Orbit Decomposition Method for Rotordynamic Coefficients Identification of Annular Seals
Abstract
Featured Application
Abstract
1. Introduction
2. Review of Transient Method for Rotordynamic Coefficient Identification
3. Rotordynamic Coefficient Identification Based on Orbit Decomposition Method
3.1. Elliptical Orbit Decomposition
3.2. Fluid-Induced Force Superposition
3.3. Rotordynamic Coefficient Identification
4. Numerical Model for Validation
4.1. Seal Geometry and Operating Conditions
4.2. Computational Model and Mesh
4.3. Solution Technique
5. Results and Discussion
5.1. Rotordynamic Results Comparison Between Two numerical Methods
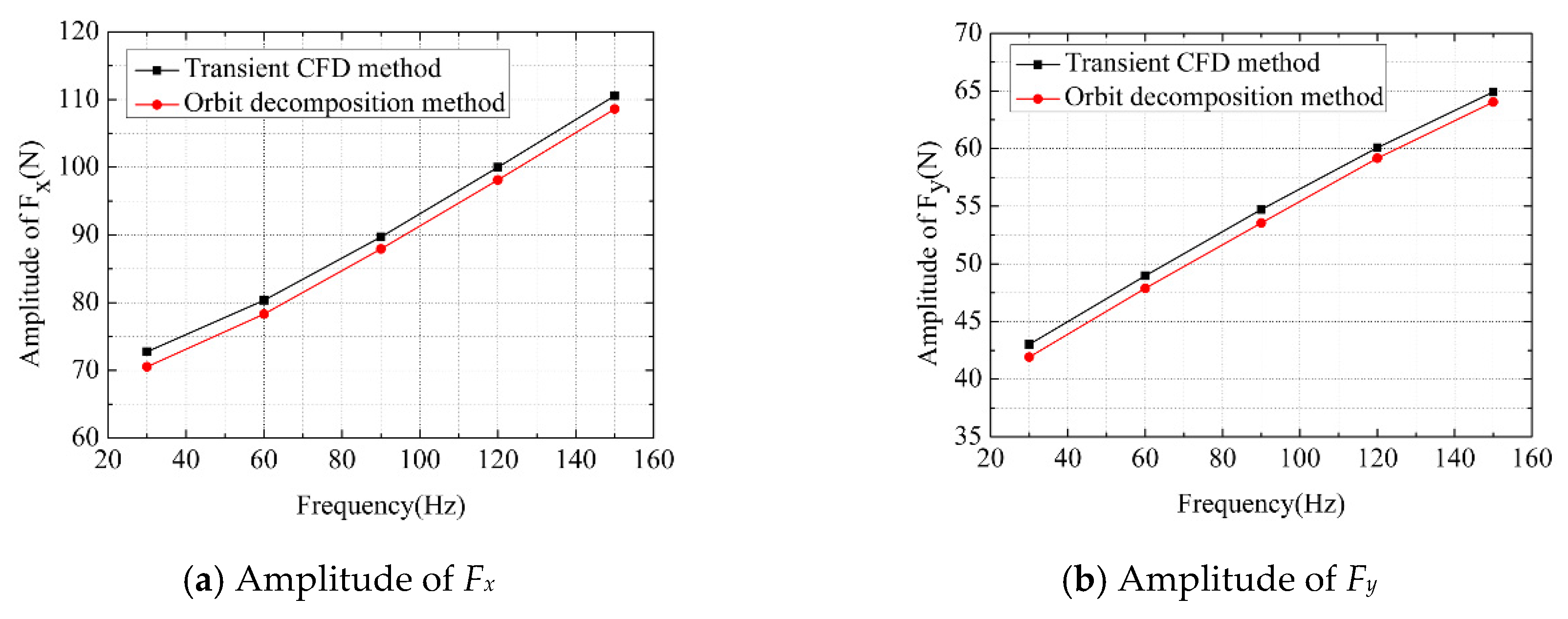
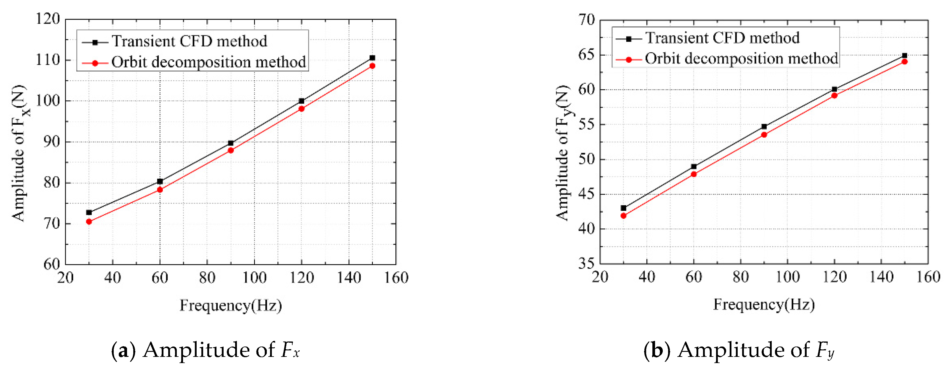
5.1.1. Fluid-Induced Forces
5.1.2. Rotordynamic Coefficients
5.1.3. Computational Time
5.2. Whirl Amplitude Analysis
5.3. Whirl Orbit Ellipticity Analysis
6. Comparison with Experimental Data
7. Limitations and Future Research Directions
8. Conclusions
- (1)
- Compared with the transient CFD method, the orbit decomposition method with steady state simulation can significantly reduce the computational time.
- (2)
- The orbit decomposition method and the transient CFD method have a similar accuracy in predicting the fluid-induced forces and rotordynamic coefficients.
- (3)
- The orbit decomposition method is valid when the whirl amplitude is less than 20% of the seal clearance. The accuracy of the orbit decomposition method decreases when the whirl amplitude is larger than 20% of the seal clearance.
- (4)
- The rotordynamic coefficients arising from the orbit decomposition method are not sensitive to the ellipticity.
Author Contributions
Funding
Institutional Review Board Statement
Informed Consent Statement
Data Availability Statement
Acknowledgments
Conflicts of Interest
Nomenclature
| a | Major semiaxis (m) |
| A | Amplitude of fluid-induced forces (N) |
| b | Minor semiaxis (m) |
| B | Initial phase (rad) |
| c | Cross-coupled damping (Ns/m) |
| C | Direct damping (Ns/m) |
| Cr | Seal clearance (m) |
| f | Whirl frequency (Hz) |
| F | Fluid-induced force (N) |
| Fr | Radial force (N) |
| Ft | Tangential force (N) |
| Fx | x direction component of the fluid-induced force (N) |
| Fy | y direction component of the fluid-induced force (N) |
| h | Seal cavity height (m) |
| k | Cross-coupled stiffness (N/m) |
| K | Direct stiffness (N/m) |
| n | Number of seal teeth |
| Pi | Inlet pressure (MPa) |
| Po | Outlet pressure (MPa) |
| r | Whirl radius (m) |
| R | Rotor radius (m) |
| t | Time (s) |
| T | Temperature (K) |
| Vi | Preswirl velocity (m/s) |
| w1 | Seal cavity width (m) |
