Assistance of a Person with Muscular Weakness Using a Joint-Torque-Assisting Exoskeletal Robot
Abstract
1. Introduction
- integration of torque-mode actuators and a wearable robot,
- development of a real-time gait detection algorithm with simplified gait phases,
- generating a patient-customized assistive torque and control algorithm, and
- validation of the effect of walking assistance using the proposed wearable robot through a case study.
2. Angel Legs: A Powered Exoskeleton with Torque-Mode Actuators
2.1. Power-Pack System
2.2. Actuation System of Angel Legs
2.3. Torque Control Algorithm
3. Real-Time Gait Detection Method
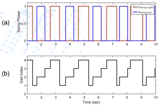
3.1. Classification of Gait Phases
- Gait index 1: Double limb support with the right leg forwarded (DS1)
- Gait index 2: Single limb support of the right leg (left swing)
- Gait index 3: Double limb support with the left leg forwarded (DS2)
- Gait index 4: Single limb support of the left leg (right swing)
3.2. Gait Detection Algorithm
4. Joint Torque Assistance Control
4.1. Assistive Control
4.2. Design of an Assistive Joint-Torque Profile
5. Verification of Rehabilitation Effectiveness with a Case Study
5.1. Assistance with Parallel Bars
5.2. Assistance with a Wheeled Walker
5.3. Assistance with Forearm Crutches
5.4. Assistance with Increasing Knee Extension Assistance
6. Conclusions
Funding
Institutional Review Board Statement
Informed Consent Statement
Acknowledgments
Conflicts of Interest
References
- Zorowitz, R.D.; Gillard, P.J.; Brainin, M. Poststroke spasticity Sequelae and burden on stroke survivors and caregivers. Neurology 2013, 80, S45–S52. [Google Scholar] [CrossRef] [PubMed]
- Frank, J.S.; Patla, A.E. Balance and mobility challenges in older adults: Implications for preserving community mobility. Am. J. Prev. Med. 2003, 25, 157–163. [Google Scholar] [CrossRef]
- Hirvensalo, M.; Rantanen, T.; Heikkinen, E. Mobility difficulties and physical activity as predictors of mortality and loss of independence in the community-living older population. J. Am. Geriatr. Soc. 2000, 48, 493–498. [Google Scholar] [CrossRef]
- Bateni, H.; Maki, B.E. Assistive devices for balance and mobility: Benefits, demands, and adverse consequences. Arch. Phys. Med. Rehabil. 2005, 86, 134–145. [Google Scholar] [CrossRef] [PubMed]
- Chin, R.; Hsiao-Wecksler, E.T.; Loth, E.; Kogler, G.; Manwaring, S.D.; Tyson, S.N.; Shorter, K.A.; Gilmer, J.N. A pneumatic power harvesting ankle-foot orthosis to prevent foot-drop. J. Neuroeng. Rehabil. 2009, 6, 19. [Google Scholar] [CrossRef] [PubMed]
- Onose, G.; Cârdei, V.; Crăciunoiu, Ş.T.; Avramescu, V.; Opriş, I.; Lebedev, M.A.; Constantinescu, M.V. Mechatronic wearable exoskeletons for bionic bipedal standing and walking: A new synthetic approach. Front. Neurosci. 2016, 10, 343. [Google Scholar] [CrossRef]
- Lee, H.; Kim, W.; Han, J.; Han, C. The technical trend of the exoskeleton robot system for human power assistance. Int. J. Precis. Eng. Manuf. 2012, 13, 1491–1497. [Google Scholar] [CrossRef]
- Contreras-Vidal, J.L.; Bhagat, N.A.; Brantley, J.; Cruz-Garza, J.G.; He, Y.; Manley, Q.; Nakagome, S.; Nathan, K.; Tan, S.H.; Zhu, F.; et al. Powered exoskeletons for bipedal locomotion after spinal cord injury. J. Neural Eng. 2016, 13, 031001. [Google Scholar] [CrossRef]
- Holanda, L.J.; Silva, P.M.; Amorim, T.C.; Lacerda, M.O.; Simão, C.R.; Morya, E. Robotic assisted gait as a tool for rehabilitation of individuals with spinal cord injury: A systematic review. J. Neuroeng. Rehabil. 2017, 14, 126. [Google Scholar] [CrossRef]
