Compensation for In-Phase/Quadrature Phase Mismatch in Coherent Free-Space Optical QPSK Communication Systems
Abstract
Featured Application
Abstract
1. Introduction
2. Channel Statistics and System Structure
2.1. Channel Statistics
2.2. System Structure
3. Theoretical Background and Method
3.1. Phase Mismatch in 90° Optical Hybrid
3.2. GSOP and Löwdin Orthogonalization Compensation Scheme
3.3. The Algorithm Switching Orthogonalization Procedure (ASOP) Method
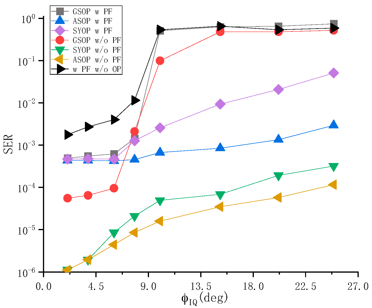
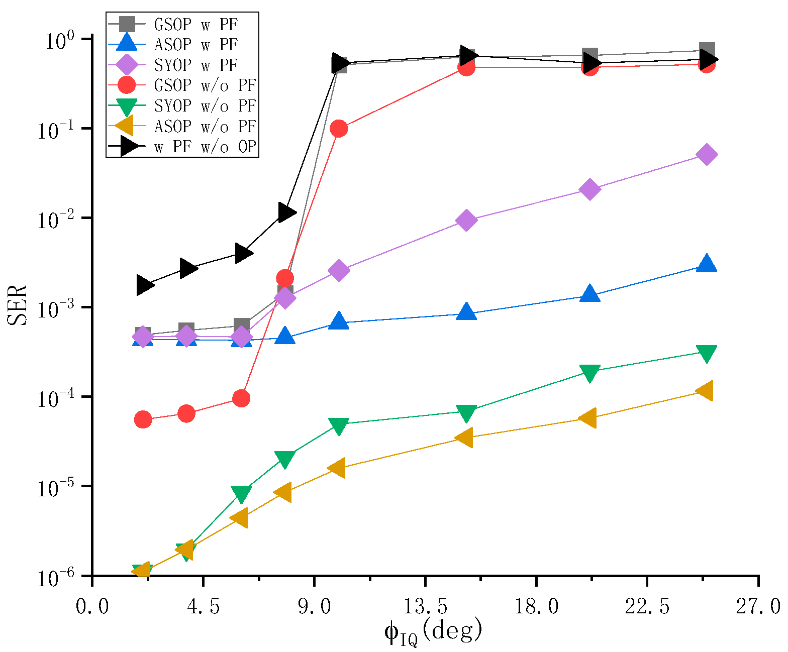
4. Results and Discussion
5. Conclusions
Author Contributions
Funding
Institutional Review Board Statement
Informed Consent Statement
Data Availability Statement
Acknowledgments
Conflicts of Interest
References
- Tao, Z.; Li, L.; Liu, L.; Yan, W.; Nakashima, H.; Tanimura, T.; Oda, S.; Hoshida, T.; Rasmussen, J.C. Improvements to Digital Carrier Phase Recovery Algorithm for High-Performance Optical Coherent Receivers. IEEE J. Sel. Top. Quantum Electron. 2010, 16, 1201–1209. [Google Scholar] [CrossRef]
- Faruk, M.S.; Savory, S.J. Digital Signal Processing for Coherent Transceivers Employing Multilevel Formats. J. Lightwave Technol. 2017, 35, 1125–1141. [Google Scholar] [CrossRef]
- Winzer, P.J.; Essiambre, R. Advanced optical modulation formats. Proc. IEEE 2006, 94, 952–985. [Google Scholar] [CrossRef]
- Kikuchi, K. Fundamentals of Coherent Optical Fiber Communications. J. Lightwave Technol. 2016, 34, 157–179. [Google Scholar] [CrossRef]
- Goldfarb, G.; Li, G. BER estimation of QPSK homodyne detection with carrier phase estimation using digital signal processing. Opt. Express. 2006, 14, 8043–8053. [Google Scholar] [CrossRef] [PubMed]
- Niu, M.; Song, X.; Cheng, J.; Holzman, J.F. Performance analysis of coherent wireless optical communications with atmospheric turbulence. Opt. Express. 2012, 20, 6515–6520. [Google Scholar] [CrossRef] [PubMed]
- Belmonte, A.; Khan, J.M. Capacity of coherent free-space optical links using atmospheric compensation techniques. Opt. Express. 2009, 16, 2763–2773. [Google Scholar] [CrossRef] [PubMed]
- Savory, S.J. Digital coherent optical receivers: Algorithms and subsystems. IEEE J. Sel. Top. Quantum Electron. 2010, 16, 1164–1179. [Google Scholar] [CrossRef]
- Faruk, M.S.; Kikuchi, K. Compensation for In-Phase/Quadrature Imbalance in Coherent-Receiver Front End for Optical Quadrature Amplitude Modulation. IEEE Photonics J. 2013, 5, 7800110. [Google Scholar] [CrossRef]
- Fatadin, I.; Savory, S.J.; Ives, D. Compensation of quadrature imbalance in an optical QPSK coherent receiver. IEEE Photon. Technol. Lett. 2008, 20, 1733–1735. [Google Scholar] [CrossRef]
- Löwdin, P.O. On the non-orthogonality problem connected with the use of atomic wave functions in the theory of molecules and crystals. J. Chem. Phys. 1950, 18, 365–375. [Google Scholar] [CrossRef]
- Mayer, I. On Löwdin’s method of symmetric orthogonalization. Int. J. Quantum. Chem. 2002, 90, 63–65. [Google Scholar] [CrossRef]
- Chang, S.H.; Chung, H.S.; Kim, K. Impact of Quadrature Imbalance in Optical Coherent QPSK Receiver. IEEE Photon. Technol. Lett. 2009, 21, 709–711. [Google Scholar] [CrossRef]
- Petrou, C.S.; Vgenis, A.; Kiourti, A.; Roudas, I.; Hurley, J.; Sauer, M.; Downie, J.; Mauro, Y.; Raghavan, S. Impact of transmitter and receiver imperfections on the performance of coherent optical QPSK communication systems. In Proceedings of the LEOS 2008-21st Annual Meeting of the IEEE Lasers and Electro-Optics Society, Newport Beach, CA, USA, 9–13 November 2008; pp. 410–411. [Google Scholar]
- Petrou, C.; Vgenis, A.; Roudas, I.; Raptis, L. Quadrature imbalance compensation for PDM QPSK coherent optical systems. IEEE Photon. Technol. Lett. 2009, 21, 1876–1878. [Google Scholar] [CrossRef]
- Andrews, L.C.; Phillips, R.L. Laser Beam Propagation through Random Media, 2nd ed.; SPIE Press: Bellingham, WA, USA, 2005. [Google Scholar]
- Li, M.; Cvijetic, M. Coherent free space optics communications over the maritime atmosphere with use of adaptive optics for beam wavefront correction. Appl. Opt. 2015, 54, 1453–1462. [Google Scholar] [CrossRef] [PubMed]
- Ghassemlooy, Z.; Popoola, W.; Rajbhandari, S. Optical Wireless Communications: System and Channel Modelling with MATLAB; Taylor & Francis: Abingdon, UK, 2012. [Google Scholar]
- Belmonte, A.; Khan, J.M. Capacity of coherent free-space optical links using diversity-combining techniques. Opt. Exp. 2009, 17, 12601–12611. [Google Scholar] [CrossRef] [PubMed][Green Version]
- Schmogrow, R.; Nebendahl, B.; Winter, M.; Josten, A. Error vector magnitude as a performance measure for advanced modulation formats. IEEE Photon. Technol. Lett. 2012, 14, 61–63. [Google Scholar] [CrossRef]
- Viterbi, A.M. Nonlinear Estimation of PSK-Modulated Carrier Phase with Application to Burst Digital Transmission. IEEE Trans. Inf. Theory 1983, 29, 543–551. [Google Scholar] [CrossRef]











