Abstract
This purpose of this study is to investigate the efficacy of shoulder joint mobilization generated by an innovative servomotor joint mobilization apparatus that was developed in this research for patients suffering from frozen shoulder. Forty-eight patients with frozen shoulder were recruited and stratified randomly assigned into one of two groups: joint mobilization apparatus (posterior and inferior gliding, 80 N, 5 Hz, 30 min) combined with regular therapy (experimental group; EG) versus a regular therapy alone group (control group; CG), three times a week for eight weeks. The visual analogue scale (VAS) for pain and shoulder range of motion (ROM) were measured before, during, and the end of the treatment. Results showed that the shoulder flexion, abduction, internal rotation, and external rotation of the EG improved by 36%, 51%, 81%, and 88%, respectively, while VAS pain scores decreased by 62% when compared with the baseline. Furthermore, the shoulder flexion, abduction, internal rotation, external rotation, and pain score of the EG was 11%, 25%, 41%, 24%, and 34% better than those of the CG, respectively. No complaint as well as no side effects were found during or after usage of the joint mobilization apparatus in EG. This study suggests that the joint mobilization apparatus operated by a very small amount of professional manpower and combined with physical therapy further improves shoulder ROM and pain in patients with frozen shoulder compared to regular physical therapy alone and could be one of the new therapeutic regimens in the future.
1. Introduction
Frozen shoulder (FS, also known as adhesive capsulitis) is a painful and disabling disorder of the shoulder capsule. The affected joint capsule causes the patient’s shoulder to feel like it is frozen. The pathological process of the FS often facilitates internal joint capsule inflammation, adhesion, and contracture [].
The main symptoms of a FS include shoulder pain as well as loss of active and passive range of motion (ROM) [,]. Most FS patients feel that the shoulders are unable to move normally and are accompanied by pain, especially when doing shoulder abduction, internal rotation, and external rotation [,]. Some FS patients will recover slowly even if the patients do not accept the treatment, but the non-treatment will cause the shoulder function to be not as good as it was []. The incidence rate of FS is about 2–5% in the general population with the general age range to be found in patients older than 40 years old and occurs more often in women than men [,,].
Many treatments of FS are used to try to help patients to recover from the frozen condition and relieve pain. In addition to pharmacological therapy and surgical options for FS, physical therapy is a common treatment of FS that includes thermotherapy, rehabilitation exercise, and joint mobilization [,]. Some designed therapeutic movements are used to help FS patients reduce tissue adhesion, increase muscle strength, improve proprioception and stability []. Thermotherapy is generally used to help FS patients to reduce pain, muscle spasms, and enhance circulation []. Previous studies have shown that using these regular physical therapeutic approaches can help FS patients to improve their symptoms [,].
Manual shoulder joint mobilization is a manual therapeutic approach commonly used for FS in orthopedic rehabilitation clinics. The targeted manual technique is performed by the therapist within the movable joint ROM []. Professional physical therapists treat FS patients with manual techniques such as joint distraction, compression, and gliding, combined with various frequency and amplitude []. Moreover, the physical therapist may use the various treatment positions and certain directions of force to increase the FS patient’s limited joint ROM and restore shoulder functions []. Relevant studies have shown that manual shoulder joint mobilization is beneficial for ROM, pain relief, and shoulder functions in patients with FS [,,]. However, manual shoulder joint mobilization must rely on skilled professionals to perform in person, and this consumes a lot of manpower on the part of the physical therapist. Because of the current shortage of professional manpower, manual shoulder joint mobilization does not provide sufficient treatment time to most FS patients.
Two devices were reported but were not yet applied in clinics to simulate the manual shoulder joint mobilization technique. One study put a six-degree-of-freedom robotic arm next to the lying patient and let the robotic arm push the patient’s shoulder []. Another study designed a robot exoskeleton to fix the patient in the upper limb 90-degree abduction position and generate push force on the patient’s shoulder []. However, the structure of the robotic arm and exoskeleton causes the device to only perform a single direction or method of joint mobilization that makes them unable to fully support the clinical demands of manual shoulder joint mobilization that need to apply multiple directions such as posterior, anterior, and inferior to improve shoulder movement such as flexion, extension, abduction, internal rotation, and external rotation.
This study used the application and principles of manual shoulder mobilization as a creative inspiration to design the shoulder joint mobilization apparatus for FS patients. A prototype of the shoulder joint mobilization apparatus consisted of a servo motor controlled by the computer program to generate the vibration force and an adjustable mechanical structure to mobilize the humeral head to different directions to simulate the treatments and techniques of manual shoulder joint mobilization.
Therefore, to investigate the effects of a joint mobilization apparatus in patients with FS, shoulder ROM, and pain in the control group (CG) receiving regular physical therapy only versus the experimental group (EG) receiving a joint mobilization apparatus plus regular physical therapy were measured at the baseline, after four weeks, and after eight weeks intervention. We hypothesized that the joint mobilization apparatus plus regular physical therapy is more effective for improving shoulder ROM and pain levels than regular physical therapy alone.
2. Materials and Methods
2.1. Study Design
Stratified randomization into two groups with pretest-posttest design was used in the current study to investigate the efficacy of shoulder joint mobilization generated by the innovative servomotor joint mobilization apparatus in patients with frozen shoulder (FS). The stratified method was based on the baseline shoulder flexion ROM and the two groups did not perform treatment crossovers.