| w2 | Tooth tip thickness (m) |
| w3 | Tooth root thickness (m) |
| X | x direction rotor displacement (m) |
| Y | y direction rotor displacement (m) |
| α | Ellipse attitude angle (rad) |
| λ | Ellipticity |
| ω | Rotational speed (rad/s) |
| Ω | Rotor whirl velocity (rad/s) |
| ∆t | Time step (s) |
| Subscripts | |
| b | Backward circular orbit whirl model |
| f | Forward circular orbit whirl model |
| i | Inlet |
| o | Outlet |
| r | Radial direction |
| t | Tangential direction |
| x | x direction |
| y | y direction |
| Superscripts | |
| 0 | Ωt = 0 rad condition |
| 1 | Ωt = π/2 rad condition |
| Abbreviations | |
| CFD | Computational fluid dynamics |
References
- Liang, D.; Gui, X.M.; Jin, D.H. Influence of Seal Cavity Leakage Flow on Compressor Performance Investigated with a Circumferentially Averaged Method. Appl. Sci. 2021, 11, 780. [Google Scholar] [CrossRef]
- Du, Q.; Zhang, D. Numerical Investigation on Flow Characteristics and Aerodynamic Performance of a 1.5-Stage SCO2 Axial-Inflow Turbine with Labyrinth Seals. Appl. Sci. 2020, 10, 373. [Google Scholar] [CrossRef]
- Cao, L.H.; Wang, J.X.; Li, P.; Hu, P.F.; Li, Y. Numerical Analysis on Steam Exciting Force Caused by Rotor Eccentricity. Shock. Vib. 2017, 2017, 8602965. [Google Scholar] [CrossRef]
- Xu, Q.; Niu, J.K.; Yao, H.L.; Zhao, L.C.; Wen, B.C. Fluid-Induced Vibration Elimination of a Rotor/Seal System with the Dy-namic Vibration Absorber. Shock Vib. 2018, 2018, 1738941. [Google Scholar]
- Jeon, S.M.; Kwak, H.D.; Yoon, S.H.; Kim, J. Rotordynamic analysis of a high thrust liquid rocket engine fuel (Kerosene) turbopump. Aerosp. Sci. Technol. 2013, 26, 169–175. [Google Scholar] [CrossRef]
- Tsukuda, T.; Hirano, T.; Watson, C.; Morgan, N.R.; Weaver, B.K.; Wood, H.G. A Numerical Investigation of the Effect of Inlet Preswirl Ratio on Rotordynamic Characteristics of Labyrinth Seal. J. Eng. Gas Turbines Power 2018, 140, 082506. [Google Scholar] [CrossRef]
- Cangioli, F.; Chatterton, S.; Pennacchi, P.; Nettis, L.; Ciuchicchi, L. Thermo-elasto bulk-flow model for labyrinth seals in steam turbines. Tribol. Int. 2018, 119, 359–371. [Google Scholar] [CrossRef]
- Iwatsubo, T.; Motooka, N.; Kawai, R. Flow Induced Force of Labyrinth Seal. In Proceedings of the Workshop on Rotordynamic Instability Problems in High-Performance Turbomachinery, College Station, TX, USA, 18 December 1982; NASA Lewis Research Center: Cleveland, OH, USA, 1982; pp. 205–222. [Google Scholar]
- Wyssmann, H.R.; Pham, T.C.; Jenny, R.J. Prediction of Stiffness and Damping Coefficients for Centrifugal Compressor Laby-rinth Seals. J. Eng. Gas. Turbines Power 1984, 106, 920–926. [Google Scholar] [CrossRef]
