The Role of Maintenance Operator in Industrial Manufacturing Systems: Research Topics and Trends
Abstract
1. Introduction
2. Methods
2.1. Systematic Literature Review
- EX-1: Articles did not address any human aspect in maintenance;
- EX-2: Articles in which maintenance is a secondary aspect compared to the main purpose of the article;
- EX-3: Articles in which the role of maintenance operator is a secondary aspect compared to the main goal of the article;
- EX-4: Articles only focused on the development of new technologies supporting the maintenance operator.
2.2. Topic Modelling Approach
- β1:K are the topics, where each βk is a distribution over the vocabulary;
- θd are the topic proportions for the dth document where θd,k is the topic proportion for topic k in document d;
- zd are the topic assignments for the dth document, where zd,n is the topic assignment for the nth word in document d;
- wd are the observed words for document d, where wd,n is the nth word in document d, which is an element from the fixed vocabulary.
- The text mining phase that involved the extraction and collection of titles, keywords, and abstracts of selected papers in the previous step.
- The result of text mining was a document matrix, whose dimensions are the selected papers and the extracted text. Document matrix was uploaded in Matlab® for subsequent analysis steps: preparation of text; creation of a “Bag of Words”; application of LDA through the fitLDA function.
- The application of LDA allowed us to discover and identify the topics in the selected papers and depict them by word clouds.
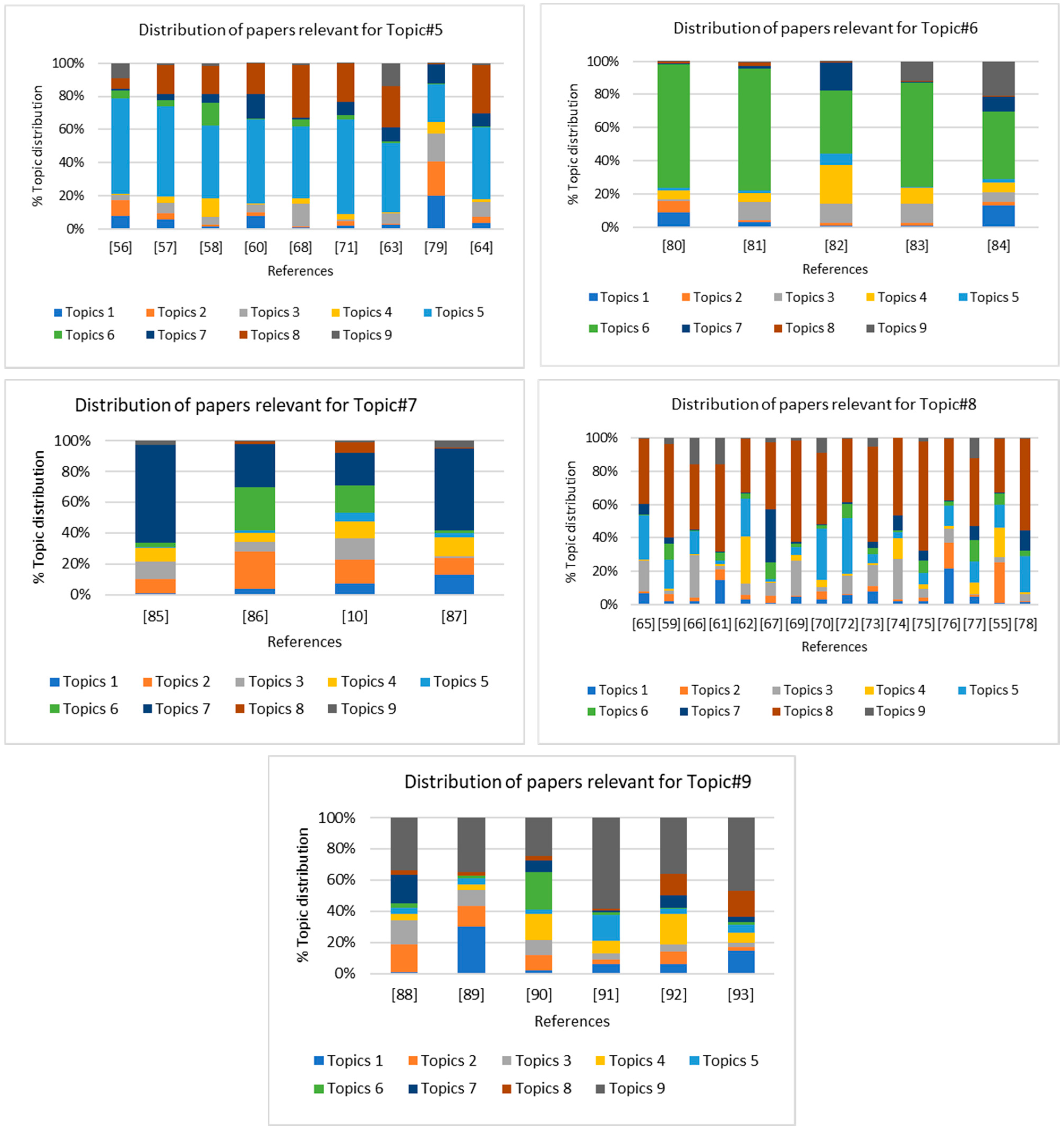
- Topic Prediction Scores for each document were quantified achieving the percentage of topic distributions in each paper and a 2D structure can be achieved (Papers and Topic Prediction Scores)
- Topic distributions were then aggregated to perform Topic content analysis and define the research trends on the role of the operator in industrial maintenance.