2.2. Participants
The study recruited 60 voluntary patients with FS. After that, these patients were screened by inclusion and exclusion criteria.
Inclusion criteria for participants were: (1) older than 50 years old (2) diagnosis with FS by a physician (3) shoulder felt pain, lost more than 1 direction (the degree is less than 60% of the normal) in the four ranges of motion of the shoulder (external rotation, internal rotation, abduction, flexion).
Exclusion criteria were: (1) diagnosis with any contraindications (ex: tumor, cancer, etc.) (2) a history of shoulder surgery (3) a history of shoulder trauma (such as fracture, dislocation, etc.) (4) diagnosis with any neuromuscular related diseases (ex: stroke, etc.) (5) in addition to frozen shoulder, diagnosis with shoulder abnormalities and diseases through radiographic and physical examinations (6) shoulder steroid injections within six months (7) any joint mobilization contraindications (osteoporosis, cellulitis, etc.)
Forty-eight patients with FS (48 shoulders) met the inclusion criteria, and twelve patients were excluded (four patients regretted and declined to participate, three patients didn’t meet the inclusion criteria after FS assessment, and five patients met the exclusion criteria). All participants accepted the research explanations and signed the consent form before the experiment. This study was approved by the Institutional Review Board of the Chung Shan Medical University Hospital (IRB number: CS2-17084) and conducted according to the Declaration of Helsinki. Informed consent was obtained from all subjects involved in the study. No participants lost follow-up after 8 weeks.
The flow chart for this study is shown in Figure 1A.

Figure 1.
(A) Design of the study (flow diagram). (B) Joint mobilization apparatus.
2.3. Sample Size
The required sample size was estimated by power analysis. No previous similar research was able to estimate the possible impact. Thus, reference is made to the differences in the clinical significance and their results in previous studies [,,]. The calculations were based on the 5-degree ROM difference before and after the intervention between the groups, 80% power, and 0.05 alpha value. For this calculation, G * Power v.3.1.9.2 was used. A sample size of 15 subjects per group was generated and required. In this study, 48 patients were recruited and assigned into two groups by a stratified randomization method with 24 patients each.
2.4. Regular Physical Therapy
Patients in the control group (CG) and the experimental group (EG) received the same regular physical therapy which consisted of rehabilitation exercise prescription and pain relief treatment.
Rehabilitation exercise followed the methods which was suggested by previous studies [,,], including finger wall climbing, pendulum exercise, and arm lifting. The patients who received exercise were treated by the same physical therapist (10 repetitions of each exercise, three times a day, 3 days a week for 8 weeks).
Pain relief treatment consisted of general hot compress therapy. Hot compress therapy heat packs were placed on the front and back sides of the glenohumeral joint for 20 min.
2.5. Joint Mobilization Apparatus
The joint mobilization apparatus was developed to simulate the methods and techniques of manual shoulder mobilization and was used in this current research. The joint mobilization apparatus consisted of pulling units, a power unit (servo motor) and adjustable structure (Figure 1B), and it can generate the multi-directional mobilization of the shoulder through their combination.
The pulling unit was comprised of a wearable member set configured to mount on a patient’s shoulder joint part, and a rope set connected to the wearable member set. The wearable member set was made of highly elastically supportive materials and equipped with a multi-stage design for adjusting the size and degree of tightness for proper protection and support, which could fit the patient’s body shape and match the various positions of shoulder during mobilization. The wearable member set had a multi-directional rope buckle, which allowed the operator to choose the required direction according to the mobilization methods. The rope set in the pulling unit combined multiple pulleys. The cooperation of the pulley and the rope could deliver the force smoothly. Moreover, the position of the pulley could change the direction of the pulling force and vibration. In this way, the device could be conveniently and quickly set to the mobilization direction.
The power unit was a program-controlled servo motor used to provide power and a controllable pulling force used to simulate the joint mobilization. When there was a force or an object resisting the pulling force, the servo motor would also provide a reciprocating vibration force simultaneously.
The adjustable structure was designed with many accessories, including an armrest that could be adjusted in multiple directions, angles, and heights to set the shoulder postures and angles of movement during the treatment to achieve the requirement of joint mobilization technique. The adjustable seat that could help the device fit each patient’s body shape was also an intricate part of the device’s design.
2.6. Protocols of Joint Mobilization Apparatus Treatments
Before applying mobilization, patients wore the wearable member set on one side of shoulder parts and seated on the chair of joint mobilization apparatus. The patient’s front arms were placed on the positioning armrest and set the proper posture via adjustable structure. The rope set in the pulling unit was buckled up to one of the multi-directional rope buckles. The power unit was connected with the rope set to generate one-directional force (80 N) and rhythmic vibration frequency (5 Hz).
The five-section treatment of postures and directions were referred to the principles of joint mobilization technique and concave-convex rule [,]: (1) applying glenohumeral joint inferior glide in shoulder resting position (55 degrees of shoulder abduction with 30 degrees of shoulder horizontal adduction in the plane of the scapula []), (2) applying glenohumeral joint inferior glide in the end range position (the point at which the patient began to experience pain) of shoulder abduction, (3) applying glenohumeral joint posterior glide in the shoulder resting position, (4) applying glenohumeral joint posterior glide in the end range position of shoulder abduction and internal rotation, (5) applying glenohumeral joint posterior glide in the end range position of shoulder abduction and external rotation. The therapeutic protocol of joint mobilization apparatus was set about 30 min per day (5 min for each posture and direction, 5 section treatment, 1 min interval for changing posture or direction), three times a week for 8 continuous weeks.