- Nordmann, R.; Weiser, P. Evaluation of Rotordynamic Coefficients of Look-Through Labyrinths by Means of a Three Volume Bulk Flow Model. In Proceedings of the Workshop on Rotordynamic Instability Problems in High-Performance Turbomachinery, Houston, TX, USA, 1 October 1991; NASA Lewis Research Center: Cleveland, OH, USA, 1991; pp. 147–163. [Google Scholar]
- Dereli, Y. Comparison of rotordynamic coefficients for labyrinth seals using a two-control volume method. Proc. Inst. Mech. Eng. Part A J. Power Energy 2008, 222, 123–135. [Google Scholar] [CrossRef]
- Wu, T.C.; San Andrés, L. Gas Labyrinth Seals: On the Effect of Clearance and Operating Conditions on Wall Friction Factors—A CFD Investigation. Tribol. Int. 2019, 131, 363–376. [Google Scholar] [CrossRef]
- Moore, J.J. Three-Dimensional CFD Rotordynamic Analysis of Gas Labyrinth Seals. J. Vib. Acoust. 2003, 125, 427–433. [Google Scholar] [CrossRef]
- Hirano, T.; Guo, Z.L.; Kirk, R.G. Application of Computational Fluid Dynamics Analysis for Rotating Machinery-Part Ⅱ: Labyrinth Seal Analysis. J. Eng. Gas. Turbines Power 2005, 127, 820–826. [Google Scholar] [CrossRef]
- Nielsen, K.K.; Jønck, K.; Underbakke, H. Hole-Pattern and Honeycomb Seal Rotordynamic Forces: Validation of CFD-Based Prediction Techniques. J. Eng. Gas Turbines Power 2012, 134, 122505. [Google Scholar] [CrossRef]
- Ertas, B.H.; Delgado, E.A.; Vannini, G. Rotordynamic Force Coefficients for Three Types of Annular Gas Seals with Inlet Preswirl and High Differential Pressure Ratio. J. Eng. Gas Turbines Power 2012, 134, 042503. [Google Scholar] [CrossRef]
- Vannini, G.; Cioncolini, S.; Del Vescovo, G.; Rovini, M. Labyrinth Seal and Pocket Damper Seal High Pressure Rotordynamic Test Data. J. Eng. Gas Turbines Power 2013, 136, 022501. [Google Scholar] [CrossRef]
- Thorat, M.R.; Hardin, J.R. Rotordynamic Characteristics Prediction for Hole-Pattern Seals Using Computational Fluid Dynamics. J. Eng. Gas. Turbines Power 2020, 142, 021004. [Google Scholar] [CrossRef]
- Childs, D.W.; Arthur, S.; Mehta, N.J. The Impact of Hole Depth on the Rotordynamic and Leakage Characteristics of Hole-Pattern-Stator Gas Annular Seals. J. Eng. Gas Turbines Power 2014, 136, 042501. [Google Scholar] [CrossRef]
- Vannini, G.; Thorat, M.R.; Childs, D.W.; Libraschi, M. Impact of Frequency Dependence of Gas Labyrinth Seal Rotordynamic Coefficients on Centrifugal Compressor Stability. In Proceedings of the ASME Turbo Expo: Power for Land, Sea and Air, Glasgow, Scotland, UK, 14–18 June 2010; ASME: New York, NY, USA, 2010; pp. 1–10. [Google Scholar]