3. Results
3.1. SLR Results
3.2. Topic Modelling Approach Results
- Topic 1: grouped all the papers addressing the topic of human error in industrial maintenance.
- Topic 2: focuses on the papers addressing the Human Reliability Analysis (HRA).
- Topic 3: includes some general words that are frequently used in academic writing, such as: “model”, “case”, “tool”, “system”, etc. It is mostly related to several aspects of the “factors” influencing the effectiveness of the maintenance system (response time, workload, workforce). This topic aggregates papers that provided models and tools developed for measuring and improving human maintenance performance.
- Topic 4: grouped all the papers focused on workplace design and human resources management (approaches for scheduling and planning) in maintenance activities.
- Topic 5: includes all the articles highlighting the importance of virtual training (VR) technology in the maintenance system.
- Topic 6: encompasses the articles addressing the issues related to skills and competences affecting maintenance personnel performance.
- Topic 7: focuses on the articles developed in the field of the aviation sector, one of the most explored in the field of human resources in maintenance.
- Topic 8: includes all the papers dealing with Augmented Reality (AR) technology supporting the maintenance operators.
- Topic 9: Heterogeneous topic including both papers addressing technologies’ effects on operators’ performance and approaches for improving operators’ knowledge.
4. Paper Content Analysis
4.1. Topic 1 and Topic 2: Human Error and Human Reliability in Industrial Maintenance
4.2. Topic 3: Measuring and Improving Maintenance Operator Performance
4.3. Topic 4: Workplace Design and Human Resource Management
4.4. Topic 5 and Topic 8: Virtual and Augmented Reality in Maintenance
4.5. Topic 6: Assessing Skills and Competencies of Maintenance Operator
4.6. Topic 7: Human Resource Management in Maintenance of Aviation Systems
4.7. Topic 9: Miscellaneous
4.8. Relationships among Topics
5. Discussions and Research Trends
- TREND 1: Human reliability in maintenance activities;
- TREND 2: Maintenance management strategies;
- TREND 3: Supporting technologies for maintenance tasks.
6. Research Agenda
7. Conclusions
Author Contributions
Funding
Conflicts of Interest
References
- Al-Najjar, B.; Alsyouf, I. Selecting the most efficient maintenance approach using fuzzy multiple criteria decision making. Int. J. Prod. Econ. 2003, 84, 85–100. [Google Scholar] [CrossRef]
- Lu, B.; Zhou, X. Quality and reliability oriented maintenance for multistage manufacturing systems subject to condition monitor-ing. J. Manuf. Syst. 2019, 52, 76–85. [Google Scholar] [CrossRef]
- Franciosi, C.; Lambiase, A.; Miranda, S. Sustainable Maintenance: A Periodic Preventive Maintenance Model with Sustainable Spare Parts Management. IFAC-PapersOnLine 2017, 50, 13692–13697. [Google Scholar] [CrossRef]
- Franciosi, C.; Iung, B.; Miranda, S.; Riemma, S. Maintenance for sustainability in the industry 4.0 context: A scoping literature review. IFAC-PapersOnLine 2018, 51, 903–908. [Google Scholar] [CrossRef]
- Ruschel, E.; Santos, E.A.P.; Loures, E.D.F.R. Industrial maintenance decision-making: A systematic literature review. J. Manuf. Syst. 2017, 45, 180–194. [Google Scholar] [CrossRef]
- Di Pasquale, V.; Miranda, S.; Neumann, W.P.; Setayesh, A. Human reliability in manual assembly systems: A Systematic Literature Review. IFAC-PapersOnLine 2018, 51, 675–680. [Google Scholar] [CrossRef]
- Di Pasquale, V.; Miranda, S.; Iannone, R.; Riemma, S. A Simulator for Human Error Probability Analysis (SHERPA). Reliab. Eng. Syst. Saf. 2015, 139, 17–32. [Google Scholar] [CrossRef]
- Di Pasquale, V.; Franciosi, C.; Iannone, R.; Malfettone, I.; Miranda, S. Human error in industrial maintenance: A systematic literature review. In Proceedings of the Summer School Francesco Turco, Palermo, Italy, 13–15 September 2017. [Google Scholar]