2.7. Outcome Measurements
The primary outcome measure in this study was passive shoulder range of motion (ROM) evaluation, including shoulder flexion, abduction, internal rotation, and external rotation. The methodology of passive shoulder ROM measure was taken from Clarkson et al. []. The passive ROM was measured with a standard goniometer. When the passive shoulder ROM was measured, the therapist applied force to the patient’s upper limbs to make movements. The endpoint of the movement was where the subject began to feel pain. The therapist stopped applying force and recorded the degree of shoulder ROM.
The secondary outcome measure in this study was visual analogue scale (VAS) that was used to assess levels of pain. The VAS has been widely used in research to assess patients with shoulder pain [,]. VAS, a grading scale from 0 cm to 10 cm, was presented and selected by subjects according to their pain (0 cm indicating “no pain” and 10 cm indicating “most pain”). When the VAS for pain was measured, the patients were asked to score the highest pain level they have experienced in their shoulders during ordinary activities within the last 24 h and indicate their pain level by setting a mark on the VAS.
2.8. Questionnaire in the EG
We used a self-designed treatment satisfaction and joint mobilization apparatus feedback questionnaire to survey participants after the treatment. The satisfaction questionnaire includes five options: very satisfied, satisfied, neutral, disappointed, and very disappointed. The joint mobilization apparatus feedback questionnaire includes five options: feel better, feel slightly better, same, feel uncomfortable, feel very uncomfortable.
2.9. Procedure
Based on inclusion criteria and exclusion criteria, this study recruited 48 voluntary patients with FS. All participants accepted the research explanations and signed the consent form before the experiment. All baseline and outcome measurements were evaluated by an independent physical therapist who didn’t know the grouping of patients.
All FS patients first received the baseline assessments including (1) passive shoulder ROM and (2) pain VAS. These assessments helped us to understand the patient’s basic shoulder status. Next, the subjects were assigned to three strata (mild:121–180°, moderate: 61–120°, severe: 0–60°) by shoulder flexion ROM baseline assessment data. After that, the subjects were randomly and equally assigned to two groups (control group, experimental group) by a stratified randomization method. FS patients in the control group (CG) received regular physical therapy and those in the experimental group (EG) received regular physical therapy plus the joint mobilization apparatus. When the subject received the course of treatment, those assessments (ROM and VAS pain score) were repeated after four weeks and eight weeks of therapeutic intervention. All evaluation data were collected to compare the results between the CG and EG (Figure 1A).
2.10. Data Analysis
Repeated measurement ANOVA with one within (baseline, 4th weeks, and 8th weeks) and one between (CG and EG) design followed by pre-planned comparison (against control or baseline) were analyzed using SPSS Version 20 (IBM Corp). The Kolmogorov–Smirnov test was used to evaluate and define the normal distribution of data. Demographic and baseline comparisons between the CG and EG were analyzed using independent t-tests for continuous variables and Chi-square test for categorical variables. Data are expressed as the mean ± standard error in table and figure. The result with p < 0.05 was considered statistically significant.
3. Results
All 48 participants (33 women, 15 men) completed the study protocol without any adverse effect, and no participants were crossover (Figure 1A). In the EG, there were no uncomfortable complaints for the whole procedure of joint mobilization, nor were uncomfortable shoulder strap and no uncomfortable joint oscillation reported. From the satisfaction questionnaire in the EG, we found that 85% of the participants were satisfied and 15% were neutral. From the feedback questionnaire of joint mobilization apparatus in the EG, 95% of the participants indicated they felt better and 5% of participants indicated they felt slightly better after the treatment.
3.1. Baseline Characteristics and Comparability
There were no differences in demographic variables, range of motion (ROM), and visual analogue scale (VAS) score between the CG and EG at baseline. The average age of the EG was 58.8 years, and the average age of the CG was 59.2 years. Overall, 36 patients had symptoms on the non-dominant hand shoulder, and 12 patients had symptoms on the dominant hand shoulder. Table 1 lists the demographic data of the patients.

Table 1.
Demographic Features, range of motion (ROM), and visual analogue scale (VAS) score at baseline assessment.
3.2. Shoulder Pain and Passive ROM
In the baseline and outcome measurement of shoulder pain in the CG and EG, the results are presented in Figure 2. At the midpoint of the treatment (four weeks), only the EG had a significant difference when compared with the baseline (p < 0.05). After eight weeks of treatment, the mean of the VAS pain score decreased from 5.5 to 2.1 (62%) in the EG when compared with 5.2 to 3.2 (38%) in the CG. When compared with the baseline, pain scores were significantly (p < 0.05) reduced in both the CG and EG. However, the VAS pain score of the EG was significantly 34% lower than that of the CG (p < 0.05). From the identity plot chart, we observed that most of the numerical distribution in the EG was significantly lower than that in the CG.

Figure 2.
Visual analogue scale (VAS) scores at baseline, four weeks, and eight weeks between the control group (CG) and experimental group (EG) (n = 24 per group). (A) The dashed line indicates the trend of VAS scores of the CG and the solid line indicates that of the EG (mean ± SE). #: significant difference compared to the baseline within the group (p < 0.05). *: significant difference between EG versus CG (p < 0.05). (B) The identity plot presents the distribution of the individual VAS scores of the control group (CG: empty square) and the experimental group (EG: solid circle) at eight weeks of treatment. The identity line indicates no change of the VAS scores after eight weeks of treatment; the upper half of the identity line means more pain than the baseline; the lower half of the identity line means less pain than the baseline.
