Pressure-Driven Nitrogen Flow in Divergent Microchannels with Isothermal Walls
Abstract
1. Introduction
2. Problem Description
3. Numerical Procedure
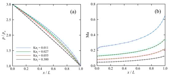
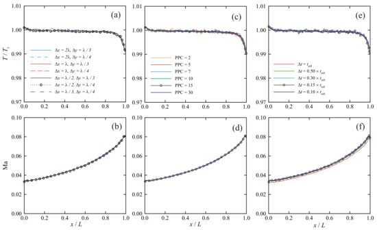
4. Model Validation and Verification
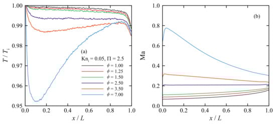
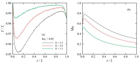
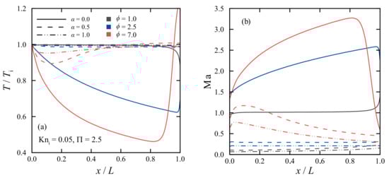
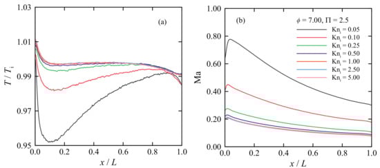
5. Results and Discussion
6. Conclusions
Author Contributions
Funding
Data Availability Statement
Conflicts of Interest
Abbreviations
| DSMC | Direct simulation Monte Carlo |
| NTC | No time counter |
| TAS | Transient adaptive sub-celling |
| VHS | Variable hard sphere |
| PPC | Particle per cell |
| NSF | Navier–Stokes–Fourier |
| MEMS | Micro-electromechanical systems |
| OpenFOAM | Open Source Field Operation and Manipulation |
References
- Würger, A. Leidenfrost Gas Ratchets Driven by Thermal Creep. Phys. Rev. Lett. 2011, 107. [Google Scholar] [CrossRef]
- Gebhard, U.; Hein, H.; Schmidt, U. Numerical investigation of fluidic micro-oscillators. J. Micromech. Microeng. 1996, 6, 115–117. [Google Scholar] [CrossRef]
- Jiang, X.; Zhou, Z.; Huang, X.; Li, Y.; Yang, Y.; Liu, C. Micronozzle/diffuser flow and its application in micro valveless pumps. Sens. Actuators A Phys. 1998, 70, 81–87. [Google Scholar] [CrossRef]
- Duryodhan, V.S.; Singh, A.; Singh, S.G.; Agrawal, A. A simple and novel way of maintaining constant wall temperature in microdevices. Sci. Rep. 2016, 6. [Google Scholar] [CrossRef]
- Yang, M.; Ripoll, M. Thermoosmotic microfluidics. Soft Matter 2016, 12, 8564–8573. [Google Scholar] [CrossRef] [PubMed]
- Bordbar, A.; Kheirandish, S.; Taassob, A.; Kamali, R.; Ebrahimi, A. High-viscosity liquid mixing in a slug-flow micromixer: A numerical study. J. Flow Chem. 2020, 10, 449–459. [Google Scholar] [CrossRef]
- Agrawal, A. A Comprehensive Review on Gas Flow in Microchannels. Int. J. Micro Nano Scale Transp. 2011, 2, 1–40. [Google Scholar] [CrossRef]
- Ebrahimi, A.; Roohi, E.; Kheradmand, S. Numerical study of liquid flow and heat transfer in rectangular microchannel with longitudinal vortex generators. Appl. Therm. Eng. 2015, 78, 576–583. [Google Scholar] [CrossRef]
- Ebrahimi, A.; Rikhtegar, F.; Sabaghan, A.; Roohi, E. Heat transfer and entropy generation in a microchannel with longitudinal vortex generators using nanofluids. Energy 2016, 101, 190–201. [Google Scholar] [CrossRef]
- Ferziger, J.H.; Kaper, H.G.; Gross, E.P. Mathematical Theory of Transport Processes in Gases. Am. J. Phys. 1973, 41, 601–603. [Google Scholar] [CrossRef]
- Johnson, R.W. Handbook of Fluid Dynamics; CRC Press: Boca Raton, FL, USA, 2016. [Google Scholar]
- Gad-el-Hak, M. The MEMS Handbook; CRC Press: Boca Raton, FL, USA, 2005. [Google Scholar]
- Kirby, B.J. Micro- and Nanoscale Fluid Mechanics; Cambridge University Press: Leiden, The Netherlands, 2010. [Google Scholar]