- Sheikhalishahi, A.; Pintelon, M.; Azadeh, L. Human Factors in Maintenance: A review List of abbreviations. J. Qual. Maint. Eng. 2016, 22, 218–237. [Google Scholar] [CrossRef]
- Shanmugam, A.; Robert, T.P. Human factors engineering in aircraft maintenance: A review. J. Qual. Maint. Eng. 2015, 21, 478–505. [Google Scholar] [CrossRef]
- Di Pasquale, V.; Nenni, M.E.; Riemma, S. Order allocation in purchasing management: A review of state-of-the-art studies from a supply chain perspective. Int. J. Prod. Res. 2020, 58, 4741–4766. [Google Scholar] [CrossRef]
- Franciosi, C.; Voisin, A.; Miranda, S.; Riemma, S.; Iung, B. Measuring maintenance impacts on sustainability of manufacturing industries: From a systematic literature review to a framework proposal. J. Clean. Prod. 2020, 260, 121065. [Google Scholar] [CrossRef]
- Blei, D.M.; Carin, L.; Dunson, D.B. Probabilistic Topic Models. IEEE Signal Process. Mag. 2010, 27, 55–65. [Google Scholar] [CrossRef] [PubMed]
- Zhang, Y.; Wei, H.; Ran, Y.; Deng, Y.; Liu, D. Drawing openness to experience from user generated contents: An interpretable da-ta-driven topic modeling approach. Expert Syst. Appl. 2020, 144, 113073. [Google Scholar] [CrossRef]
- Campbell, J.C.; Hindle, A.; Stroulia, E. Latent Dirichlet Allocation: Extracting Topics from Software Engineering Data. Art Sci. Anal. Softw. Data 2015, 3, 139–159. [Google Scholar]
- Szwarcman, D.M.; Domech, J.; Tanscheit, R.; Vellasco, M.; Pacheco, M.; Ribeiro, N.P. A fuzzy system for the assessment of human reliability. In Proceedings of the International Fuzzy Systems Association World Congress and European Society for Fuzzy Logic and Technology Conference, IFSA-EUSFLAT 2009, Lisbon, Portugal, 20–24 July 2009. [Google Scholar]
- McLeod, J.E.N.; Rivera, S.S. Human error on the risk reduction actions during the NPP maintenance. In Lecture Notes in Engineering and Computer Science; Springer: Berlin/Heidelberg, Germany, 2013. [Google Scholar]
- Ratnayake, R.C. Sustainable performance of industrial assets: The role of PAS 55-1&2 and human factors. Int. J. Sustain. Eng. 2013, 6, 198–211. [Google Scholar]
- Noroozi, A.; Khan, F.; Mackinnon, S.; Amyotte, P.; Deacon, T. Determination of human error probabilities in maintenance proce-dures of a pump. Process Saf. Environ. Prot. 2014, 92, 131–141. [Google Scholar] [CrossRef]
- Dhillon, B.S. Human error in maintenance: An investigative study for the factories of the future. In IOP Conference Series: Materials Science and Engineering; IOP Publishing Ltd.: Bristol, UK, 2014; Volume 65. [Google Scholar]
- Au-Yong, C.P.; Ali, A.S.; Ahmad, F. Optimising maintenance cost performance with skilled technicians. Struct. Surv. 2014, 32, 238–245. [Google Scholar] [CrossRef]
- Lombardi, M.; Guarascio, M.; Rossi, G. The management of uncertainty: Model for evaluation of human error probability in railway system. Am. J. Appl. Sci. 2013, 11, 381–390. [Google Scholar] [CrossRef]
- Zhou, X.; Zhou, D.; Guo, Z.; Zhang, W. A cognitive reliability assessment method for aviationmaintenance error. In Proceedings of the First International Conference on Reliability Systems Engineering (ICRSE), Beijing, China, 21–23 October 2015. [Google Scholar]
- Singh, S.; Kumar, R. Evaluation of Human Error Probability of Disc Brake Unit Assembly and Wheel Set Maintenance of Railway Bogie. Procedia Manuf. 2015, 3, 3041–3048. [Google Scholar] [CrossRef]
- Feroz, K.M.; Yanjun, L. Maintenance Performance Decision Aid. In Proceedings of the First International Conference on Reliability Systems Engineering (ICRSE), Beijing, China, 21–23 October 2015. [Google Scholar]
- Hameed, A.; Khan, F.; Ahmed, S. A risk-based shutdown inspection and maintenance interval estimation considering human error. Process. Saf. Environ. Prot. 2016, 100, 9–21. [Google Scholar] [CrossRef]
- Mkilania, J.N. Factors related to human resources affecting the maintenance effectiveness in Tanzanian industries. Int. J. Mech. Eng. Technol. 2016, 7, 150–160. [Google Scholar]
- Aalipour, M.; Ayele, Y.Z.; Barabadi, A. Human reliability assessment (HRA) in maintenance of production process: A case study. Int. J. Syst. Assur. Eng. Manag. 2016, 7, 229–238. [Google Scholar] [CrossRef]