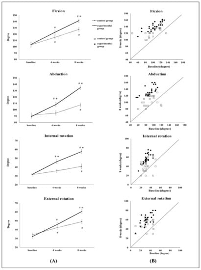
The passive ROM after four weeks and eight weeks treatment in the CG and EG were presented in Figure 3. In the flexion portion, flexion ROM was found to be significantly increased at the midpoint (four weeks) and eight weeks of treatment from baseline in the CG and EG. After eight weeks of treatment, the mean of passive flexion ROM increased from 103.6 to 141.2 (36%) in the EG compared with 102.9 to 127.5 (24%) in the CG. When compared with the baseline, the flexion ROM had improved significantly (p < 0.05) in both the CG and EG groups. The flexion ROM in the EG was significantly better than the CG after 8 weeks treatment (p < 0.05). From the identity plot chart, we observed that most of the numerical distribution in the EG was higher than that in the CG after eight weeks.

Figure 3.
Shoulder range of motion (ROM) at the baseline, four weeks, and eight weeks between the control group and experimental group (n = 24 per group). (A) The dashed line indicates the trend of shoulder ROM of the control group (CG) and the solid line indicates that of the experimental group (EG) (mean ± SE). #: significant difference when compared to the baseline within the group (p < 0.05). *: significant difference between the experimental group (EG) versus control group (CG) (p < 0.05). (B) The identity plot presents the distribution of the individual shoulder ROM of the control group (CG: empty square) and experimental group (EG: solid circle) at eight weeks of treatment. The identity line indicates no change of shoulder ROM after eight weeks of treatment; the upper half of the identity line means improvement; the lower half of the identity line means the condition deteriorates.
In the abduction portion, abduction ROM had significantly increased in the EG, but not in the CG after four weeks of treatment (p < 0.05). After 8 weeks of treatment, the passive abduction ROM had increased from 89.2 to 134.7 (51%) in the EG when compared with 91.2 to 107.5 (18%) in the CG. The passive abduction ROM of the EG was significantly (p < 0.05) 25% better than the CG. From the identity plot chart, most of the numerical distribution in the EG from baseline to 8 weeks treatment was higher than that of the CG.
In the internal rotation portion, internal rotation ROM had significantly increased in the EG, but not in the CG after four weeks of treatment (p < 0.05). After eight weeks of treatment, the mean of passive internal rotation ROM increased from 31.6 to 57.5 (81%) in the EG when compared with 31.4 to 40.8 (30%) in the CG. The passive internal rotation ROM of the EG was significantly 41% better than the CG (p < 0.05). From the identity plot chart, we observed that most of the numerical distribution in the EG from baseline to eight weeks treatment was higher than that of the CG.
In the external rotation portion, external rotation ROM in both the EG and CG groups had significantly increased after four weeks treatment (p < 0.05). After eight weeks of treatment, the mean of external rotation ROM increased from 32.1 to 60.5 (88%) in the EG when compared with 34.1 to 49.0 (44%) in the CG. The external rotation ROM in the EG is significantly 24% better than that of the CG after eight weeks of treatment (p < 0.05). From the identity plot chart, most of the numerical distribution in the EG was higher than that of the CG.
4. Discussion
Our major findings showed that the posterior glide and inferior glide joint mobilization (80 N, 5 Hz, 30 min for each treatment course, three times a week for eight continuous weeks) applied by the joint mobilization apparatus plus regular therapy, improved shoulder flexion ROM 36%, abduction ROM 51%, internal rotation ROM 81%, external rotation ROM 88%, and decreased visual analogue scale (VAS) pain scores 62% for the patients with frozen shoulder (FS). Furthermore, the shoulder flexion, abduction, internal rotation, and external rotation of the patients who received the joint mobilization apparatus plus regular therapy was 11%, 25%, 41%, and 24% higher than that of patients who received regular therapy only. No complaints and no side effects were found during the usage of the joint mobilization apparatus and after the treatment.
In this study, the mobilization directions used in the joint mobilization apparatus are posterior glide and inferior glide. According to the principle of the joint mobilization and concave-convex rule, the shoulder joint inferior glide can improve shoulder abduction and the posterior glide can improve shoulder flexion and internal rotation [,]. Previous studies had tried to add manual inferior glide shoulder joint mobilization to help patients with FS to increase the shoulder ROM in abduction [,]. Derya Çelik et al. found that patients with FS who received manual shoulder joint mobilization combined with stretching were better physically, rather than stretching alone in the evaluation of shoulder abduction. This study showed that the shoulder abduction in patients with FS who received four directions (inferior, posterior, anterior, distraction) manual shoulder joint mobilization (every direction 1–2 min, repeated 3–4 times, three times a week for six continuous weeks) combined with stretching were 10% higher than those in patients with FS who received stretching only after treatment []. Kumar et al. confirmed that the manual shoulder joint mobilization technique when combined with exercise had the efficacy to improve shoulder abduction in patients with FS. This study showed that, when combined with exercise, the shoulder abduction in patients with FS who received two directions (inferior, anterior) of manual shoulder joint mobilization (every direction 30 sec, repeated five sets, three times per week for four continuous week) was 10% higher than those of patients who received exercise only after treatment []. Comparatively, in our study, the shoulder abduction in patients with FS who received the posterior glide and inferior glide joint mobilization (30 min each treatment course, three times a week) applied by the joint mobilization apparatus plus regular therapy for eight weeks was 25% higher than those of patients who received regular physical therapy.