- Roy, S.; Raju, R.; Chuang, H.F.; Cruden, B.A.; Meyyappan, M. Modeling gas flow through microchannels and nanopores. J. Appl. Phys. 2003, 93, 4870–4879. [Google Scholar] [CrossRef]
- Karniadakis, G.E.; Beskok, A.; Aluru, N. Microflows and Nanoflows; Springer: New York, NY, USA, 2005. [Google Scholar] [CrossRef]
- Shen, C. Rarefied Gas Dynamics; Springer: Berlin/Heidelberg, Germany, 2005. [Google Scholar] [CrossRef]
- Kara, V.; Yakhot, V.; Ekinci, K. Generalized Knudsen Number for Unsteady Fluid Flow. Phys. Rev. Lett. 2017, 118. [Google Scholar] [CrossRef]
- Bird, G.A. Molecular Gas Dynamics and the Direct Simulation of Gas Flows; Clarendon Press: Oxford, UK, 1994. [Google Scholar]
- Jakobsen, H.A. Chemical Reactor Modeling; Springer: Berlin/Heidelberg, Germany, 2008. [Google Scholar] [CrossRef]
- Zheng, Y.; Garcia, A.L.; Alder, B.J. Comparison of Kinetic Theory and Hydrodynamics for Poiseuille Flow. J. Stat. Phys. 2002, 109, 495–505. [Google Scholar] [CrossRef]
- Arkilic, E.B.; Breuer, K.S.; Schmidt, M.A. Mass flow and tangential momentum accommodation in silicon micromachined channels. J. Fluid Mech. 2001, 437, 29–43. [Google Scholar] [CrossRef]
- Arlemark, E.J.; Dadzie, S.K.; Reese, J.M. An Extension to the Navier-Stokes-Fourier Equations by Considering Molecular Collisions With Boundaries. In Proceedings of the ASME 2008 6th International Conference on Nanochannels, Microchannels, and Minichannels, Darmstadt, Germany, 23–25 June 2008; ASME: New York, NY, USA, 2008. [Google Scholar] [CrossRef]
- Zade, A.Q.; Ahmadzadegan, A.; Renksizbulut, M. A detailed comparison between Navier–Stokes and DSMC simulations of multicomponent gaseous flow in microchannels. Int. J. Heat Mass Transf. 2012, 55, 4673–4681. [Google Scholar] [CrossRef]
- Torrilhon, M.; Struchtrup, H. Modeling Micro Mass and Heat Transfer for Gases Using Extended Continuum Equations. J. Heat Transf. 2009, 131, 033103. [Google Scholar] [CrossRef]
- Varoutis, S.; Day, C.; Sharipov, F. Rarefied gas flow through channels of finite length at various pressure ratios. Vacuum 2012, 86, 1952–1959. [Google Scholar] [CrossRef]
- Kandlikar, S.G.; Colin, S.; Peles, Y.; Garimella, S.; Pease, R.F.; Brandner, J.J.; Tuckerman, D.B. Heat Transfer in Microchannels—2012 Status and Research Needs. J. Heat Transf. 2013, 135, 091001. [Google Scholar] [CrossRef]
- Fang, Y.; Liou, W.W. Computations of the Flow and Heat Transfer in Microdevices Using DSMC With Implicit Boundary Conditions. J. Heat Transf. 2002, 124, 338. [Google Scholar] [CrossRef]
- Liou, W.; Fang, Y. Heat transfer in microchannel devices using DSMC. J. Microelectromech. Syst. 2001, 10, 274–279. [Google Scholar] [CrossRef]
- Zhang, M.; Day, C.; Varoutis, S.; Cai, G. Rarefied gas flow into vacuum through short tubes at variable wall temperatures. J. Vac. Sci. Technol. A Vacuum Surfaces Film 2017, 35, 021604. [Google Scholar] [CrossRef]
- Hemadri, V.; Duryodhan, V.S.; Agrawal, A. Liquid and gas flows in microchannels of varying cross section: A comparative analysis of the flow dynamics and design perspectives. Microfluid. Nanofluid. 2018, 22. [Google Scholar] [CrossRef]
