Numerical Study on Airfoil Aerodynamics in Proximity to Wavy Water Surface for Various Amplitudes
Abstract
Featured Application
Abstract
1. Introduction
2. Numerical Method and Validation
3. Results and Discussion
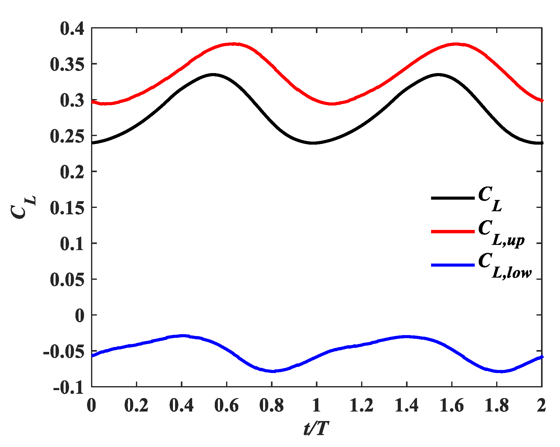
3.1. Lift Behavior
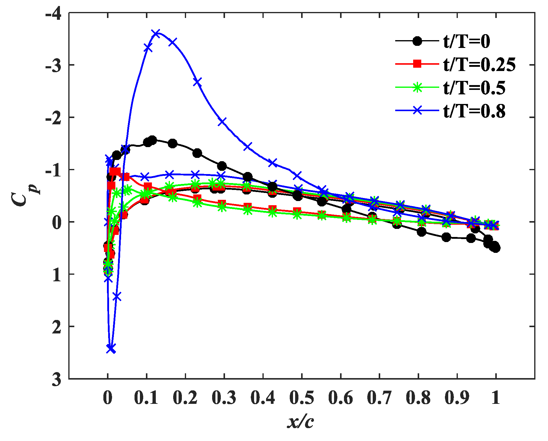
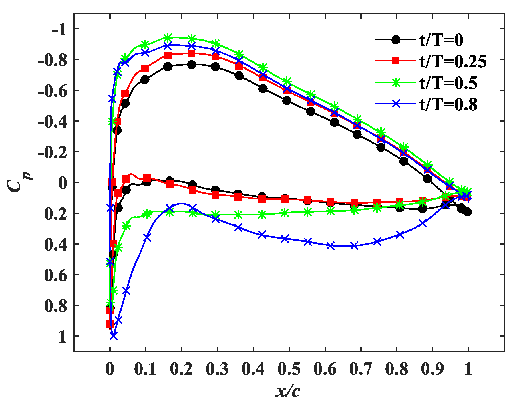
3.2. Flow Field Analysis and Discussion
4. Conclusions
- (1)
- The wavy water surface will cause the lift coefficient of the airfoil to fluctuate periodically. The fluctuation amplitude of the lift coefficient curves increases remarkably with successive increases in the wave amplitude and sharp peaks occur in the curves. WIG crafts flying over the ocean with high waves will generate severe oscillation.
- (2)
- During the periodical change of lift, a high wave amplitude will lead to sudden lift loss at α = 0° and 1°, which even causes negative lift in some cases and threats flight security for WIG crafts. With the increase of the angle of attack, the significant decrease in lift will gradually turn to the increase in lift. Therefore, WIG crafts should avoid cruising at small angles of attack.
- (3)
- At α = 2° and 4°, the time–averaged lift coefficient of the airfoil in proximity to the wavy water surface is larger than that of the flat ground, and it increases as the wave amplitude increases. This is consistent with the former research, which indicated that the vertical movement of wavy water surface would compress the air and lead to a significant increase. While at α = 0° and 1°, the time–averaged lift coefficient decreases as the wave amplitude increases, and the lift loss caused by the ground effect enhances.
- (4)
- For a lower wave amplitude at α = 0° and 1°, the wavy water surface affects the flow field indirectly by driving the air to move vertically, thereby changing the shape of the actual flow channel. Under this situation, the change in the lift coefficient is mainly influenced by the contraction and expansion of the flow channel as the airfoil moves over wavy water.
- (5)
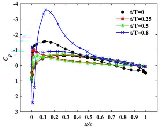
- For a higher wave amplitude at α = 0° and 1°, the pressure distributions on the airfoil are directly impacted by the vertical movement of particles on the wavy water surface. When the wave crest moves below the leading edge stagnation, the compression by the wave creates a high pressure region and prevents air from flowing under the lower surface. A low pressure region consequently occurs after the leading edge and decreases the lift coefficient significantly. This phenomenon is caused by the close distance between the leading edge stagnation and the wave crest, and disappears at higher angles of attack.
- (6)
- The upward movement of high amplitude waves can transmit hydrodynamic force to the airfoil by compressing the air under the airfoil. This is the reason for the significant lift increase at α = 2° and 4°. The distance between the leading edge and the wave crest is the critical factor which determines whether the impact will be blocked and results in the inconsistent lift change at different angles of attack.