Furthermore, some previous studies had tried to add manual posterior glide shoulder joint mobilization to help patients with FS increase the shoulder flexion or internal rotation ROM [,,,]. Vermeulen et al. reported that high-grade and low-grade manual mobilization techniques using four directions (posterior, inferior, anterior, lateral) for 12 weeks (30 min each treatment course, two times per week) are both effective to improve shoulder flexion. This study showed that the patients with FS in the high-grade mobilization group and the low-grade mobilization group improved their mean shoulder flexion 27.6° and 24.9° after treatment []. Do Moon et al. found that the posterior glide of the Kaltenborn and Maitland manual shoulder mobilization techniques were able to effectively improve the shoulder internal rotation about 17% and 16% (10 min each treatment course, three times per week for four weeks) in patients with FS after the treatment []. Comparatively, in our study, we found that patients with FS who received posterior glide and inferior glide joint mobilization (30 min each treatment course, three times a week, for eight weeks) applied by the joint mobilization apparatus plus the regular therapy demonstrated 36% and 81% improvement in shoulder flexion and internal rotation. Meanwhile, the shoulder flexion and internal rotation of the patients who received the joint mobilization apparatus plus regular therapy was 11%, i.e., 41% higher than that of patients who received regular therapy only in this study.
In addition, we also observed that patients with FS in the experimental group (joint mobilization apparatus plus regular therapy) had more improvement in shoulder external rotation than patients with FS in the control group (regular therapy alone). Even though according to the principle of joint mobilization and the concave-convex rule [,], the anterior glide that can improve shoulder external rotation, which we did not apply in the joint mobilization apparatus treatment, however, Andrea J Johnson et al. also reported posterior glide manual mobilization (15 min each treatment session, 2–3 times per week, 6 sessions total) for improving external rotation by 31.3 degrees are more effective than anterior glide for improving external rotation by three degrees in patients with FS [], which is contrary to the findings based on the concave-convex rule. In our study, shoulder external rotation in the patients who received the posterior glide and inferior glide joint mobilization (30 min each treatment course, three times a week) applied by the joint mobilization apparatus plus regular therapy for eight weeks showed 88% improvement from the baseline as well as was 24% better than that in patients who received regular therapy only. The posterior glide and inferior glide of the joint mobilization apparatus just like the posterior glide of manual mobilization can also help patients with FS improve shoulder external rotation.
Relative to shoulder pain in patients with FS, manual joint mobilization can produce mechanical stimulation and neurophysiological effects on the human body through repeated oscillation stimulation, so that it has an inhibitory effect on the sensation of pain [,]. Previous studies have shown that manual shoulder joint mobilization had efficacy and effectiveness in reducing shoulder pain of patients with FS [,,]. Kumar et al. confirmed that the manual shoulder joint mobilization technique which combined with the exercise achieved efficacy to improve shoulder pain in patients with FS. This study showed that the VAS pain score in patients with FS who received two directions (inferior, anterior) manual shoulder joint mobilization (2–3 glides per second, every direction 30 s, repeated five sets, three times per week for four continuous week) combined with exercise was 27% lower than that of patients who received exercise only after treatment []. Do Moon et al. found that the Kaltenborn and Maitland posterior glide of the manual shoulder mobilization techniques (one glide per second, 10 min each treatment course, three times per week for four weeks) were able to effectively decrease the VAS pain scores about 52% and 48% in patients with FS after the treatments [].Comparatively, we found that VAS score of shoulder pain in the patients with FS who received posterior glide and inferior glide joint mobilization (five glides per second, 30 min each treatment course, three times a week for eight weeks) applied by joint mobilization apparatus plus regular therapy was 62% lower than baseline as well as was 34% lower than that in patients who received regular therapy only in this study. The shoulder joint mobilization performed by the joint mobilization apparatus can help patients with FS to relieve pain.
The apparatus treatment force output and the frequency were set at 80 N and 5 Hz during treatment in this study based on the actual situation of the device operation and the patient’s sensation and safety. We reviewed the mobilization protocols from previous related studies and our force 80 N and frequency 5 Hz parameters of the joint mobilization were within regular range of manual mobilization [,]. Talbott et al. measured the force of the experienced therapist when they were performing posterior glenohumeral mobilizations on the participants and they found that the range of the manual force was between 41.7 and 209.4 N []. Witt et al. measured the force of the experienced therapist when they were performing inferior glenohumeral mobilizations on the participants and they found that the range of the manual force was between 37.4 N and 140 N []. The force output of the joint mobilization apparatus when performing shoulder posterior and inferior glide joint mobilization was in line with the force output range of the experienced therapist. Our study showed that the joint mobilization apparatus with shoulder posterior and inferior glide via 80 N force was able to help patients with FS to improve shoulder joint ROM.
The oscillation frequency of the performing manual joint mobilization presented and recommended in the previous research is 1–3 per second, i.e., 1–3 Hz [,,]. However, some studies have shown that a higher oscillation frequency of joint mobilization can produce greater neurophysiological mechanism stimulation to the human body [,]. The oscillation frequency of the joint mobilization apparatus in this study stably maintained 5 Hz for 30 min, which was slightly higher than the manual mobilization. Our study showed that 80 N force and 5 Hz oscillation frequency had efficacy in reducing shoulder pain and improving shoulder ROM in patients with FS.