- Varade, V.; Duryodhan, V.; Agrawal, A.; Pradeep, A.; Ebrahimi, A.; Roohi, E. Low Mach number slip flow through diverging microchannel. Comput. Fluids 2015, 111, 46–61. [Google Scholar] [CrossRef]
- Varade, V.; Agrawal, A.; Pradeep, A.M. Slip flow through a converging microchannel: Experiments and 3D simulations. J. Micromech. Microeng. 2015, 25, 025015. [Google Scholar] [CrossRef]
- Hemadri, V.; Varade, V.V.; Agrawal, A.; Bhandarkar, U.V. Investigation of rarefied gas flow in microchannels of non-uniform cross section. Phys. Fluids 2016, 28, 022007. [Google Scholar] [CrossRef]
- Hemadri, V.; Varade, V.V.; Agrawal, A.; Bhandarkar, U.V. Rarefied gas flow in converging microchannel in slip and early transition regimes. Phys. Fluids 2017, 29, 032002. [Google Scholar] [CrossRef]
- Milićev, S.S.; Stevanović, N.D. Gas Flow in Microchannels and Nanochannels With Variable Cross Section for All Knudsen and All Mach Number Values. J. Fluids Eng. 2020, 143. [Google Scholar] [CrossRef]
- Ohwada, T.; Sone, Y.; Aoki, K. Numerical analysis of the Poiseuille and thermal transpiration flows between two parallel plates on the basis of the Boltzmann equation for hard-sphere molecules. Phys. Fluids A Fluid Dyn. 1989, 1, 2042–2049. [Google Scholar] [CrossRef]
- John, B.; Gu, X.J.; Emerson, D.R. Nonequilibrium gaseous heat transfer in pressure-driven plane Poiseuille flow. Phys. Rev. E 2013, 88. [Google Scholar] [CrossRef]
- Ebrahimi, A.; Roohi, E. Flow and Thermal Fields Investigation in Divergent Micro/Nano Channels. J. Therm. Eng. 2016, 2, 709–714. [Google Scholar] [CrossRef]
- Ebrahimi, A.; Roohi, E. DSMC investigation of rarefied gas flow through diverging micro- and nanochannels. Microfluid. Nanofluid. 2017, 21. [Google Scholar] [CrossRef]
- Guerrieri, D.C.; Cervone, A.; Gill, E. Analysis of Nonisothermal Rarefied Gas Flow in Diverging Microchannels for Low-Pressure Microresistojets. J. Heat Transf. 2016, 138, 112403. [Google Scholar] [CrossRef]
- Kannan, A.S.; Narahari, T.S.B.; Bharadhwaj, Y.; Mark, A.; Sardina, G.; Maggiolo, D.; Sasic, S.; Ström, H. The Knudsen Paradox in Micro-Channel Poiseuille Flows with a Symmetric Particle. Appl. Sci. 2020, 11, 351. [Google Scholar] [CrossRef]
- Taassob, A.; Kamali, R.; Bordbar, A. Investigation of rarefied gas flow through bended microchannels. Vacuum 2018, 151, 197–204. [Google Scholar] [CrossRef]
- Shah, N.; Agrawal, A.; Bhandarkar, U. 3D study of temperature drop behavior of subsonic rarefied gas flow in microchannel. Numer. Heat Transf. Part A Appl. 2018, 73, 654–665. [Google Scholar] [CrossRef]
- Balaj, M.; Roohi, E.; Mohammadzadeh, A. Regulation of anti-Fourier heat transfer for non-equilibrium gas flows through micro/nanochannels. Int. J. Therm. Sci. 2017, 118, 24–39. [Google Scholar] [CrossRef]
- Gavasane, A.; Agrawal, A.; Pradeep, A.M.; Bhandarkar, U. Simulation of a temperature drop for the flow of rarefied gases in microchannels. Numer. Heat Transf. Part A Appl. 2017, 71, 1066–1079. [Google Scholar] [CrossRef]
