An Optimization Study to Evaluate the Impact of the Supercritical CO2 Brayton Cycle’s Components on Its Overall Performance
Abstract
1. Introduction
2. Power Cycle Modeling
2.1. Mathematical Model
2.1.1. Turbomachinery Models
2.1.2. Recuperator Model
3. Cycle Optimization Using a Genetic Algorithm
4. Results and Discussions
4.1. Effect of Cycle’s Components’ Performance on the Cycle’s Overall Performance
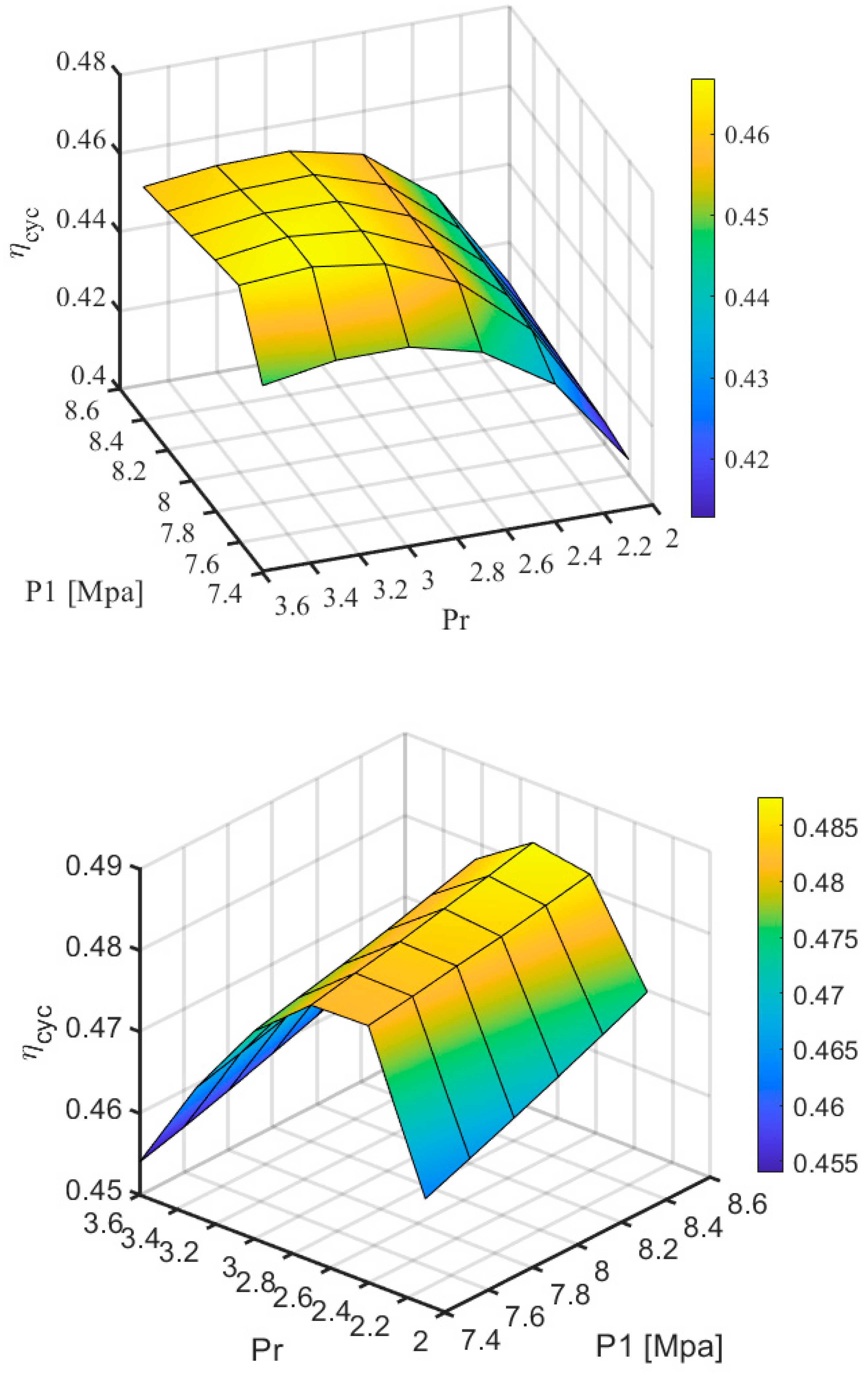
4.2. Effect of the Cycle’s Parameters on Its Performance
4.3. Optimization of sCO2-BC Parameter
5. Conclusions
- The performance of the cycle modules significantly affected the overall performance of the cycle. A 2% variation in the efficiency of turbines or compressors changed the cycle’s performance by 1%. Simultaneously, a 2% variation in the effectiveness of both recuperators affected the cycle’s performance by 3%. Thus, the cycle’s efficiency was most sensitive to the performance of the recuperator.
- The sensitivity of the cycle’s performance to the recuperator’s effectiveness increased with a rise in . Simultaneously, it decreased with an escalation in the values of the isentropic efficiencies of the turbomachinery components.
- The value of was susceptible to the cycle’s operating parameters if the compressors’ inlet conditions were close to carbon dioxide’s critical point. Consequently, the optimization results suggested placing the compressor away from the critical point to ensure better off-design performance.