Although manual mobilization was beneficial to patients with FS, the execution of these manual mobilization techniques required a professional therapist, which consumed a lot of professional manpower. In our study, the joint mobilization apparatus was operated easily by the very small amount of professional manpower for 30 min in patients with FS and further improve shoulder ROM and pain than regular physical therapy. In a clinical application, the device can not only help patients with FS to relieve symptoms, but also partially solve the problem of shortage of professional manpower of a manual physical therapist.
Some limitations also existed in this research. We needed a controlled study with two groups of patients who had similar conditions to understand the preliminary efficacy of the apparatus. Therefore, we distributed all patients to three strata by shoulder flexion ROMs baseline assessment data, and then performed a stratified and randomized controlled study to make the two groups of patients as similar as possible in the beginning of this research. Although a stratified randomization method was used to divide all patients with FS into a control group and an experimental group in this study, some allocation bias within the same stratified ROM may still occur. The joint mobilization apparatus with certain force, certain frequency, and certain duration applied in the current study is the first reported and cannot be found in previous research, so no relevant information of the mobilization apparatus can be compared. The best efficacy, best force, best frequency, or best duration of the joint mobilization apparatus is still unclear and is still in the phase of exploration. This experiment cannot be executed in a blind study because the researcher and the patients must know whether the apparatus is working when receiving the mechanical mobilization treatment. Regarding the other limitation, the control group received regular physical therapy only and no placebo treatment was designed in the current study. Therefore, we have no idea about placebo effects of the joint mobilization apparatus. Because our inclusion criteria are patients with FS who are older than 50 years old, the average ages of the control group and the experimental group are 59.2 ± 1.7 and 58.8 ± 1.3, respectively. The incidence rate of FS is about 2–5% in the general population, with an age range from 40 to 70 years [,,] The findings of this study might not represent the therapeutic effect in patients with FS younger than 50 years old because our inclusion criteria was for patients who were older than 50 years old.
The force and frequency of the joint mobilization apparatus treatment in this study keep consistent 80 N and 5 Hz for each patient in the experimental group from the beginning to the end of the treatment. In future studies, various therapeutic modality (direction, force or frequency) of joint mobilization apparatus could be applied to understand the best efficacy of the treatment, such as gradually increasing pulling force and personalized designs based on body size, arm size, or severity.
Furthermore, we did not compare the efficacy between the joint mobilization apparatus and experienced manual mobilization therapy for patients with FS in this study. In the future, the joint mobilization apparatus can be improved by simulating the strength of experienced manual mobilization therapy and compensating the weakness of joint mobilization apparatus to create the best efficacy for patients with FS.
5. Conclusions
The joint mobilization apparatus operated by a very small amount of professional manpower and combined with physical therapy further improves shoulder ROM and pain in patients with frozen shoulder compared to regular physical therapy alone. The joint mobilization apparatus generated by the servomotor in this study successfully simulated the technique of manual shoulder joint mobilization therapy with a certain gliding force and frequency. The study recommends the joint mobilization apparatus could be one of the new therapeutic regimens for patients with frozen shoulder in the future.
Author Contributions
Methodology, C.-J.W. and S.-D.L.; validation, C.-J.W. and S.-D.L.; data analysis, C.-J.W. and S.-D.L.; study resources, S.-D.L., H.T. and C.-C.L.; patient recruitment, H.T. and C.-C.L., assist in research execution, H.T., C.-C.L. and Y.-C.C., data curation: C.-J.W., writing—original draft preparation: C.-J.W.; writing—review and editing, S.-D.L. and M.-C.C.; supervision, S.-D.L.; project administration, S.-D.L. and M.-C.C. All authors have read and agreed to the published version of the manuscript.
Funding
Ministry of Science and Technology, Taiwan: MOST 107-2622-B-468-001-CC3.
Institutional Review Board Statement
This study was approved by the Institutional Review Board of the Chung Shan Medical University Hospital (No.110, Sec1, Chien-Kuo N. Road, Taichung. Taiwan 40201) (IRB number: CS2-17084) and conducted according to the Declaration of Helsinki.
Informed Consent Statement
Informed consent was obtained from all subjects involved in the study.
Data Availability Statement
The data presented in this study are available on request from the corresponding author. The data are not publicly available due to privacy and ethics.
Acknowledgments
The authors would like to thank everyone who supported us in this work. Our gratitude also goes to Michael Burton, Asia University for English proofreading.
Conflicts of Interest
The authors declare no conflict of interest.