Author Contributions
Funding
Institutional Review Board Statement
Informed Consent Statement
Data Availability Statement
Conflicts of Interest
References
- Rozhdestvensky, K.V. Wing-in-ground effect vehicles. Prog. Aerosp. Sci. 2006, 42, 211–283. [Google Scholar] [CrossRef]
- Hsiun, C.-M.; Chen, C.-K. Aerodynamic Characteristics of a Two-Dimensional Airfoil with Ground Effect. J. Aircr. 1996, 33, 386–392. [Google Scholar] [CrossRef]
- Ockfen, A.E.; Matveev, K.I. Aerodynamic characteristics of NACA 4412 airfoil section with flap in extreme ground effect. Int. J. Nav. Arch. Ocean Eng. 2009, 1, 1–12. [Google Scholar] [CrossRef]
- Jung, J.H.; Yoon, H.S.; Chun, H.H.; Hung, P.A.; Elsamni, O.A. Mean flow characteristics of two-dimensional wings in ground effect. Int. J. Nav. Arch. Ocean Eng. 2012, 4, 151–161. [Google Scholar] [CrossRef]
- Qu, Q.; Wang, W.; Liu, P.; Agarwal, R.K. Airfoil Aerodynamics in Ground Effect for Wide Range of Angles of Attack. AIAA J. 2015, 53, 1048–1061. [Google Scholar] [CrossRef]
- Qu, Q.; Jia, X.; Wang, W.; Liu, P.; Agarwal, R.K. Numerical study of the aerodynamics of a NACA 4412 airfoil in dynamic ground effect. Aerosp. Sci. Technol. 2014, 38, 56–63. [Google Scholar] [CrossRef]
- Qin, Y.; Liu, P.; Qu, Q.; Guo, H. Numerical study of aerodynamic forces and flow physics of a delta wing in dynamic ground effect. Aerosp. Sci. Technol. 2016, 51, 203–221. [Google Scholar] [CrossRef]
- Lange, R.H.; Moore, J.W. Large Wing-in-Ground Effect Transport Aircraft. J. Aircr. 1980, 17, 260–266. [Google Scholar] [CrossRef]
- Zhang, X.; Zerihan, J. Off-Surface Aerodynamic Measurements of a Wing in Ground Effect. J. Aircr. 2003, 40, 4. [Google Scholar] [CrossRef]
- Jamei, S.; Maimun, A.; Mansor, S.; Azwadi, N.; Priyanto, A. Numerical Investigation on Aerodynamic Characteristics of a Compound Wing-in-Ground Effect. J. Aircr. 2012, 49, 1297–1305. [Google Scholar] [CrossRef]
- Jung, J.H.; Kim, M.J.; Yoon, H.S.; Hung, P.A.; Chun, H.H.; Park, D.W. Endplate effect on aerodynamic characteristics of three-dimensional wings in close free surface proximity. Int. J. Nav. Arch. Ocean Eng. 2012, 4, 477–487. [Google Scholar] [CrossRef][Green Version]
- Barber, T.J. A Study of Water Surface Deformation Due to Tip Vortices of a Wing-in-Ground Effect. J. Ship Res. 2007, 51, 182–186. [Google Scholar] [CrossRef]
- Zong, Z.; Liang, H.; Zhou, L. Lifting line theory for wing-in-ground effect in proximity to a free surface. J. Eng. Math. 2012, 74, 143–158. [Google Scholar] [CrossRef]
- Liang, H.; Zhou, L.; Zong, Z.; Sun, L. An analytical investigation of two-dimensional and three-dimensional biplanes operating in the vicinity of a free surface. J. Mar. Sci. Tech. 2013, 18, 12–31. [Google Scholar] [CrossRef]
- Bal, S. Free surface effects on 2-D airfoils and 3-D wings moving over water. Ocean Syst. Eng. 2016, 6, 245–264. [Google Scholar] [CrossRef]
- Im, Y.; Chang, K. Unsteady Aerodynamics of a Wing-in-Ground-Effect Airfoil Flying over a Wavy Wall. J. Aircr. 2000, 37, 690–696. [Google Scholar] [CrossRef]
- Qu, Q.; Lu, Z.; Liu, P.; Agarwal, R.K. Numerical Study of Aerodynamics of a Wing-in-Ground-Effect Craft. J. Aircr. 2014, 51, 913–924. [Google Scholar] [CrossRef]
- Gao, B.; Qu, Q.; Agarwal, R.K. Aerodynamics of a Transonic Airfoil above Wavy Ground. In Proceedings of the 2018 AIAA Aerospace Sciences Meeting, Kissimmee, FL, USA, 8–12 January 2018. [Google Scholar] [CrossRef]
- Lee, T.; Tremblay-Dionne, V. Experimental Investigation of the Aerodynamics and Flowfield of a NACA 0015 Airfoil over a Wavy Ground. J. Fluid Eng. 2018, 140, 071202. [Google Scholar] [CrossRef]
- Tremblay-Dionne, V.; Lee, T. Effect of Trailing-Edge Flap Deflection on a Symmetric Airfoil over a Wavy Ground. J. Fluid Eng. 2019, 141, 064501. [Google Scholar] [CrossRef]
- Liang, H.; Zong, Z.; Zou, L. Nonlinear lifting theory for unsteady WIG in proximity to incident water waves. Part 1: Two-dimension. Appl. Ocean Res. 2013, 43, 99–111. [Google Scholar] [CrossRef]