- Papic, L.; Kovacevic, S.; Galar, D.; Thaduri, A. Investigation of Causes of Mining Machines Maintenance Problems. In Lecture Notes in Engineering and Computer Science; Springer: Berlin/Heidelberg, Germany, 2016. [Google Scholar]
- Ngadiman, Y.; Hussin, B.; Hamid, N.A.A.; Ramlan, R.; Boon, L.K. Relationship between human errors in maintenance and overall equipment effectiveness in food industries. In Proceedings of the International Conference on Industrial Engineering and Operations Management, Kuala Lumpur, Malaysia, 8–10 March 2016. [Google Scholar]
- Antonovsky, A.; Pollock, C.; Straker, L. System reliability as perceived by maintenance personnel on petroleum production facil-ities. Reliab. Eng. Syst. Saf. 2016, 152, 58–65. [Google Scholar] [CrossRef]
- Kovacevic, S.; Papic, L.; Janackovic, G.; Savic, S. The analysis of human error as causes in the maintenance of machines: A case study in mining companies. South Afr. J. Ind. Eng. 2016, 27, 193–202. [Google Scholar] [CrossRef]
- Allal, A.A.; Mansouri, K.; Qbadou, M.; Youssfi, M. Task human reliability analysis for a safe operation of autonomous ship. In Proceedings of the 2nd International Conference on System Reliability and Safety (ICSRS), Milan, Italy, 20–22 December 2017. [Google Scholar]
- Zhao, Z.; Yan, X.; Xiao, B.; Sun, X. Selective Maintenance Modeling for a Multi-State System Considering Human Reliability. In Proceedings of the 3rd International Conference on System Reliability and Safety (ICSRS), Barcelona, Spain, 24–26 November 2018. [Google Scholar]
- Padil, H.; Said, M.N.; Azizan, A. The contributions of human factors on human error in Malaysia aviation maintenance industries. In IOP Conference Series: Materials Science and Engineering; IOP Publishing: Bristol, UK, 2018. [Google Scholar]
- Franciosi, C.; Di Pasquale, V.; Iannone, R.; Miranda, S. A taxonomy of performance shaping factors for human reliability analysis in industrial maintenance. J. Ind. Eng. Manag. 2019, 12, 115. [Google Scholar] [CrossRef]
- Patil, R.B. Integrated reliability and maintainability analysis of Computerized Numerical Control Turning Center considering the ef-fects of human and organizational factors. J. Qual. Maint. Eng. 2019. [Google Scholar] [CrossRef]
- Di Pasquale, V.; Fruggiero, F.; Iannone, R.; Miranda, S. A model for break scheduling assessment in manufacturing systems. Comput. Ind. Eng. 2017, 111, 563–580. [Google Scholar] [CrossRef]
- Di Pasquale, S.; Miranda, V.; Iannone, S.; Riemma, R. Simulative analysis of performance shaping factors impact on human reli-ability in manufacturing activities. In Proceedings of the 27th European Modeling and Simulation Symposium, Bergeggi, Italy, 21–23 September 2015; p. 93. [Google Scholar]
- Razak, I.H.A.; Kamaruddin, S.; Azid, I.A. Development of Human Reliability Model for Evaluating Maintenance Workforce Reliability: A Case Study in Electronic Packaging Industry. In Proceedings of the IEEE/CPMT International Electronics Manufacturing Technology (IEMT) Symposium, Penang, Malaysia, 4–6 November 2008. [Google Scholar]
- Liang, G.-F.; Lin, J.-T.; Hwang, S.-L.; Huang, F.-H.; Yenn, T.-C.; Hsu, C.-C. Evaluation and prediction of on-line maintenance workload in nuclear power plants. Hum. Factors Ergon. Manuf. 2009, 19, 64–77. [Google Scholar] [CrossRef]
- Galar, D.; Stenstrom, C.; Parida, A.; Kumar, R.; Berges, L. Human factor in maintenance performance measurement. In Proceedings of the IEEE International Conference on Industrial Engineering and Engineering Management, Singapore, 6–9 December 2011. [Google Scholar]
- Razak, I.H.A.; Kamaruddin, S.; Azid, I.A. Workforce competency model (WFCM): An empirical study in Malaysia of a model for maintenance workforce performance evaluation. Int. J. Product. Perform. Manag. 2011. [Google Scholar]
- Wong, T.T.; Tong, S. An airworthiness SHELL model for aircraft maintenance. In Proceedings of the IEEE International Conference on Industrial Engineering and Engineering Management, Hong Kong, China, 10–13 December 2012. [Google Scholar]