- Chochua, G.; Soulas, T.A. Numerical Modeling of Rotordynamic Coefficients for Deliberately Roughened Stator Gas Annular Seals. J. Tribol. 2007, 129, 424–429. [Google Scholar] [CrossRef]
- Yan, X.; Li, J.; Feng, Z. Investigations on the Rotordynamic Characteristics of a Hole-Pattern Seal Using Transient CFD and Periodic Circular Orbit Model. J. Vib. Acoust. 2011, 133, 041007. [Google Scholar] [CrossRef]
- Yan, X.; He, K.; Li, J.; Feng, Z.P. Rotordynamic Performance Prediction for Surface-Roughened Seal Using Transient Compu-tational Fluid Dynamics and Elliptical Orbit Model. Proc. Inst. Mech. Eng. Part A J. Power Energy 2012, 226, 975–988. [Google Scholar] [CrossRef]
- Yan, X.; He, K.; Li, J.; Feng, Z. Numerical Investigations on Rotordynamic Characteristic of Hole-Pattern Seals with Two Different Hole-Diameters. J. Turbomach. 2015, 137, 071011. [Google Scholar] [CrossRef]
- Li, Z.G.; Li, J.; Feng, Z.P. Numerical Investigations on the Leakage and Rotordynamic Characteristics of Pocket Damper Seals—Part Ⅱ: Effects of Partition Wall Type, Partition Wall Number, and Cavity Depth. J. Eng. Gas. Turbines Power 2015, 137, 032504. [Google Scholar] [CrossRef]
- Li, Z.; Li, J.; Feng, Z. Numerical Comparison of Rotordynamic Characteristics for a Fully Partitioned Pocket Damper Seal and a Labyrinth Seal with High Positive and Negative Inlet Preswirl. J. Eng. Gas Turbines Power 2015, 138, 042505. [Google Scholar] [CrossRef]
- Gao, R.; Kirk, G. CFD Study on Stepped and Drum Balance Labyrinth Seal. Tribol. Trans. 2013, 56, 663–671. [Google Scholar] [CrossRef]




















| Parameter | Value |
|---|---|
| Number of teeth, n | 5 |
| Rotor radius, R/m | 0.1374 |
| Seal cavity height, h/m | 3.556 × 10−3 |
| Seal cavity width, w1/m | 2.286 × 10−3 |
| Tooth tip thickness, w2/m | 0.254 × 10−3 |
| Tooth root thickness, w3/m | 1.524 × 10−3 |
| Clearance at teeth, Cr/m | 0.292 × 10−3 |
| Inlet temperature, T/K | 366.7 |
| Inlet pressure, Pi/MPa | 3.447 |
| Outlet pressure, Po/MPa | 1.724 |
| Rotational speed, ω/rad/s | 1162 |
| Preswirl velocity, Vi/m/s | 0 |
| Method | Transient Method | Orbit Decomposition Method | |
|---|---|---|---|
| Transient Simulation (Forward Whirl) | Steady State Simulation (Forward Whirl) | Steady State Simulation (Backward Whirl) | |
| Fluid | Ideal gas | Ideal gas | Ideal gas |
| Turbulence model | K-ε | k-ε | k-ε |
| Wall properties | Adiabatic, smooth surface | Adiabatic, smooth surface | Adiabatic, smooth surface |
| Whirl orbit | Elliptical orbit | Circular orbit | Circular orbit |
| Major semiaxis, a/m | 0.1 Cr, 0.2 Cr, 0.3 Cr, 0.4 Cr, 0.5 Cr | / | / |
