Decontamination of Food Packages from SARS-CoV-2 RNA with a Cold Plasma-Assisted System
Abstract
Featured Application
Abstract
1. Introduction
2. Materials and Methods
2.1. Plasma System
2.2. Packaging Materials and Food Products
2.3. Contamination of Materials with SARS-CoV-2 RNA and Analysis
2.4. Plasma Treatment
2.5. Analytical Determinations
2.5.1. Setup for Optical Absorption Spectroscopy (OAS) and Data Processing
2.5.2. SARS-CoV-2 RNA Analysis
2.5.3. Packaging Material Performance
2.5.4. Product Shelf-Life
2.6. Statistical Analysis
3. Results
3.1. Electrical Characterization and Gas Temperature Measurement
3.2. O3 and NO2 Kinetics
3.3. SARS-CoV-2 RNA Degradation
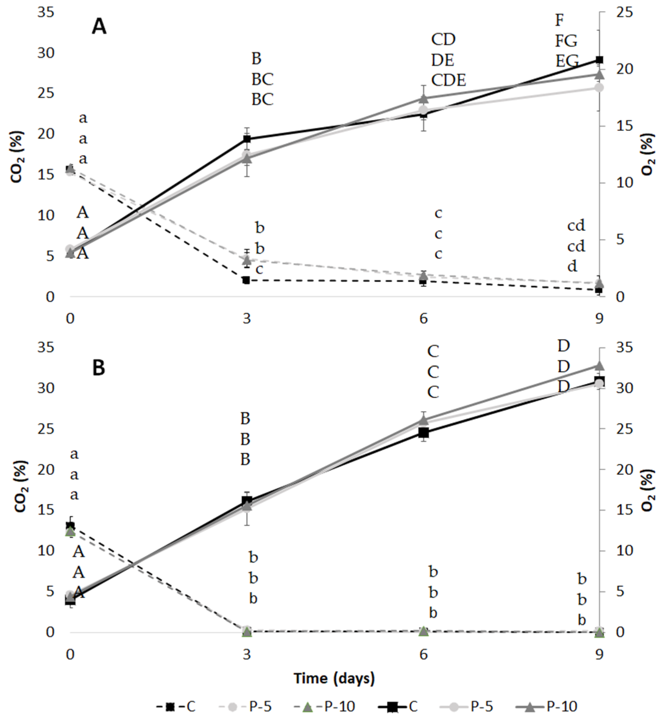
3.4. Packaging Performance
3.5. Product Shelf-Life
4. Conclusions
Supplementary Materials
Author Contributions
Funding
Institutional Review Board Statement
Informed Consent Statement
Data Availability Statement
Acknowledgments
Conflicts of Interest
References
- Aronson, J.K. Corona Viruses—A General Introduction. Centre for Evidence-Based Medicine, Nuffield Department of Primary Care Health Sciences, University of Oxford. 2020. Available online: https://www.cebm.net/covid-19/coronaviruses-a-general-introduction/ (accessed on 24 May 2020).
- Anelich, L.E.; Lues, R.; Farber, J.M.; Parreira, V.R. SARS-CoV-2 and Risk to Food Safety. Front. Nutr. 2020, 7, 243. [Google Scholar] [CrossRef] [PubMed]
- ANSES. (French Agency for Food, Environmental and Occupational Health and Safety). Opinion on an Urgent Request to Assess Certain Risks Associated with COVID-19. 2020. Available online: https://www.anses.fr/en/system/files/SABA2020SA0037-1.pdf (accessed on 30 April 2020).
- Kampf, G.; Todt, D.; Pfaender, S.; Steinmann, E. Persistence of coronaviruses on inanimate surfaces and their inactivation with biocidal agents. J. Hosp. Infect. 2020, 104, 246–251. [Google Scholar] [CrossRef] [PubMed]
- Kapoor, A.; Saha, R. Hand washing agents and surface disinfectants in times of Coronavirus (COVID-19) outbreak. Indian J. Community Health 2020, 32, 225–227. [Google Scholar] [CrossRef]
- WHO (World Health Organization). Infection Prevention and Control During Health Care When Novel Coronavirus (nCoV) Infection is Suspected: Interim Guidance, 25 January 2020. 2020. Available online: https://www.who.int/publications-detail/infection-prevention-and-control-during-health-care-when-novel-coronavirus-(ncov)-infection-is-suspected-20200125 (accessed on 20 February 2020).