- Ab Samat, H.; Khoe, P.G.; Liau, W.S.; Tan, H.F.; Yap, W.Y.; Kamaruddin, S. Reduction of response time during machine breakdown: A case study in semiconductor industry. Int. J. Logist. Syst. Manag. 2013, 16, 167. [Google Scholar] [CrossRef]
- Ighravwe, D.; Oke, S. A non-zero integer non-linear programming model for maintenance workforce sizing. Int. J. Prod. Econ. 2014, 150, 204–214. [Google Scholar] [CrossRef]
- Marmier, F.; Varnier, C.; Zerhouni, N. Maintenance Activities Scheduling Under Competencies Constraints. In Proceedings of the International Conference on Service Systems and Service Management, ICSSSM ’06, Troyes, France, 25–27 October 2006. [Google Scholar]
- Sheikhalishahi, M.; Azadeh, A.; Pintelon, L.; Chemweno, P.; Ghaderi, S.F. Maintenance Scheduling Optimization in a Multiple Production Line Considering Human Error. Hum. Factors Ergon. Manuf. 2016, 26, 655–666. [Google Scholar] [CrossRef]
- Sheikhalishahi, M.; Azadeh, A.; Pintelon, L. Dynamic maintenance planning approach by considering grouping strategy and human factors. Process. Saf. Environ. Prot. 2017, 107, 289–298. [Google Scholar] [CrossRef]
- Bouzidi-Hassini, S.; Benbouzid-Sitayeb, F. Multi-agent based joint production and maintenance scheduling considering human resources. In Proceedings of the 5th International Conference on Modeling, Simulation and Applied Optimization (ICMSAO), Hammamet, Tunisia, 28–30 April 2013. [Google Scholar]
- Touat, M.; Tayeb, F.B.-S.; Benhamou, B. An effective heuristic for the single-machine scheduling problem with flexible mainte-nance under human resource constraints. Procedia Comput. Sci. 2018, 126, 1395–1404. [Google Scholar] [CrossRef]
- Blanco, A.; Díez, J.A.; López, D.; García, J.V.; Catalán, J.M.; García-Aracil, N. Human-centered design of an upper-limb exoskeleton for tedious maintenance tasks. Biosyst. Biorobot. 2019. [Google Scholar]
- Bernard, F.; Zare, M.; Sagot, J.-C.; Paquin, R. Integration of human factors into the design process of helicopter maintainability. Hum. Factors Ergon. Manuf. 2019, 29, 350–360. [Google Scholar] [CrossRef]
- Sheikhalishahi, M.; Eskandari, N.; Mashayekhi, A.; Azadeh, A. Multi-objective open shop scheduling by considering human error and preventive maintenance. Appl. Math. Model. 2019, 67, 573–587. [Google Scholar] [CrossRef]
- Aromaa, S.; Väätänen, A.; Kaasinen, E.; Uimonen, M.; Siltanen, S. Human Factors and Ergonomics Evaluation of a Tablet Based Augmented Reality System in Maintenance Work. In ACM International Conference Proceeding Series; ACM: New York, NY, USA, 2018. [Google Scholar]
- Gerbaud, S.; Arnaldi, B. Scenario sharing in a collaborative virtual environment for training. In Proceedings of the ACM Symposium on Applied Computing—SAC ’08, Fortaleza, Ceará, Brazil, 16–20 March 2008; ACM: New York, NY, USA, 2008. [Google Scholar]
- Nappi, M.; Paolino, L.; Ricciardi, S.; Sebillo, M.; Vitiello, G. Advanced maintenance simulation by means of hand-based haptic in-terfaces. In Lecture Notes in Engineering and Computer Science; Including Subser. Lect. Notes Artif. Intell. Lect. Notes Bioinformatics; Springer: Berlin/Heidelberg, Germany, 2009. [Google Scholar]
- Ziegler, J.; Pfeffer, J.; Urbas, L. A mobile system for industrial maintenance support based on embodied interaction. In Proceedings of the Proceedings of the 5th International Conference on Tangible, Embedded, and Embodied Interaction, TEI ’11, Funchal, Madeira, Portugal, 23–26 January 2011. [Google Scholar]
- De Crescenzio, F.; Fantini, M.; Persiani, F.; Di Stefano, L.; Azzari, P.; Salti, S. Augmented Reality for Aircraft Maintenance Training and Operations Support. IEEE Eng. Med. Boil. Mag. 2010, 31, 96–101. [Google Scholar] [CrossRef]
- Gutiérrez, T.; Rodríguez, J.; Vélaz, Y.; Casado, S.; Suescun, A.; Sánchez, E.J. IMA-VR: A multimodal virtual training system for skills transfer in Industrial Maintenance and Assembly tasks. In Proceedings of the IEEE International Workshop on Robot and Human Interactive Communication, Viareggio, Italy, 13–15 September 2010. [Google Scholar]