| Minor semiaxis, b/m | 0, 0.5 a, 0.9 a | / | / |
| Ellipse attitude angle, α/rad | 0 | / | / |
| Whirl radius, r/m | / | (a + b)/2 | (a − b)/2 |
| Rotational speed, ω/rad/s | 1162 | 1162 | 1162 |
| Whirl frequency, f/Hz | 30, 60, 90, 120, 150 | 30, 60, 90, 120, 150 | 30, 60, 90, 120, 150 |
| Time step, Δt/s | 1/720 × f | / | / |
| Frequency | Forward Circular Orbit Whirl | Backward Circular Orbit Whirl | ||
|---|---|---|---|---|
| Ftf (N) | Frf (N) | Ftb (N) | Frb (N) | |
| 30 Hz | −21.177 | −51.649 | −0.577 | −15.813 |
| 60 Hz | −29.586 | −55.511 | 2.843 | −15.777 |
| 90 Hz | −37.181 | −60.095 | 6.308 | −16.336 |
| 120 Hz | −43.788 | −65.297 | 9.400 | −17.160 |
| 150 Hz | −49.355 | −70.808 | 12.431 | −18.498 |
| Frequency | Initial Phase of Fx (rad) | Initial Phase of Fy (rad) | ||
|---|---|---|---|---|
| Transient CFD Method | Orbit Decomposition Method | Transient CFD Method | Orbit Decomposition Method | |
| 30 Hz | −0.410π | −0.407π | −0.834π | −0.827π |
| 60 Hz | −0.370π | −0.365π | −0.819π | −0.812π |
| 90 Hz | −0.343π | −0.336π | −0.811π | −0.805π |
| 120 Hz | −0.321π | −0.319π | −0.807π | −0.804π |
| 150 Hz | −0.313π | −0.308π | −0.810π | −0.805π |
| Computational Method | Frequency Number | Solution Number (Each Frequency) | Time for One Computation (h) | Total Time (h) |
|---|---|---|---|---|
| Transient CFD method | 5 | 1 | 45 | 225 |
| Orbit decomposition method | 5 | 2 | 0.8 | 8 |
Publisher’s Note: MDPI stays neutral with regard to jurisdictional claims in published maps and institutional affiliations. |
© 2021 by the authors. Licensee MDPI, Basel, Switzerland. This article is an open access article distributed under the terms and conditions of the Creative Commons Attribution (CC BY) license (https://creativecommons.org/licenses/by/4.0/).
Share and Cite
Zhang, M.; Yang, J.; Zhang, W.; Gu, Q. Orbit Decomposition Method for Rotordynamic Coefficients Identification of Annular Seals. Appl. Sci. 2021, 11, 4237. https://doi.org/10.3390/app11094237
Zhang M, Yang J, Zhang W, Gu Q. Orbit Decomposition Method for Rotordynamic Coefficients Identification of Annular Seals. Applied Sciences. 2021; 11(9):4237. https://doi.org/10.3390/app11094237
Chicago/Turabian StyleZhang, Mingjie, Jiangang Yang, Wanfu Zhang, and Qianlei Gu. 2021. "Orbit Decomposition Method for Rotordynamic Coefficients Identification of Annular Seals" Applied Sciences 11, no. 9: 4237. https://doi.org/10.3390/app11094237
APA StyleZhang, M., Yang, J., Zhang, W., & Gu, Q. (2021). Orbit Decomposition Method for Rotordynamic Coefficients Identification of Annular Seals. Applied Sciences, 11(9), 4237. https://doi.org/10.3390/app11094237