- Louie, D.R.; Eng, J.J.; Lam, T. Gait speed using powered robotic exoskeletons after spinal cord injury: A systematic review and correlational study. J. Neuroeng. Rehabil. 2015, 12, 1–10. [Google Scholar] [CrossRef]
- Esquenazi, A.; Talaty, M.; Packel, A.; Saulino, M. The ReWalk powered exoskeleton to restore ambulatory function to individuals with thoracic-level motor-complete spinal cord injury. Am. J. Phys. Med. Rehabil. 2012, 91, 911–921. [Google Scholar] [CrossRef]
- Kolakowsky-Hayner, S.A.; Crew, J.; Moran, S.; Shah, A. Safety and feasibility of using the Ekso™ bionic exoskeleton to aid ambulation after spinal cord injury. J. Spine 2013, 4, 003. [Google Scholar]
- Quintero, H.; Farris, R.; Hartigan, C.; Clesson, I.; Goldfarb, M. A powered lower limb orthosis for providing legged mobility in paraplegic individuals. Top. Spinal Cord Inj. Rehabil. 2011, 17, 25–33. [Google Scholar] [CrossRef]
- Kilicarslan, A.; Prasad, S.; Grossman, R.G.; Contreras-Vidal, J.L. High accuracy decoding of user intentions using EEG to control a lower-body exoskeleton. In Proceedings of the IEEE 2013 35th Annual International Conference of the Engineering in Medicine and Biology Society (EMBC), Osaka, Japan, 3–7 July 2013; pp. 5606–5609. [Google Scholar]
- He, Y.; Eguren, D.; Azorín, J.M.; Grossman, R.G.; Luu, T.P.; Contreras-Vidal, J.L. Brain—Machine interfaces for controlling lower-limb powered robotic systems. J. Neural Eng. 2018, 15, 021004. [Google Scholar] [CrossRef]
- Simic, M.; Tariq, M.; Trivailo, P. EEG-Based BCI Control Schemes for Lower-Limb Assistive-Robots. Front. Hum. Neurosci. 2018, 12, 312. [Google Scholar]
- Suzuki, K.; Mito, G.; Kawamoto, H.; Hasegawa, Y.; Sankai, Y. Intention-based walking support for paraplegia patients with Robot Suit HAL. Adv. Robot. 2007, 21, 1441–1469. [Google Scholar] [CrossRef]
- Veneman, J.F. Exoskeletons supporting postural balance—The BALANCE project. In Replace, Repair, Restore, Relieve—Bridging Clinical and Engineering Solutions in Neurorehabilitation; Springer: Cham, Switzerland, 2014; pp. 203–208. [Google Scholar]
- Choi, H.; Na, B.; Kim, S.; Lee, J.; Kim, H.; Kim, D.; Cho, D.; Kim, J.; Shin, S.; Rha, D.W.; et al. Angel-suit: A modularized lower-limb wearable robot for assistance of people with partially impaired walking ability. In Proceedings of the IEEE 2019 Wearable Robotics Association Conference (WearRAcon), Scottsdale, AZ, USA, 26–28 March 2019; pp. 51–56. [Google Scholar]
- ReWalk ReStore. Available online: https://rewalk.com/restore/ (accessed on 27 March 2021).
- Oh, S.; Kong, K. High-precision robust force control of a series elastic actuator. IEEE/ASME Trans. Mechatron. 2017, 22, 71–80. [Google Scholar] [CrossRef]
- Lee, C.; Kwak, S.; Kwak, J.; Oh, S. Generalization of Series Elastic Actuator configurations and dynamic behavior comparison. Actuators 2017, 6, 26. [Google Scholar] [CrossRef]
- Dos Santos, W.M.; Caurin, G.A.; Siqueira, A.A. Design and control of an active knee orthosis driven by a rotary series elastic actuator. Control Eng. Pract. 2017, 58, 307–318. [Google Scholar] [CrossRef]
- Srivastava, S.; Kao, P.C.; Reisman, D.S.; Scholz, J.P.; Agrawal, S.K.; Higginson, J.S. Robotic assist-as-needed as an alternative to therapist-assisted gait rehabilitation. Int. J. Phys. Med. Rehabil. 2016, 4, 370. [Google Scholar] [CrossRef]
- Simonsen, E.B.; Cappelen, K.L.; Skorini, R.I.; Larsen, P.K.; Alkjær, T.; Dyhre-Poulsen, P. Explanations pertaining to the hip joint flexor moment during the stance phase of human walking. J. Appl. Biomech. 2012, 28, 542–550. [Google Scholar] [CrossRef] [PubMed]