| Branch | Mean | Standard Variance | Q Value | 
|---|---|---|---|
| In-phase Quadrature | μI1 = 0.5828 μI0 = −0.5976 μQ1 = 0.5543 μQ0 = −0.5617 | σI1 = 0.0853 σI0 = 0.0844 σQ1 = 0.2144 σQ0 = 0.2117 | QI = 6.9558 QQ = 2.5827 | 
| Parameter | Value | 
|---|---|
| Wavelength | 1550 nm | 
| Aperture diameter D | 5 cm | 
| Cn2 | 1.5 × 10−15 m−2/3 | 
| Transmission distance L | 1000 m | 
| Phase variance σφ2 | 0.07 rad | 
| Transmitted power | 10 dBm | 
| Received power | −30 dBm | 
| Linewidth | 100 kHz | 
| LO power | 0 dBm | 
| DSP sampling rate | 20 Gsample/s | 
| L | Regime | |||
|---|---|---|---|---|
| 3 × 10−15 | 1 km | 0.05 | 0.15 | Weak | 
| 8 × 10−16 | 10 km | 1 | 0.39 | Moderate | 
| 6.2 × 10−16 | 20 km | 3 | 0.6 | Strong | 
| Publisher’s Note: MDPI stays neutral with regard to jurisdictional claims in published maps and institutional affiliations. | 
© 2021 by the authors. Licensee MDPI, Basel, Switzerland. This article is an open access article distributed under the terms and conditions of the Creative Commons Attribution (CC BY) license (http://creativecommons.org/licenses/by/4.0/).
Share and Cite
Li, X.; Geng, T.; Gu, Y.; Tian, R.; Gao, S. Compensation for In-Phase/Quadrature Phase Mismatch in Coherent Free-Space Optical QPSK Communication Systems. Appl. Sci. 2021, 11, 2543. https://doi.org/10.3390/app11062543
Li X, Geng T, Gu Y, Tian R, Gao S. Compensation for In-Phase/Quadrature Phase Mismatch in Coherent Free-Space Optical QPSK Communication Systems. Applied Sciences. 2021; 11(6):2543. https://doi.org/10.3390/app11062543
Chicago/Turabian StyleLi, Xueliang, Tianwen Geng, Yucong Gu, Ruotong Tian, and Shijie Gao. 2021. "Compensation for In-Phase/Quadrature Phase Mismatch in Coherent Free-Space Optical QPSK Communication Systems" Applied Sciences 11, no. 6: 2543. https://doi.org/10.3390/app11062543
APA StyleLi, X., Geng, T., Gu, Y., Tian, R., & Gao, S. (2021). Compensation for In-Phase/Quadrature Phase Mismatch in Coherent Free-Space Optical QPSK Communication Systems. Applied Sciences, 11(6), 2543. https://doi.org/10.3390/app11062543
 
        

 
       