References
- Le, H.V.; Lee, S.J.; Nazarian, A.; Rodriguez, E.K. Adhesive capsulitis of the shoulder: Review of pathophysiology and current clinical treatments. Shoulder Elb. 2017, 9, 75–84. [Google Scholar] [CrossRef] [PubMed]
- Ewald, A. Adhesive capsulitis: A review. Am. Fam. Physician 2011, 83, 417–422. [Google Scholar] [PubMed]
- Dudkiewicz, I.; Oran, A.; Salai, M.; Palti, R.; Pritsch, M. Idiopathic adhesive capsulitis: Long-term results of conservative treatment. Isr. Med. Assoc. J. 2004, 6, 524–526. [Google Scholar] [PubMed]
- Lubiecki, M.; Carr, A. Editorial: Frozen Shoulder: Past, Present, and Future. J. Orthop. Surg. 2007, 15, 1–3. [Google Scholar] [CrossRef]
- Wong, C.; Levine, W.; Deo, K.; Kesting, R.; Mercer, E.; Schram, G.; Strang, B. Natural history of frozen shoulder: Fact or fiction? A systematic review. Physiotherapy 2017, 103, 40–47. [Google Scholar] [CrossRef]
- Neviaser, A.S.; Hannafin, J.A. Adhesive Capsulitis: A review of current treatment. Am. J. Sports Med. 2010, 38, 2346–2356. [Google Scholar] [CrossRef]
- Lloyd-Roberts, G.C.; French, P.R. Periarthritis of the Shoulder: A study of the disease and its treatment. BMJ 1959, 1, 1569–1571. [Google Scholar] [CrossRef]
- Jain, T.K.; Sharma, N.K. The effectiveness of physiotherapeutic interventions in treatment of frozen shoulder/adhesive capsulitis: A systematic review. J. Back Musculoskelet. Rehabil. 2014, 27, 247–273. [Google Scholar] [CrossRef]
- Page, M.J.; Green, S.; Kramer, S.; Johnston, R.V.; McBain, B.; Chau, M.; Buchbinder, R. Manual therapy and exercise for adhesive capsulitis (frozen shoulder). Cochrane Database Syst. Rev. 2014, CD011275. [Google Scholar] [CrossRef]
- Nadler, S.F.; Weingand, K.; Kruse, R.J. The physiologic basis and clinical applications of cryotherapy and thermotherapy for the pain practitioner. Pain Physician 2004, 7, 395–400. [Google Scholar] [CrossRef]
- Leung, M.S.F.; Cheing, G.L.Y. Effects of deep and superficial heating in the management of frozen shoulder. Acta Derm. Venereol. 2008, 40, 145–150. [Google Scholar] [CrossRef]
- Edmond, S.L. Chapter 3—The Shoulder. In Joint Mobilization/Manipulation, 2nd ed.; Edmond, S.L., Ed.; Mosby: Saint Louis, MI, USA, 2006; pp. 36–67. [Google Scholar]
- Mangus, B.C.; Hoffman, L.A.; Hoffman, M.A.; Altenburger, P. Basic Principles of Extremity Joint Mobilization Using a Kaltenborn Approach. J. Sport Rehabil. 2002, 11, 235–250. [Google Scholar] [CrossRef]
- Noten, S.; Meeus, M.; Stassijns, G.; Van Glabbeek, F.; Verborgt, O.; Struyf, F. Efficacy of Different Types of Mobilization Techniques in Patients with Primary Adhesive Capsulitis of the Shoulder: A Systematic Review. Arch. Phys. Med. Rehabil. 2016, 97, 815–825. [Google Scholar] [CrossRef]
- Çelik, D.; Mutlu, E.K. Does adding mobilization to stretching improve outcomes for people with frozen shoulder? A randomized controlled clinical trial. Clin. Rehabil. 2016, 30, 786–794. [Google Scholar] [CrossRef]
- Association, A.P.T. Guide to Physical Therapist Practice. Second Edition. Phys. Ther. 2001, 81, 9–746. [Google Scholar]
- Chien, J.-R.C.; Chang, C.-F.; Shiu, J.-H. Implementation of a rehabilitation robot for glenohumeral joint mobilization. In Proceedings of the 2014 International Conference on Audio, Language and Image Processing, Shanghai, China, 7–9 July 2014; pp. 69–72. [Google Scholar]
- Azarsa, M.H.; Mirbagheri, A.; Shadmehr, A.; Karimi, N.; Mirbagheri, M.M. Design and Preliminary Evaluation of a Novel Robotic System for Mobilization of Glenohumeral Joint. In Proceedings of the 2019 41st Annual International Conference of the IEEE Engineering in Medicine and Biology Society (EMBC), Berlin, Germany, 23–27 July 2019; pp. 5411–5414. [Google Scholar]
- Vermeulen, H.M.; Obermann, W.R.; Burger, B.J.; Kok, G.J.; Rozing, P.M.; Ende, C.H.V.D. End-Range Mobilization Techniques in Adhesive Capsulitis of the Shoulder Joint: A Multiple-Subject Case Report. Phys. Ther. 2000, 80, 1204–1213. [Google Scholar] [CrossRef]
- Bulgen, D.Y.; Binder, A.I.; Hazleman, B.L.; Dutton, J.; Roberts, S. Frozen shoulder: Prospective clinical study with an evaluation of three treatment regimens. Ann. Rheum. Dis. 1984, 43, 353–360. [Google Scholar] [CrossRef]
- Nicholson, G.G. The Effects of Passive Joint Mobilization on Pain and Hypomobility Associated with Adhesive Capsulitis of the Shoulder. J. Orthop. Sports Phys. Ther. 1985, 6, 238–246. [Google Scholar] [CrossRef]
- Chan, H.B.Y.; Pua, P.Y.; How, H.C. Physical therapy in the management of frozen shoulder. Singap. Med. J. 2017, 58, 685–689. [Google Scholar] [CrossRef]
