s Note: MDPI stays neutral with regard to jurisdictional claims in published maps and institutional affiliations. |
© 2021 by the authors. Licensee MDPI, Basel, Switzerland. This article is an open access article distributed under the terms and conditions of the Creative Commons Attribution (CC BY) license (https://creativecommons.org/licenses/by/4.0/).
Share and Cite
Liu, B.; Feng, C.; Gu, D.; Gao, F.; Deng, H.; Zhang, M.; Sun, S.; Chen, S.; Zhang, W.; Fang, W.; et al. The SXFEL Upgrade: From Test Facility to User Facility. Appl. Sci. 2022, 12, 176. https://doi.org/10.3390/app12010176
Liu B, Feng C, Gu D, Gao F, Deng H, Zhang M, Sun S, Chen S, Zhang W, Fang W, et al. The SXFEL Upgrade: From Test Facility to User Facility. Applied Sciences. 2022; 12(1):176. https://doi.org/10.3390/app12010176
Chicago/Turabian StyleLiu, Bo, Chao Feng, Duan Gu, Fei Gao, Haixiao Deng, Meng Zhang, Sen Sun, Si Chen, Wei Zhang, Wencheng Fang, and et al. 2022. "The SXFEL Upgrade: From Test Facility to User Facility" Applied Sciences 12, no. 1: 176. https://doi.org/10.3390/app12010176
APA StyleLiu, B., Feng, C., Gu, D., Gao, F., Deng, H., Zhang, M., Sun, S., Chen, S., Zhang, W., Fang, W., Wang, Z., Zhou, Q., Leng, Y., Gu, M., Yin, L., Gu, Q., Fang, G., Wang, D., & Zhao, Z. (2022). The SXFEL Upgrade: From Test Facility to User Facility. Applied Sciences, 12(1), 176. https://doi.org/10.3390/app12010176