- Alkjær, T.; Larsen, P.K.; Pedersen, G.; Nielsen, L.H.; Simonsen, E.B. Biomechanical analysis of rollator walking. Biomed. Eng. Online 2006, 5, 2. [Google Scholar] [CrossRef] [PubMed]
- Robinson, R.; Herzog, W.; Nigg, B. Use of force platform variables to quantify the effects of chiropractic manipulation on gait symmetry. J. Manip. Physiol. Ther. 1987, 10, 172–176. [Google Scholar]
- Waters, R.L.; Mulroy, S. The energy expenditure of normal and pathologic gait. Gait Posture 1999, 9, 207–231. [Google Scholar] [CrossRef]



















| Spec | Unit | Value |
|---|---|---|
| Dimension | W × D × H [mm] | |
| Weight | [kg] | 0.76 |
| Assistive torque | [Nm] | 14.2 (cont.), 35.5 (peak) |
| Maximum speed | [rpm] | 66.4 |
| Range of motion | [deg] | 170 |
| Left | Right | |
|---|---|---|
| Gait period (s) | 4.11 | 4.08 |
| Stance period (s) | 3.56 | 3.43 |
| Stance period (%GC) | 86.39 | 86.63 |
| Opposite foot contact (%GC) | 44.40 | 56.03 |
| Opposite foot off (%GC) | 27.95 | 42.33 |
| Range of hip motion (degree) | 58.44 (–19.62 38.82) | 49.21 (–16.47 32.73) |
| Range of knee motion (degree) | 46.91 (2.06 48.97) | 57.53 (1.89 59.42) |
| Without Assistance | Robot Assistance | |
|---|---|---|
| Oxygen cost (mL/kg/m) |
| Left | Right | |
|---|---|---|
| Gait period (s) | 2.04 | 1.94 |
| Stance period (s) | 1.56 | 1.50 |
| Stance period (%GC) | 76.47 | 77.32 |
| Opposite foot contact (%GC) | 50.49 | 46.91 |
| Opposite foot off (%GC) | 28.92 | 28.87 |
| Range of hip motion (degree) | 40.68 (–5.08 35.59) | 36.68 (–1.36 35.32) |
| Range of knee motion (degree) | 35.91 (21.34 57.24) | 45.77 (20.42 66.19) |
| Without Assistance | Robot Assistance | |
|---|---|---|
| Oxygen cost (mL/kg/m) |
| Without Robot Assistance | Robot Assistance Trial 1 | Robot Assistance Trial 2 | Robot Assistance Trial 3 | ||
|---|---|---|---|---|---|
| Gait cycle (s) | L | 2.75 | 2.28 | 2.10 | 1.93 |
| R | 2.74 | 2.27 | 2.11 | 1.93 | |
| First double support | L | 22.55 | 12.49 | 12.64 | 16.88 |
| (%Gait) | R | 29.56 | 24.13 | 23.46 | 18.58 |
| Single support | L | 26.55 | 34.18 | 34.45 | 34.30 |
| (%Gait) | R | 21.17 | 29.31 | 29.24 | 30.16 |
| Second double support | L | 34.91 | 24.13 | 23.49 | 18.96 |
| (%Gait) | R | 22.63 | 12.41 | 12.91 | 16.93 |
| Stance phase | L | 84.00 | 70.80 | 70.58 | 70.15 |
| (%Gait) | R | 73.36 | 65.87 | 65.61 | 65.68 |
| Maximum hip extension | L | 26.32 | –5.32 | –14.32 | –17.12 |
| (deg) | R | 41.58 | –2.08 | –12.06 | –17.91 |
Publisher’s Note: MDPI stays neutral with regard to jurisdictional claims in published maps and institutional affiliations. |
© 2021 by the author. Licensee MDPI, Basel, Switzerland. This article is an open access article distributed under the terms and conditions of the Creative Commons Attribution (CC BY) license (https://creativecommons.org/licenses/by/4.0/).
Share and Cite
Choi, H. Assistance of a Person with Muscular Weakness Using a Joint-Torque-Assisting Exoskeletal Robot. Appl. Sci. 2021, 11, 3114. https://doi.org/10.3390/app11073114
Choi H. Assistance of a Person with Muscular Weakness Using a Joint-Torque-Assisting Exoskeletal Robot. Applied Sciences. 2021; 11(7):3114. https://doi.org/10.3390/app11073114
Chicago/Turabian StyleChoi, Hyunjin. 2021. "Assistance of a Person with Muscular Weakness Using a Joint-Torque-Assisting Exoskeletal Robot" Applied Sciences 11, no. 7: 3114. https://doi.org/10.3390/app11073114
APA StyleChoi, H. (2021). Assistance of a Person with Muscular Weakness Using a Joint-Torque-Assisting Exoskeletal Robot. Applied Sciences, 11(7), 3114. https://doi.org/10.3390/app11073114