- Liang, H.; Zong, Z.; Zou, L. Nonlinear lifting theory for unsteady WIG in proximity to incident water waves. Part 2: Three-dimension. Appl. Ocean Res. 2013, 43, 88–98. [Google Scholar] [CrossRef]
- Liang, H.; Wang, X.; Zou, L.; Zong, Z. Numerical study of two-dimensional heaving airfoils in ground effect. J. Fluid Struct. 2014, 48, 188–202. [Google Scholar] [CrossRef]
- Kaneko, Y.; Omori, T.; Kajishima, T. Numerical study on the aerodynamics of an airfoil moving close to an air-water interface. Trans. JSME 2016, 82, 16-00112. (In Japanese) [Google Scholar] [CrossRef][Green Version]
- Zhi, H.; Xiao, T.; Chen, J.; Wu, B.; Tong, M.; Zhu, Z. Numerical Analysis of Aerodynamics of a NACA4412 Airfoil above Wavy Water Surface. In AIAA Aviation 2019 Forum; American Institute of Aeronautics and Astronautics: Reston, VA, USA, 2019. [Google Scholar] [CrossRef]
- Hu, H.; Ma, D.; Guo, Y.; Yang, M. Airfoil Aerodynamics in Proximity to Wavy Water Surface. J. Aerosp. Eng. 2021, 34, 04020119. [Google Scholar] [CrossRef]
- Mi, B. Numerical investigation on aerodynamic performance of a ducted fan under interferences from the ground, static water and dynamic waves. Aerosp. Sci. Technol. 2020, 100, 105821. [Google Scholar] [CrossRef]
- Hirt, C.W.; Nichols, B.D. Volume of fluid (VOF) method for the dynamics of free boundaries. J. Comput. Phys. 1981, 39, 201–225. [Google Scholar] [CrossRef]
- Sundar, V. Ocean Wave Mechnics: Applications in Marine Structures, 1st ed.; John Wiley & Sons, Ltd.: Chichester, UK, 2015; pp. 41–52. [Google Scholar] [CrossRef]
- Elhanafi, A.; Fleming, A.; Leong, Z.; Macfarlane, G. Effect of RANS-based Turbulence Models on Nonlinear Wave Generation in a Two-Phase Numerical Wave Tank. Prog. Comput. Fluid Dyn. Int. J. 2017, 17, 141–158. [Google Scholar] [CrossRef]
- Firooz, A.; Gadami, M. Turbulence Flow for NACA 4412 in Unbounded Flow and Ground Effect with Different Turbulence Models and Two Ground Conditions: Fixed and Moving Ground Conditions. In Proc. Conf. on Boundary and Interior Layers; University of Gottingen: Lower Saxony, Germany, 2006; Volume 98, pp. 161–164. [Google Scholar]
- Ahmed, M.R.; Takasaki, T.; Kohama, Y. Aerodynamics of a NACA4412 Airfoil in Ground Effect. AIAA J. 2007, 45, 37–47. [Google Scholar] [CrossRef]























| Mesh | Number of Cells | y+ | CL | CD |
|---|---|---|---|---|
| Coarse | 0.13 million | 2 | 0.86890 | 0.01162 |
| Medium | 0.21 million | 1 | 0.86896 | 0.01143 |
| Fine | 0.31 million | 0.5 | 0.86892 | 0.01146 |
| Experiment | – | – | 0.8582 | 0.0109 |
Publisher’s Note: MDPI stays neutral with regard to jurisdictional claims in published maps and institutional affiliations. |
© 2021 by the authors. Licensee MDPI, Basel, Switzerland. This article is an open access article distributed under the terms and conditions of the Creative Commons Attribution (CC BY) license (https://creativecommons.org/licenses/by/4.0/).
Share and Cite
Liu, X.; Ma, D.; Yang, M.; Guo, Y.; Hu, H. Numerical Study on Airfoil Aerodynamics in Proximity to Wavy Water Surface for Various Amplitudes. Appl. Sci. 2021, 11, 4215. https://doi.org/10.3390/app11094215
Liu X, Ma D, Yang M, Guo Y, Hu H. Numerical Study on Airfoil Aerodynamics in Proximity to Wavy Water Surface for Various Amplitudes. Applied Sciences. 2021; 11(9):4215. https://doi.org/10.3390/app11094215
Chicago/Turabian StyleLiu, Xing’an, Dongli Ma, Muqing Yang, Yang Guo, and Haode Hu. 2021. "Numerical Study on Airfoil Aerodynamics in Proximity to Wavy Water Surface for Various Amplitudes" Applied Sciences 11, no. 9: 4215. https://doi.org/10.3390/app11094215
APA StyleLiu, X., Ma, D., Yang, M., Guo, Y., & Hu, H. (2021). Numerical Study on Airfoil Aerodynamics in Proximity to Wavy Water Surface for Various Amplitudes. Applied Sciences, 11(9), 4215. https://doi.org/10.3390/app11094215