- Suman, R.; Javaid, M.; Haleem, A.; Vaishya, R.; Bahl, S.; Nandan, D. Sustainability of coronavirus on different surfaces. J. Clin. Exp. Hepatol. 2020, 10, 386–390. [Google Scholar] [CrossRef] [PubMed]
- Alekseev, O.; Donovan, K.; Limonnik, V.; Azizkhan-Clifford, J. Nonthermal dielectric barrier discharge (DBD) plasma suppresses herpes simplex virus type 1 (HSV-1) replication in corneal epithelium. Transl. Vis. Sci. Technol. 2014, 3, 2. [Google Scholar] [CrossRef] [PubMed]
- Liang, Y.; Wei, K.; Li, W.; Yao, M.; Zhang, J.; Grinshpun, S.A. MS2 virus inactivation by atmospheric-pressure cold plasma using different gas carriers and power levels. Appl. Environ. Microbiol. 2015, 81, 996–1002. [Google Scholar]
- Zimmermann, J.L.; Dumler, K.; Shimizu, T.; Morfill, G.E.; Wolf, A.; Boxhammer, V.; Anton, M. Effects of cold atmospheric plasmas on adenoviruses in solution. J. Phys. D Appl. Phys. 2011, 44, 505201. [Google Scholar] [CrossRef]
- Bisag, A.; Isabelli, P.; Laurita, R.; Bucci, C.; Capelli, F.; Dirani, G.; Gherardi, M.; Laghi, G.; Paglianti, A.; Sambri, V.; et al. Cold atmospheric plasma inactivation of aerosolized microdroplets containing bacteria and purifiedSARS-CoV-2 RNA to contrast airborne indoor transmission. Plasma Process. Polym. 2020, 17, 2000154. [Google Scholar] [CrossRef]
- Chen, Z.; Garcia, G., Jr.; Arumugaswami, V.; Wirz, R.E. Cold atmospheric plasma for SARS-CoV-2 inactivation. Phys. Fluids 2020, 32, 111702. [Google Scholar] [CrossRef] [PubMed]
- Simoncelli, E.; Schulpen, J.; Barletta, F.; Laurita, R.; Colombo, V.; Nikiforov, A.; Gherardi, M. UV–VIS optical spectroscopy investigation on the kinetics of long-lived RONS produced by a surface DBD plasma source. Plasma Source. Sci. Technol. 2019, 28, 095015. [Google Scholar] [CrossRef]
- Moiseev, T.; Misra, N.N.; Patil, S.; Cullen, P.J.; Bourke, P.; Keener, K.M.; Mosnier, J.P. Post-discharge gas composition of a large-gap DBD in humid air by UV–Vis absorption spectroscopy. Plasma Source. Sci. Technol. 2014, 23, 065033. [Google Scholar] [CrossRef]
- ISO 15 105-1, ASTM D1434. Standard Test Method for Determining Gas Permeability Characteristics of Plastic Film and Sheeting; Brugger Feinmechanik GmbH. Gas Permeability Testing Manual, Registergericht München HRB 77020; ASTM: West Conshohocken, PA, USA, 1998. [Google Scholar] [CrossRef]
- Chakravartula, S.S.N.; Soccio, M.; Lotti, N.; Balestra, F.; Dalla Rosa, M.; Siracusa, V. Characterization of composite edible films based on pectin/alginate/whey protein concentrate. Materials 2019, 12, 2454. [Google Scholar] [CrossRef] [PubMed]
- Siracusa, V.; Ingrao, C. Correlation amongst gas barrier behaviour, temperature and thickness in BOPP films for food packaging usage: A lab-scale testing experience. Polym. Test 2017, 59, 277–289. [Google Scholar] [CrossRef]
- Sichina, W.J. DSC as Problem Solving Tool: Measurement of Percent Crystallinity of Thermoplastics. PETech-40 Thermal Analysis; Application Note; PerkinElmer Inc.: Waltham, MA, USA, 2000; Available online: https://www.perkinelmer.com/ (accessed on 2 May 2021).