- Kelley, M.J.; McClure, P.W.; Leggin, B.G. Frozen Shoulder: Evidence and a Proposed Model Guiding Rehabilitation. J. Orthop. Sports Phys. Ther. 2009, 39, 135–148. [Google Scholar] [CrossRef]
- Hengeveld, E.; Banks, K. Maitland’s Peripheral Manipulation E-Book: Management of Neuromusculoskeletal Disorders; Elsevier Health Sciences: London, UK, 2013; Volume 2. [Google Scholar]
- Kaltenborn, F.M.; Evjenth, O.; Kaltenborn, T.B.; Morgan, D.; Vollowitz, E. Manual Mobilization of the Joints. Joint Examination and Basic Treatment: The Extremities Volume I; Norli, OPTP: Oslo, Norway; Minneapolis, MN, USA, 2011. [Google Scholar]
- Lin, H.-T.; Hsu, A.-T.; Chang, G.-L.; Chien, J.-R.C.; An, K.-N.; Su, F.C. Determining the Resting Position of the Glenohumeral Joint in Subjects Who Are Healthy. Phys. Ther. 2007, 87, 1669–1682. [Google Scholar] [CrossRef][Green Version]
- Clarkson, H.M. Musculoskeletal Assessment: Joint Range of Motion and Manual Muscle Strength, 2nd ed.; Lippincott Williams & Wilkins: Philadelphia, PA, USA, 2000. [Google Scholar]
- Carlsson, A.M. Assessment of chronic pain. I. Aspects of the reliability and validity of the visual analogue scale. Pain 1983, 16, 87–101. [Google Scholar] [CrossRef]
- Kumar, A.; Kumar, S.; Aggarwal, A.; Kumar, R.; Das, P.G. Effectiveness of Maitland Techniques in Idiopathic Shoulder Adhesive Capsulitis. ISRN Rehabil. 2012, 2012, 1–8. [Google Scholar] [CrossRef]
- Vermeulen, H.M.; Rozing, P.M.; Obermann, W.R.; Le Cessie, S.; Vlieland, T.P.M.V. Comparison of High-Grade and Low-Grade Mobilization Techniques in the Management of Adhesive Capsulitis of the Shoulder: Randomized Controlled Trial. Phys. Ther. 2006, 86, 355–368. [Google Scholar] [CrossRef]
- Moon, G.D.; Lim, J.Y.; Kim, D.Y.; Kim, T.H. Comparison of Maitland and Kaltenborn mobilization techniques for improving shoulder pain and range of motion in frozen shoulders. J. Phys. Ther. Sci. 2015, 27, 1391–1395. [Google Scholar] [CrossRef]
- Yang, J.-L.; Jan, M.-H.; Chang, C.-W.; Lin, J.-J. Effectiveness of the end-range mobilization and scapular mobilization approach in a subgroup of subjects with frozen shoulder syndrome: A randomized control trial. Man. Ther. 2012, 17, 47–52. [Google Scholar] [CrossRef]
- Yang, J.-L.; Chang, C.-W.; Chen, S.-Y.; Wang, S.-F.; Lin, J.-J. Mobilization Techniques in Subjects with Frozen Shoulder Syndrome: Randomized Multiple-Treatment Trial. Phys. Ther. 2007, 87, 1307–1315. [Google Scholar] [CrossRef] [PubMed]
- Johnson, A.J.; Godges, J.J.; Zimmerman, G.J.; Ounanian, L.L. The Effect of Anterior Versus Posterior Glide Joint Mobilization on External Rotation Range of Motion in Patients with Shoulder Adhesive Capsulitis. J. Orthop. Sports Phys. Ther. 2007, 37, 88–99. [Google Scholar] [CrossRef] [PubMed]
- Bialosky, J.E.; Bishop, M.D.; Price, D.D.; Robinson, M.E.; George, S.Z. The mechanisms of manual therapy in the treatment of musculoskeletal pain: A comprehensive model. Man. Ther. 2009, 14, 531–538. [Google Scholar] [CrossRef] [PubMed]
- Bishop, M.D.; Torres-Cueco, R.; Gay, C.W.; Lluch-Girbés, E.; Beneciuk, J.M.; Bialosky, J.E. What effect can manual therapy have on a patient’s pain experience? Pain Manag. 2015, 5, 455–464. [Google Scholar] [CrossRef] [PubMed]
- Talbott, N.R.; Witt, D.W. In vivo measurements of humeral movement during posterior glenohumeral mobilizations. J. Man. Manip. Ther. 2016, 24, 269–276. [Google Scholar] [CrossRef][Green Version]
- Witt, D.W.; Talbott, N.R. In-vivo measurements of force and humeral movement during inferior glenohumeral mobilizations. Man. Ther. 2016, 21, 198–203. [Google Scholar] [CrossRef]
- Piekarz, V.; Perry, J. An investigation into the effects of applying a lumbar Maitland mobilisation at different frequencies on sympathetic nervous system activity levels in the lower limb. Man. Ther. 2016, 23, 83–89. [Google Scholar] [CrossRef]
- Chiu, T.; Wright, A. To compare the effects of different rates of application of a cervical mobilisation technique on sympathetic outflow to the upper limb in normal subjects. Man. Ther. 1996, 1, 198–203. [Google Scholar] [CrossRef] [PubMed]
Publisher’s Note: MDPI stays neutral with regard to jurisdictional claims in published maps and institutional affiliations. |
© 2021 by the authors. Licensee MDPI, Basel, Switzerland. This article is an open access article distributed under the terms and conditions of the Creative Commons Attribution (CC BY) license (https://creativecommons.org/licenses/by/4.0/).