- Gofuku, A.; Matsuura, I.; Sugihara, T. Experimental investigation of information type in plant operation manuals. In Proceedings of the IECON Industrial Electronics Conference, Vienna, Austria, 10–13 November 2013. [Google Scholar]
- Di Gironimo, G.; Mozzillo, R.; Tarallo, A. From virtual reality to web-based multimedia maintenance manuals. Int. J. Interact. Des. Manuf. 2013, 7, 183–190. [Google Scholar] [CrossRef]
- Schroeder, H.; Friedewald, A.; Kahlefendt, C.; Lödding, H. Virtual Reality for the Training of Operators in Industry 4.0. In Proceedings of the IFIP International Conference on Advances in Production Management Systems, Hamburg, Germany, 3–7 September 2017; Springer: Cham, Switzerland, 2017. [Google Scholar]
- Shamsuzzoha, A.; Toshev, R.; Tuan, V.V.; Kankaanpaa, T.; Helo, P. Digital factory—Virtual reality environments for industrial training and maintenance. Interact. Learn. Environ. 2019, 1–24. [Google Scholar] [CrossRef]
- Nikolic, V.; Elzer, P.F.; Vetter, C. A monitor-based AR system as a support tool for industrial maintenance. IFAC Proc. Vol. IFAC-PapersOnline 2006, 39, 902–907. [Google Scholar] [CrossRef]
- Álvarez, H.; Aguinaga, I.; Borro, D. Providing guidance for maintenance operations using automatic markerless augmented reality system. In Proceedings of the 10th IEEE International Symposium on Mixed and Augmented Reality, ISMAR 2011, Basel, Switzerland, 26–29 October 2011. [Google Scholar]
- Espíndola, D.B.; Pereira, C.E.; Schneider, E.L.; Ventura, R.; Henriques, R.V.B. Improving Maintenance Operations Through Application of Mixed Reality Systems. IFAC Proc. Vol. IFAC-PapersOnline 2013, 46, 11–16. [Google Scholar] [CrossRef]
- Ferrise, F.; Caruso, G.; Bordegoni, M. Multimodal training and tele-assistance systems for the maintenance of industrial products: This paper presents a multimodal and remote training system for improvement of maintenance quality in the case study of washing machine. Virtual Phys. Prototyp. 2013. [Google Scholar] [CrossRef]
- Re, G.M.; Bordegoni, M. An augmented reality framework for supporting and monitoring operators during maintenance tasks. In Lecture Notes in Engineering and Computer Science; Including Subser. Lect. Notes Artif. Intell. Lect. Notes Bioinformatics; Springer: Berlin/Heidelberg, Germany, 2014. [Google Scholar]
- Oliveira, A.; Caetano, N.; Botega, L.C.; de Araújo, R.B. A head-up display with augmented reality and Gamification for an E-maintenance system: Using interfaces and Gamification to motivate workers in procedural tasks. In Lecture Notes in Engineering and Computer Science; Including Subser. Lect. Notes Artif. Intell. Lect. Notes Bioinformatics; Springer: Berlin/Heidelberg, Germany, 2015. [Google Scholar]
- Borsci, S.; Lawson, G.; Jha, B.; Burges, M.; Salanitri, D. Effectiveness of a multidevice 3D virtual environment application to train car service maintenance procedures. Virtual Real. 2016, 20, 41–55. [Google Scholar] [CrossRef]
- Fiorentino, M.; Radkowski, R.; Boccaccio, A.; Uva, A.E. Magic mirror interface for augmented reality maintenance: An automotive case study. In Proceedings of the Workshop on Advanced Visual Interfaces AVI, Bari, Italy, 7–10 June 2016. [Google Scholar]
- Jayaweera, M.; Wijesooriya, I.; Wijewardana, D.; De Silva, T.; Gamage, C. Demo abstract: Enhanced real-time machine inspection with mobile augmented reality for maintenance and repair. In Proceedings of the IEEE/ACM 2nd International Conference on Internet of Things Design and Implementation, IoTDI 2017 (part of CPS Week), Pittsburgh, PA, USA, 18–21 April 2017. [Google Scholar]
- Mourtzis, D.; Vlachou, E.; Zogopoulos, V.; Fotini, X. Integrated Production and Maintenance Scheduling Through Machine Moni-toring and Augmented Reality: An Industry 4.0 Approach. IFIP Adv. Inf. Commun. Technol. 2017. [Google Scholar]
- Masoni, R.; Ferrise, F.; Bordegoni, M.; Gattullo, M.; Uva, A.E.; Fiorentino, M.; Carrabba, E.; Di Donato, M. Supporting Remote Maintenance in Industry 4.0 through Augmented Reality. Procedia Manuf. 2017, 11, 1296–1302. [Google Scholar] [CrossRef]
