Investigations of the Absorption Front in High-Speed Laser Processing Up to 600 m/min
Abstract
1. Introduction
2. Materials and Methods
3. Results
3.1. Reference Process
3.2. Characterization by Means of the Half-Section Setup
3.3. Further Process Observations
4. Process Models and Discussion
5. Conclusions
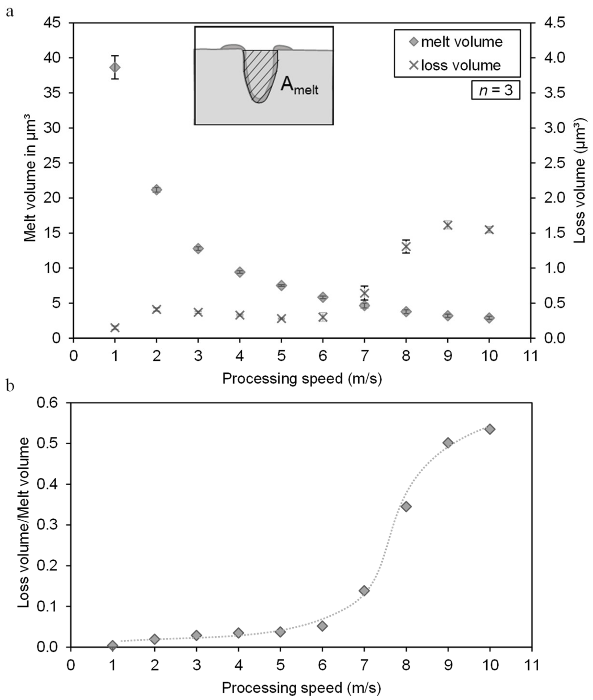
- The resultant loss of mass clarified the different process regimes that dominated in the range of processing speeds from 1 to 10 m/s. There was an increase by a factor of more than 10 for the resultant loss of mass at 10 m/s compared to that found at 1 m/s. It could be observed that the loss of mass started to increase significantly at processing speeds of 7 m/s. Examinations on metallographic cross-sections showed differences in the amount of remaining melt at the walls and bottom of the resulting kerfs for high processing speeds.
- The resulting inclination angle increased nearly linear with the increased processing speed. Under the applied process parameters, an angle of about 14° was produced at 1 m/s, while the absorption front was inclined at about 70° for processing speeds of 10 m/s. The correlation with the resulting loss of mass showed significant increases at inclination angles of about 60°.
- At processing speeds between 4 and 6 m/s, the preferred orientation of single spatter detachments was observed to be lateral and frontward relative to the scanning direction, with velocities comparable to the processing speed. The orientation of the spatter detachment occurring at processing speeds beyond 7 m/s was characterized as being primarily against the scanning direction. At the same time, a much higher amount of finer spatter was observed to occur at a processing speed of 7 m/s, when the absorption front was inclined at about 60°. As such, the formation of long trajectories for a single spatter demonstrated its immense acceleration out of the processing zone.
Author Contributions
Funding
Institutional Review Board Statement
Informed Consent Statement
Data Availability Statement
Acknowledgments
Conflicts of Interest
References
- Mahrle, A.; Lütke, M.; Beyer, E. Fibre laser cutting: Beam absorption characteristics and gas-free remote cutting. J. Mech. Eng. Sci. Proc. Inst. Mech. Eng. Part C 2009, 224, 1007–1018. [Google Scholar] [CrossRef]
- Mustafa, H.; Matthews, D.T.A.; Römer, G.R.B.E. Influence of the pulse duration at near-infrared wavelengths on the laser-induced material removal of hot-dipped galvanized steel. J. Laser Appl. 2020, 32, 022015. [Google Scholar] [CrossRef]
- Ullmann, F.; Loeschner, U.; Hartwig, L.; Szczepanski, D.; Schille, J.; Gronau, S.; Knebel, T.; Drechsel, J.; Ebert, R.; Exner, H. High-speed laser ablation cutting of metal. In High-Power Laser Materials Processing: Lasers, Beam Delivery, Diagnostics, and Applications II; International Society for Optics and Photonics: San Francisco, CA, USA, 2013; Volume 8603, p. 860311. [Google Scholar] [CrossRef]
- Kaplan, A.F.H.; Powell, J. Spatter in laser welding. J. Laser Appl. 2011, 23, 032005. [Google Scholar] [CrossRef]
- Hügel, H.; Graf, T. Laser in der Fertigung: Grundlagen der Strahlquellen, Systeme, Fertigungsverfahren; Vieweg+Teubner: Wiesbaden, Germany, 2014; Volume 3. [Google Scholar]
- Beck, M. Modellierung des Laserstrahltiefschweißens; Teubner: Wiesbaden, Germany, 1996. [Google Scholar]
- Rominger, V.; Berger, P.; Hügel, H. Effects of reduced ambient pressure on spattering during the laser beam welding of mild steel. J. Laser Appl. 2019, 31, 042016. [Google Scholar] [CrossRef]
- Hellwig, P.; Schricker, K.; Bergmann, J.P. Effect of reduced ambient pressure and atmospheric composition on material removal mechanisms of steel and aluminum by means of high-speed laser processing. Procedia CIRP 2020, 94, 487–492. [Google Scholar] [CrossRef]
- Musiol, J.D. Remote-Laserstrahl-Abtragschneiden; Herbert Utz Verlag: Munich, Germany, 2015; Volume 307. [Google Scholar]
- Abt, F. Bildbasierte Charakterisierung und Regelung von Laserschweißprozessen; Herbert Utz Verlag: Munich, Germany, 2018; Volume 88. [Google Scholar]
- Tenner, F.; Riegel, D.; Mayer, E.; Schmidt, M. Analytical model of the laser welding of zinc-coated steel sheets by the aid of videography. J. Laser Appl. 2017, 29, 22411. [Google Scholar] [CrossRef]
- Fabbro, R. Melt pool and keyhole behaviour analysis for deep penetration laser welding. J. Phys. D Appl. Phys. 2010, 43. [Google Scholar] [CrossRef]
- Berger, P.; Hügel, H. Fluid Dynamic Effects in Keyhole Welding—An Attempt to Characterize Different Regimes. Phys. Procedia 2013, 41, 216–224. [Google Scholar] [CrossRef]
- Cunningham, R.; Zhao, C.; Parab, N.; Kantzos, C.; Pauza, J.; Fezzaa, K.; Sun, T.; Rollett, A.D. Keyhole threshold and morphology in laser melting revealed by ultrahigh-speed X-ray imaging. Science 2019, 363, 849–852. [Google Scholar] [CrossRef] [PubMed]
- DIN EN 10088-3 Stainless Steels—Part 3: Technical Delivery Conditions for Semi-Finished Products, Bars, Rods, Wire, Sections, and Bright Products of Corrosion Resisting Steels for General Purposes; German Version; Beuth Verlag GmbH: Berlin, Germany, 2014.