- AOAC International. Official Methods of Analysis (OMA) of AOAC International, USA. Method Number: 942.15. 2020. Available online: http://www.eoma.aoac.org/ (accessed on 2 May 2021).
- Shimizu, T.; Sakiyama, Y.; Graves, D.B.; Zimmermann, J.L.; Morfill, G.E. The dynamics of ozone generation and mode transition in air surface micro-discharge plasma at atmospheric pressure. New J. Phys. 2012, 14, 103028. [Google Scholar] [CrossRef]
- Kogelschatz, U.; Eliasson, B.; Hirth, M. Ozone generation from oxygen and air: Discharge physics and reaction mechanisms. Ozone Sci. Eng. 1988, 10, 12. [Google Scholar] [CrossRef]
- Filipić, A.; Gutierrez-Aguirre, I.; Primc, G.; Mozetič, M.; Dobnik, D. Cold plasma, a new hope in the field of virus inactivation. Trend. Biotechnol. 2020, 38, 1278–1291. [Google Scholar] [CrossRef] [PubMed]
- Siroli, L.; Patrignani, F.; Serrazanetti, D.I.; Tabanelli, G.; Montanari, C.; Tappi, S.; Lanciotti, R. Efficacy of natural antimicrobials to prolong the shelf-life of minimally processed apples packaged in modified atmosphere. Food Cont. 2014, 46, 403–411. [Google Scholar] [CrossRef]
- Putnik, P.; Kovačević, D.B.; Herceg, K.; Roohinejad, S.; Greiner, R.; Bekhit, A.E.D.A.; Levaj, B. Modelling the shelf-life of minimally-processed fresh-cut apples packaged in a modified atmosphere using food quality parameters. Food Cont. 2017, 81, 55–64. [Google Scholar] [CrossRef]
- Benner, R.A., Jr. Organisms of concern but not foodborne or confirmed foodborne: Spoilage microorganisms. In Encyclopedia of Food Safety; Academic Press: San Diego, CA, USA, 2014; Volume 1. [Google Scholar]






| Volume | Volume × 103 (cm3) |
|---|---|
| V1 | 2.60 |
| V2 | 5.21 |
| V3 | 6.51 |
| Selected Wavelength | O3 Cross-Section | NO2 Cross-Section |
|---|---|---|
| 253 ± 1.2 nm | (1.12 ± 0.02) × 10−17 | (1.1 ± 0.3) × 10−20 |
| 400 ± 1.2 nm | (1.12 ± 0.08) × 10−23 | (6.4 ± 0.2) × 10−19 |
| Volume # | Treatment Time to Overcome 1600 ppm of O3 [s] | Maximum O3 Concentration [ppm] |
|---|---|---|
| V1 | 56.8 | 1833.4 |
| V2 | 122.0 | 1767.0 |
| V3 | 167.2 | 1648.5 |
| First Heating | Second Heating | |||||
|---|---|---|---|---|---|---|
| ΔHm (J/g) | Tm (°C) | Xc (%) | ΔHm (J/g) | Tm (°C) | Xc (%) | |
| PP | ||||||
| C | 33.6 a ± 5.8 | 164.8 a ± 0.6 | 16.2 a ± 2.8 | 33.0 a ± 4.8 | 165.5 a ± 0.4 | 15.9 a ± 2.3 |
| P5 | 36.9 a ± 1.5 | 164.2 a ± 0.6 | 17.8 a ± 0.7 | 34.6 a ± 1.6 | 165.4 a ± 0.1 | 16.7 a ± 0.8 |