- Hong, C.; Yamamoto, T.; Asako, Y.; Suzuki, K. Heat Transfer Characteristics of Compressible Laminar Flow Through Microtubes. J. Heat Transf. 2012, 134, 011602. [Google Scholar] [CrossRef]
- Roohi, E.; Darbandi, M.; Mirjalili, V. Direct Simulation Monte Carlo Solution of Subsonic Flow Through Micro/Nanoscale Channels. J. Heat Transf. 2009, 131, 092402. [Google Scholar] [CrossRef]
- Hong, C.; Asako, Y. Heat Transfer Characteristics of Gaseous Flows in a Microchannel and a Microtube with Constant Wall Temperature. Numer. Heat Transf. Part A Appl. 2007, 52, 219–238. [Google Scholar] [CrossRef]
- Zhen, C.E.; Hong, Z.C.; Lin, Y.J.; Hong, N.T. Comparison of 3-D and 2-D DSMC Heat Transfer Calculations of Low-Speed Short Microchannel Flows. Numer. Heat Transf. Part A Appl. 2007, 52, 239–250. [Google Scholar] [CrossRef]
- Acharya, T.; Falgoust, J.; Schoegl, I.; Martin, M.J. Measurement of Variation of Momentum Accommodation Coefficients with Molecular Mass and Structure. J. Thermophys. Heat Transf. 2019, 33, 773–778. [Google Scholar] [CrossRef]
- Graur, I.A.; Perrier, P.; Ghozlani, W.; Méolans, J.G. Measurements of tangential momentum accommodation coefficient for various gases in plane microchannel. Phys. Fluids 2009, 21, 102004. [Google Scholar] [CrossRef]
- White, C.; Borg, M.; Scanlon, T.; Longshaw, S.; John, B.; Emerson, D.; Reese, J. dsmcFoam+: An OpenFOAM based direct simulation Monte Carlo solver. Comput. Phys. Commun. 2018, 224, 22–43. [Google Scholar] [CrossRef]
- Scanlon, T.J.; White, C.; Borg, M.K.; Palharini, R.C.; Farbar, E.; Boyd, I.D.; Reese, J.M.; Brown, R.E. Open-Source Direct Simulation Monte Carlo Chemistry Modeling for Hypersonic Flows. AIAA J. 2015, 53, 1670–1680. [Google Scholar] [CrossRef]
- Palharini, R.C.; White, C.; Scanlon, T.J.; Brown, R.E.; Borg, M.K.; Reese, J.M. Benchmark numerical simulations of rarefied non-reacting gas flows using an open-source DSMC code. Comput. Fluids 2015, 120, 140–157. [Google Scholar] [CrossRef]
- Su, C.; Tseng, K.; Cave, H.; Wu, J.; Lian, Y.; Kuo, T.; Jermy, M. Implementation of a transient adaptive sub-cell module for the parallel-DSMC code using unstructured grids. Comput. Fluids 2010, 39, 1136–1145. [Google Scholar] [CrossRef]
- Oran, E.; Oh, C.; Cybyk, B. DIRECT SIMULATION MONTE CARLO: Recent Advances and Applications. Annu. Rev. Fluid Mech. 1998, 30, 403–441. [Google Scholar] [CrossRef]
- Alexander, F.J.; Garcia, A.L.; Alder, B.J. Cell size dependence of transport coefficients in stochastic particle algorithms. Phys. Fluids 1998, 10, 1540–1542. [Google Scholar] [CrossRef]
- Cai, C.; Boyd, I.D.; Fan, J.; Candler, G.V. Direct Simulation Methods for Low-Speed Microchannel Flows. J. Thermophys. Heat Transf. 2000, 14, 368–378. [Google Scholar] [CrossRef]
- Shen, C.; Fan, J.; Xie, C. Statistical simulation of rarefied gas flows in micro-channels. J. Comput. Phys. 2003, 189, 512–526. [Google Scholar] [CrossRef]