- Benyounis, K.; Olabi, A.; Hashmi, M. Effect of laser welding parameters on the heat input and weld-bead profile. J. Mater. Process. Technol. 2005, 164–165, 978–985. [Google Scholar] [CrossRef]
- Material Datasheet 1.4301. Available online: https://www.stauberstahl.com/werkstoffe/14301-werkstoff-datenblatt/ (accessed on 12 March 2021).
- Weberpals, J.-P. Nutzen und Grenzen Guter Fokussierbarkeit beim Laserschweißen; Herbert Utz Verlag: Munich, Germany, 2010. [Google Scholar]
- Jarwitz, M.; Lind, J.; Weber, R.; Graf, T.; Speker, N.; Haug, P. Investigation of the influence of superimposed intensity distributions on the spatter behavior in laser welding of steel using online X-ray diagnostics. In Proceedings of the International Congress on Applications of Lasers & Electro-Optics, Orlando, FL, USA, 14–18 October 2018; Laser Institute of America: Orlando, FL, USA, 2018; p. 703. [Google Scholar] [CrossRef]
- Otto, A.; Vázquez, R.G. Fluid dynamical simulation of high speed micro welding. J. Laser Appl. 2018, 30, 032411. [Google Scholar] [CrossRef]
- Nagel, F.; Brömme, L.; Bergmann, J.P. Effects of two superimposed laser beams on spatter formation during laser welding of high alloyed steel. J. Laser Appl. 2019, 31, 022005. [Google Scholar] [CrossRef]
- Lütke, M. Entwicklung des Remote-Laserstrahlschneidens Metallischer Werkstoffe; Fraunhofer-Verlag: Berlin, Germany, 2011. [Google Scholar]
- Ramlow, M. Simulation des Zerfalls von Flüssigkeiten mit Ansys Fluent. Dissertation, Technische Hochschule Wildau, Wildau, Germany, 2014. [Google Scholar]











| Cr | Ni | C | Si | Mn | Fe |
|---|---|---|---|---|---|
| 17.00–19.00 | 8.00–10.00 | ≤0.07 | ≤1.00 | ≤2.00 | Bal. |
| Wavelength (nm) | Focal Diameter 1 (µm) | BPP (mm·mrad) | M2 | Rayleigh Length (mm) | Focal Length (mm) | Max. Scan Speed (m/s) |
|---|---|---|---|---|---|---|
| 1070 | 16.5 | 0.38 | 1.12 | 0.18 | 135 | 10 |
Publisher’s Note: MDPI stays neutral with regard to jurisdictional claims in published maps and institutional affiliations. |
© 2021 by the authors. Licensee MDPI, Basel, Switzerland. This article is an open access article distributed under the terms and conditions of the Creative Commons Attribution (CC BY) license (https://creativecommons.org/licenses/by/4.0/).
Share and Cite
Hellwig, P.; Schricker, K.; Bergmann, J.P. Investigations of the Absorption Front in High-Speed Laser Processing Up to 600 m/min. Appl. Sci. 2021, 11, 4015. https://doi.org/10.3390/app11094015
Hellwig P, Schricker K, Bergmann JP. Investigations of the Absorption Front in High-Speed Laser Processing Up to 600 m/min. Applied Sciences. 2021; 11(9):4015. https://doi.org/10.3390/app11094015
Chicago/Turabian StyleHellwig, Peter, Klaus Schricker, and Jean Pierre Bergmann. 2021. "Investigations of the Absorption Front in High-Speed Laser Processing Up to 600 m/min" Applied Sciences 11, no. 9: 4015. https://doi.org/10.3390/app11094015
APA StyleHellwig, P., Schricker, K., & Bergmann, J. P. (2021). Investigations of the Absorption Front in High-Speed Laser Processing Up to 600 m/min. Applied Sciences, 11(9), 4015. https://doi.org/10.3390/app11094015