| P10 | 34.8 a ± 3.8 | 164.8 a ± 0.7 | 16.8 a ± 1.8 | 32.7 a ± 3.3 | 165.5 a ± 0.1 | 15.8 a ± 1.6 |
| PET | ||||||
| C | 44.7 a ± 7.8 | 248.8 a ±0.5 | 27.6 a ± 4.8 | 31.9 a ± 5.6 | 248.6 a ± 0.3 | 31.9 a ± 5.5 |
| P5 | 51.2 a ± 9.1 | 249.6 a ± 0.2 | 31.3 a ± 9.2 | 36.5 a ± 7.2 | 248.3 a ± 0.2 | 36.5 a ± 7.2 |
| P10 | 52.3 a ± 9.3 | 249.6 a ± 0.1 | 32.9 a ± 9.8 | 37.3 a ± 6.6 | 248.1 a ± 0.8 | 37.3 a ± 6.6 |
| Sample | Food Simulant | Overall Migration (mg/dm2) | |
|---|---|---|---|
| PP | PET | ||
| C | Acetic acid (3%) | <1 | <1 |
| C | Distilled water | <1 | <1 |
| P5 | Acetic acid (3%) | <1 | <1 |
| P5 | Distilled water | <1 | <1 |
| P10 | Acetic acid (3%) | <1 | <1 |
| P10 | Distilled water | <1 | <1 |
| Sample | Storage Time (d) | |||
|---|---|---|---|---|
| 0 | 3 | 6 | 9 | |
| PET | ||||
| C | 0.30 a ± 0.01 | 0.30 a ± 0.06 | 0.31 a ± 0.01 | 0.35 a ± 0.01 |
| P5 | 0.29 a ± 0.00 | 0.29 a ± 0.06 | 0.31 a ± 0.06 | 0.33 a ± 0.00 |
| P10 | 0.29 a ± 0.01 | 0.31 a ± 0.06 | 0.32 a ± 0.00 | 0.35 a ± 0.06 |
| PP | ||||
| C | 0.20 a ± 0.00 | 0.18 a ± 0.06 | 0.20 a ± 0.00 | 0.19 a ± 0.06 |
| P5 | 0.19 a ± 0.00 | 0.18 a ± 0.06 | 0.19 a ± 0.06 | 0.19 a ± 0.06 |
| P10 | 0.23 a ± 0.05 | 0.22 a ± 0.06 | 0.20 a ± 0.06 | 0.19 a ± 0.00 |
| Days of Storage | Cell Loads (log CFU/g) | ||||||
|---|---|---|---|---|---|---|---|
| Apples in PP-Bags | Apples in PET | ||||||
| C | P5 | P10 | C | P5 | P10 | ||
| 0 | TMC | 4.94 a ± 0.29 | 5.15 a ± 0.25 | 5.32 a ± 0.28 | 3.40 a ± 0.44 | 3.34 a ± 0.62 | 3.83 a ± 0.53 |
| Lactobacillus spp. | 3.23 a ±0.23 | 3.10 a ± 0.34 | 3.12 a ± 0.30 | 2.56 a ± 0.22 | 2.81 a ± 0.43 | 2.70 a ± 0.22 | |
| Yeasts | 2.50 a ± 0.30 | 2.71 a ± 0.24 | 2.60 a ± 0.23 | 1.48 a ± 0.27 | 1.56 a ± 0.33 | 2.00 a ± 0.32 | |
| Molds | 2.28 a ± 0.44 | 2.27 a ± 0.05 | 2.24 a ± 0.34 | 1.78 a ± 0.25 | 1.26 a ± 0.17 | 1.55 a ± 0.43 | |
| 3 | TMC | 6.85 a ± 0.34 | 6.92 a ± 0.22 | 6.83 a ± 0.25 | 5.45 a ± 0.18 | 4.75 a ± 0.37 | 4.56 a ± 0.42 |
| Lactobacillus spp. | 3.05 a ± 0.4 | 3. ± 0.34 | 3.49 a ± 0.30 | 4.03 a ± 0.47 | 4.02 a ± 0.54 | 4.43 a ± 0.20 | |
| Yeasts | 3.330 a ± 0.45 | 3.67 a ± 0.10 | 3.54 a ± 0.30 | 3.70 a ± 0.20 | 3.51 a ± 0.16 | 3.59 a ± 0.24 | |
| Molds | 2.18 a ± 0.28 | 2.02 a ± 0.34 | 1.93 a ± 0.21 | * | * | * | |
| 6 | TMC | 7.41 a ± 0.25 | 7.21 a ± 0.16 | 7.03 a ± 0.23 | 6.26 a ± 0.01 | 6.29 a ± 0.22 | 6.93 a ± 0.14 |
| Lactobacillus spp. | 4.18 a ± 0.10 | 3.18 a ± 0.18 | 4.21 a ± 0.27 | 4.92 a ± 0.59 | 4.80 a ± 0.47 | 4.60 a ± 0.28 | |