- Sun, Z.X.; Tang, Z.; He, Y.L.; Tao, W.Q. Proper cell dimension and number of particles per cell for DSMC. Comput. Fluids 2011, 50, 1–9. [Google Scholar] [CrossRef]
- Shu, C.; Mao, X.; Chew, Y. Particle number per cell and scaling factor effect on accuracy of DSMC simulation of micro flows. Int. J. Numer. Methods Heat Fluid Flow 2005, 15, 827–841. [Google Scholar] [CrossRef]
- Radtke, G.A.; Hadjiconstantinou, N.G.; Wagner, W. Low-noise Monte Carlo simulation of the variable hard sphere gas. Phys. Fluids 2011, 23, 030606. [Google Scholar] [CrossRef]
- Hadjiconstantinou, N.G.; Garcia, A.L.; Bazant, M.Z.; He, G. Statistical error in particle simulations of hydrodynamic phenomena. J. Comput. Phys. 2003, 187, 274–297. [Google Scholar] [CrossRef]
- White, C.; Borg, M.K.; Scanlon, T.J.; Reese, J.M. A DSMC investigation of gas flows in micro-channels with bends. Comput. Fluids 2013, 71, 261–271. [Google Scholar] [CrossRef]
- Hadjiconstantinou, N.G.; Simek, O. Constant-Wall-Temperature Nusselt Number in Micro and Nano-Channels. J. Heat Transf. 2001, 124, 356–364. [Google Scholar] [CrossRef]
- Sone, Y. (Ed.) Molecular Gas Dynamics; Birkhäuser: Boston, MA, USA, 2007. [Google Scholar] [CrossRef]
- Gu, X.; Barber, R.; Emerson, D. How Far Can 13 Moments Go in Modeling Microscale Gas Phenomena? Nanoscale Microscale Thermophys. Eng. 2007, 11, 85–97. [Google Scholar] [CrossRef]
- Mahdavi, A.M.; Roohi, E. Investigation of cold-to-hot transfer and thermal separation zone through nano step geometries. Phys. Fluids 2015, 27, 072002. [Google Scholar] [CrossRef]
- Cercignani, C.; Lampis, M.; Lorenzani, S. Variational approach to gas flows in microchannels. Phys. Fluids 2004, 16, 3426–3437. [Google Scholar] [CrossRef]











| (m) | (kg) | (−) | (−) | (K) | (N s m) |
|---|---|---|---|---|---|
| 2 | 300 |
Publisher’s Note: MDPI stays neutral with regard to jurisdictional claims in published maps and institutional affiliations. |
© 2021 by the authors. Licensee MDPI, Basel, Switzerland. This article is an open access article distributed under the terms and conditions of the Creative Commons Attribution (CC BY) license (https://creativecommons.org/licenses/by/4.0/).
Share and Cite
Ebrahimi, A.; Shahabi, V.; Roohi, E. Pressure-Driven Nitrogen Flow in Divergent Microchannels with Isothermal Walls. Appl. Sci. 2021, 11, 3602. https://doi.org/10.3390/app11083602
Ebrahimi A, Shahabi V, Roohi E. Pressure-Driven Nitrogen Flow in Divergent Microchannels with Isothermal Walls. Applied Sciences. 2021; 11(8):3602. https://doi.org/10.3390/app11083602
Chicago/Turabian StyleEbrahimi, Amin, Vahid Shahabi, and Ehsan Roohi. 2021. "Pressure-Driven Nitrogen Flow in Divergent Microchannels with Isothermal Walls" Applied Sciences 11, no. 8: 3602. https://doi.org/10.3390/app11083602
APA StyleEbrahimi, A., Shahabi, V., & Roohi, E. (2021). Pressure-Driven Nitrogen Flow in Divergent Microchannels with Isothermal Walls. Applied Sciences, 11(8), 3602. https://doi.org/10.3390/app11083602