- Momin, G.; Panchal, R.; Liu, D.; Perera, S. Case Study: Enhancing Human Reliability with Artificial Intelligence and Augmented Reality Tools for Nuclear Maintenance. In Proceedings of the ASME Power Conference, Lake Buena Vista, FL, USA, 24–28 June 2018; American Society of Mechanical Engineers: New York, NY, USA, 2018. [Google Scholar]
- Uva, A.E.; Gattullo, M.; Manghisi, V.M.; Spagnulo, D.; Cascella, G.L.; Fiorentino, M. Evaluating the effectiveness of spatial aug-mented reality in smart manufacturing: A solution for manual working stations. Int. J. Adv. Manuf. Technol. 2018. [Google Scholar] [CrossRef]
- Lorenz, M.; Knopp, S.; Klimant, P. Industrial Augmented Reality: Requirements for an Augmented Reality Maintenance Worker Support System. In Proceedings of the IEEE International Symposium on Mixed and Augmented Reality, ISMAR-Adjunct, Munich, Germany, 16–20 October 2018; IEEE: Piscatawy, NJ, USA, 2019. [Google Scholar]
- Zhao, F.; Liu, X.; Peng, R. Inspection-Based Policy Considering Human Errors for Three-Stage Delay Time Degradation Systems. J. Shanghai Jiaotong Univ. 2018, 23, 702–706. [Google Scholar] [CrossRef]
- Hsia, T.-C.; Chen, H.-T.; Chen, W.-H. Measuring the readability performance (RP) of aircraft maintenance technical orders by fuzzy MCDM method and RP index. Qual. Quant. 2008, 42, 795–807. [Google Scholar] [CrossRef]
- Wu, H.-Y.; Chen, J.-K.; Chen, I.-S. Performance evaluation of aircraft maintenance staff using a fuzzy MCDM approach. Int. J. Innov. Comput. Inf. Control 2012. [Google Scholar]
- Lahiani, N.; El Mhamedi, A.; Hani, Y.; Triki, A. A novel improving method of industrial performance based on human resources management. IFAC-PapersOnLine 2016, 49, 262–267. [Google Scholar] [CrossRef]
- Mahatmavidya, P.A.; Soesanto, R.P.; Kurniawati, A.; Andrawina, L. Characteristic and Competency Measurement Instrument Development for Maintenance Staff of Mechanical Expertise with SECI Method: A Case of Manufacturing Company. In IOP Conference Series: Materials Science and Engineering; IOP Publishing Ltd.: Bristol, UK, 2018; Volume 319. [Google Scholar]
- Sun, R.; Zhang, Y.; Liu, Z.; Li, K. Task-Load Evaluation Method for Maintenance Personnel Based on the JACK Simulation. In Lecture Notes in Engineering and Computer Science; Including Subser. Lect. Notes Artif. Intell. Lect. Notes Bioinformatics; Springer: Berlin/Heidelberg, Germany, 2018. [Google Scholar]
- Zhang, R.-Q.; Yang, J.-L. Association Rules Based Research on Man-Made Mistakes in Aviation Maintenance: A Case Study. In Proceedings of the ISDA 2006: Sixth International Conference on Intelligent Systems Design and Applications, Jinan, China, 16–18 October 2006. [Google Scholar]
- Wang, L.; Sun, R.; Yang, Z. Analysis and evaluation of human factors in aviation maintenance based on fuzzy and AHP method. In Proceedings of the IEEM 2009—IEEE International Conference on Industrial Engineering and Engineering Management, Hong Kong, China, 8–11 December 2009. [Google Scholar]
- Emami-Mehrgani, B.; Neumann, W.P.; Nadeau, S.; Bazrafshan, M.; Neumann, P. Considering human error in optimizing production and corrective and preventive maintenance policies for manufacturing systems. Appl. Math. Model. 2016, 40, 2056–2074. [Google Scholar] [CrossRef]
- Cabahug, R.R.; Edwards, D.J.; Nicholas, J. Classifying plant operator maintenance proficiency: Examining personal variables. Build. Res. Inf. 2004, 32, 119–127. [Google Scholar] [CrossRef]
- Heo, G.; Park, J. A framework for evaluating the effects of maintenance-related human errors in nuclear power plants. Reliab. Eng. Syst. Saf. 2010, 95, 797–805. [Google Scholar] [CrossRef]
- Bohlouli, M.; Ansari, F.; Fathi, M. Design and realization of competence profiling tool for effective selection of professionals in maintenance management. In Proceedings of the IEEE International Conference on Systems, Man, and Cybernetics (SMC), Seoul, Korea, 14–17 October 2012. [Google Scholar]