| Yeasts | 4.10 a ± 0.30 | 4.20 a ± 0.20 | 4.12 a ± 0.33 | 3.90 a ± 0.01 | 4.30 a ± 0.10 | 4.20 a ± 0.40 | |
| Molds | 2.30 a ± 0.22 | 2.41 a ±0.20 | 2.58 a ± 0.20 | * | * | * | |
| 9 | TMC | 8.41 a ± 0.25 | 7.75 a ± 0.26 | 7.92 a ± 0.23 | 6.91 a ± 0.34 | 6.56 a ± 0.17 | 6.89 a ± 0.24 |
| Lactobacillus spp. | 4.55 a ± 0.44 | 4.93 a ± 0.46 | 4.27 a ± 0.28 | 6.02 a ± 0.08 | 5.45 a ± 0.05 | 5.67 ± 0.33 | |
| Yeasts | 4.60 a ± 0.30 | 4.40 a ± 0.30 | 4.60 a ± 0.30 | 4.61 a ± 0.10 | 4.23 a ± 0.25 | 4.40 a ± 0.20 | |
| Molds | 2.44 a ± 0.29 | 2.57 a ± 0.05 | 2.78 a ± 0.31 | * | * | * | |
Publisher’s Note: MDPI stays neutral with regard to jurisdictional claims in published maps and institutional affiliations. |
© 2021 by the authors. Licensee MDPI, Basel, Switzerland. This article is an open access article distributed under the terms and conditions of the Creative Commons Attribution (CC BY) license (https://creativecommons.org/licenses/by/4.0/).
Share and Cite
Capelli, F.; Tappi, S.; Gritti, T.; de Aguiar Saldanha Pinheiro, A.C.; Laurita, R.; Tylewicz, U.; Spataro, F.; Braschi, G.; Lanciotti, R.; Gómez Galindo, F.; et al. Decontamination of Food Packages from SARS-CoV-2 RNA with a Cold Plasma-Assisted System. Appl. Sci. 2021, 11, 4177. https://doi.org/10.3390/app11094177
Capelli F, Tappi S, Gritti T, de Aguiar Saldanha Pinheiro AC, Laurita R, Tylewicz U, Spataro F, Braschi G, Lanciotti R, Gómez Galindo F, et al. Decontamination of Food Packages from SARS-CoV-2 RNA with a Cold Plasma-Assisted System. Applied Sciences. 2021; 11(9):4177. https://doi.org/10.3390/app11094177
Chicago/Turabian StyleCapelli, Filippo, Silvia Tappi, Tommaso Gritti, Ana Cristina de Aguiar Saldanha Pinheiro, Romolo Laurita, Urszula Tylewicz, Francesco Spataro, Giacomo Braschi, Rosalba Lanciotti, Federico Gómez Galindo, and et al. 2021. "Decontamination of Food Packages from SARS-CoV-2 RNA with a Cold Plasma-Assisted System" Applied Sciences 11, no. 9: 4177. https://doi.org/10.3390/app11094177
APA StyleCapelli, F., Tappi, S., Gritti, T., de Aguiar Saldanha Pinheiro, A. C., Laurita, R., Tylewicz, U., Spataro, F., Braschi, G., Lanciotti, R., Gómez Galindo, F., Siracusa, V., Romani, S., Gherardi, M., Colombo, V., Sambri, V., & Rocculi, P. (2021). Decontamination of Food Packages from SARS-CoV-2 RNA with a Cold Plasma-Assisted System. Applied Sciences, 11(9), 4177. https://doi.org/10.3390/app11094177