- Schmuntzsch, U.; Feldhaus, L.H. The Warning Glove: Wearable Computing Technology for Maintenance Assistance in IPS2. IFAC Proc. Vol. IFAC-PapersOnline 2013, 46, 70–75. [Google Scholar] [CrossRef]
- Oliveira, A.; Araujo, R.; Jardine, A. Human-centered interfaces for situation awareness in maintenance. In Lecture Notes in Engineering and Computer Science; Including Subser. Lect. Notes Artif. Intell. Lect. Notes Bioinformatics; Springer: Berlin/Heidelberg, Germany, 2014. [Google Scholar]
- Zheng, X.S.; Foucault, C.; Da Silva, P.M.; Dasari, S.; Yang, T.; Goose, S. Eye-wearable technology for machine maintenance: Effects of display position and hands-free operation. In Proceedings of the Conference on Human Factors in Computing Systems, Seoul, Korea, 18–23 April 2015. [Google Scholar]
- Guest, D.E. Human resource management and performance: A review and research agenda. Int. J. Hum. Resour. Manag. 1997, 8, 263–276. [Google Scholar] [CrossRef]
- Muñoz, J.; Mahiques, A.; Solanes, X.; Martí, J.E.; Gracia, A.; Tornero, L. Mixed reality-based user interface for quality control inspection of car body surfaces. J. Manuf. Syst. 2019, 53, 75–92. [Google Scholar] [CrossRef]
- Ruppert, T.; Jaskó, S.; Holczinger, T.; Abonyi, J. Enabling technologies for operator 4.0: A survey. Appl. Sci. 2018, 8, 1650. [Google Scholar] [CrossRef]
- Romero, D.; Noran, O.; Stahre, J.; Bernus, P.; Fast-Berglund, Å. Towards a Human-Centred Reference Architecture for Next Generation Balanced Automation Systems: Human-Automation Symbiosis BT. In Proceedings of the IFIP International Conference on Advances in Production Management Systems, Iguassu Falls, Brazil, 3–7 September 2015; pp. 556–566. [Google Scholar]
- Longo, F.; Nicoletti, L.; Padovano, A. Smart operators in industry 4.0: A human-centered approach to enhance operators’ capabilities and competencies within the new smart factory context. Comput. Ind. Eng. 2017, 113, 144–159. [Google Scholar] [CrossRef]
- Zolotová, J.; Papcun, I.; Kajáti, P.; Miškuf, E.; Mocnej, M. Smart and cognitive solutions for operator 4.0: Laboratory H-CPPS case studies. Comput. Ind. Eng. 2018, 139, 105471. [Google Scholar] [CrossRef]











| A | B | C |
|---|---|---|
| OPERATOR | MAINTENANCE | INDUSTR* |
| WORKER | MANUFACTURING | |
| HUMAN | PRODUCTION | |
| MAINTAINER |
| Contribution | #Paper |
| C1. Framework | 10 |
| C2. Methodology/model/method | 30 |
| C3. Other type of contribution | 17 |
| C4. State of art | 4 |
| C5. Tool | 18 |
| Total | 79 |
| Research Method | #Paper |
| R1. Case Study | 49 |
| R2. Experimental Research | 17 |
| R3. Literature Review/Theoretical research | 8 |
| R4. Other type of research method | 5 |
| Total | 79 |
Publisher’s Note: MDPI stays neutral with regard to jurisdictional claims in published maps and institutional affiliations. |
© 2021 by the authors. Licensee MDPI, Basel, Switzerland. This article is an open access article distributed under the terms and conditions of the Creative Commons Attribution (CC BY) license (https://creativecommons.org/licenses/by/4.0/).
Share and Cite
Tortora, A.M.R.; Di Pasquale, V.; Franciosi, C.; Miranda, S.; Iannone, R. The Role of Maintenance Operator in Industrial Manufacturing Systems: Research Topics and Trends. Appl. Sci. 2021, 11, 3193. https://doi.org/10.3390/app11073193
Tortora AMR, Di Pasquale V, Franciosi C, Miranda S, Iannone R. The Role of Maintenance Operator in Industrial Manufacturing Systems: Research Topics and Trends. Applied Sciences. 2021; 11(7):3193. https://doi.org/10.3390/app11073193
Chicago/Turabian StyleTortora, Alessia M. R., Valentina Di Pasquale, Chiara Franciosi, Salvatore Miranda, and Raffaele Iannone. 2021. "The Role of Maintenance Operator in Industrial Manufacturing Systems: Research Topics and Trends" Applied Sciences 11, no. 7: 3193. https://doi.org/10.3390/app11073193
APA StyleTortora, A. M. R., Di Pasquale, V., Franciosi, C., Miranda, S., & Iannone, R. (2021). The Role of Maintenance Operator in Industrial Manufacturing Systems: Research Topics and Trends. Applied Sciences, 11(7), 3193. https://doi.org/10.3390/app11073193