Author Contributions
Funding
Institutional Review Board Statement
Informed Consent Statement
Data Availability Statement
Conflicts of Interest
Nomenclature
| Relative pressure loss | |
| Enthalpy [J/kg] | |
| Mass flow rate | |
| Pressure [MPa] | |
| Entropy [J/kg] | |
| Temperature [K] | |
| Split mass fraction | |
| Effectiveness | |
| Efficiency | |
| Density [kg/m3] | |
| Subscripts | |
| State points | |
| cyc | Cycle |
| Main compressor | |
| min | Minimum value |
| Recompression compressor | |
| Turbine | |
| Ideal | |
| Abbreviations | |
| High-temperature recuperator | |
| LTR | Low-temperature recupeator |
| MOGA | Multiobjective genetic algorithm |
| sCO2-BC | Supercritical carbon dioxide cycle |
References
- Frutshi, H.U. Closed-Cycles Gas Turbines; Three Park Avenue: NewYork, NY, USA, 2005. [Google Scholar]
- Binotti, M.; Astolfi, M.; Campanari, S.; Manzolini, G.; Silva, P. Preliminary assessment of sCO2 cycles for power generation in CSP solar tower plants. Appl. Energy 2017, 204, 1007–1017. [Google Scholar] [CrossRef]
- Javanshir, A.; Sarunac, N.; Razzaghpanah, Z. Thermodynamic analysis of simple and regenerative Brayton cycles for the concentrated solar power applications. Energy Convers. Manag. 2018, 163, 428–443. [Google Scholar] [CrossRef]
- Dostal, V.; Driscoll, M.J.; Hejzlar, P. A Supercritical Carbon Dioxide Cycle for Next Generation Nuclear Reactors; MIT-ANP-TR-100, Advanced Nuclear Power Technology Program Report; Massachusetts Institute of Technology: Cambridge, MA, USA, 2004. [Google Scholar]
- Crespi, F.; Gavagnin, G.; Sánchez, D.; Martínez, G.S. Supercritical carbon dioxide cycles for power generation: A review. Appl. Energy 2017, 195, 152–183. [Google Scholar] [CrossRef]
- Ahn, Y.; Bae, S.J.; Kim, M.; Cho, S.K.; Baik, S.; Lee, J.I.; Cha, J.E. Review of supercritical CO2 power cycle technology and current status of research and development. Nucl. Eng. Technol. 2015, 47, 647–661. [Google Scholar] [CrossRef]
- Saeed, M.; Khatoon, S.; Kim, M.-H. Design optimization and performance analysis of a supercritical carbon dioxide recompression Brayton cycle based on the detailed models of the cycle components. Energy Convers. Manag. 2019, 196, 242–260. [Google Scholar] [CrossRef]
- Brun, K.; Friedman, P.; Dennis, R. Fundamentals and Applications of Supercritical Carbon Dioxide (sCO2) Based Power Cycles; Woodhead Publishing: Waltham, MA, USA, 2017; ISBN 9781845697693. [Google Scholar]
- Hakkarainen, E.; Sihvonen, T.; Lappalainen, J. Dynamic Modelling and Simulation of CSP Plant Based on Supercritical Carbon Dioxide Closed Brayton Cycle. In Proceedings of the International Conference on Concentrating Solar Power and Chemical Energy Systems, Santiago, Chile, 26–29 September 2017; AlObaidli, A., Calvet, N., Richter, C., Eds.; American Institute of Physics: Melville, NY, USA, 2017. [Google Scholar]
- Marchionni, M.; Bianchi, G.; Tassou, S.A. Review of supercritical carbon dioxide (sCO2) technologies for high-grade waste heat to power conversion. SN Appl. Sci. 2020, 2, 611. [Google Scholar] [CrossRef]
- Zhu, Q. Innovative power generation systems using supercritical CO2 cycles. Clean Energy 2017, 1, 68–79. [Google Scholar] [CrossRef]
- Kim, Y.M.; Kim, C.G.; Favrat, D. Transcritical or supercritical CO2 cycles using both low- and high-temperature heat sources. Energy 2012, 43, 402–415. [Google Scholar] [CrossRef]
- Tuo, H.M. Analysis of a Reheat Carbon Dioxide Transcritical Power Cycle Using a Low Temperature Heat Source. Int. Mech. Eng. Congress Exp. 2011, 4, 219–225. [Google Scholar]
- Cayer, E.; Galanis, N.; Desilets, M.; Nesreddine, H.; Roy, P. Analysis of a carbon dioxide transcritical power cycle using a low temperature source. Appl. Energy 2009, 86, 1055–1063. [Google Scholar] [CrossRef]
- Pham, H.S.; Alpy, N.; Ferrasse, J.H.; Boutin, O.; Quenaut, J.; Tothill, M.; Haubensack, D.; Saez, M. Mapping of the thermodynamic performance of the supercritical CO2 cycle and optimisation for a small modular reactor and a sodium-cooled fast reactor. Energy 2015, 87, 412–424. [Google Scholar] [CrossRef]
- Feher, E.G. The supercritical thermodynamic power cycle. Energy Convers. 1968, 8, 85–90. [Google Scholar] [CrossRef]
- Angelino, G. Carbon dioxide condensation cycles for power production. J. Eng. Gas. Turbines Power 1968, 90, 287–295. [Google Scholar] [CrossRef]
- Saeed, M.; Kim, M. Analysis of a recompression supercritical carbon dioxide power cycle with an integrated turbine design/optimization algorithm. Energy 2018, 165, 93–111. [Google Scholar] [CrossRef]
- Turchi, C.S.; Ma, Z.; Neises, T.W.; Wagner, M.J. Thermodynamic study of advanced supercritical carbon dioxide power cycles for concentrating solar power systems. J. Sol. Energy Eng. 2013, 135, 375–383. [Google Scholar] [CrossRef]
- Reyes-Belmonte, M.A.; Sebastián, A.; Romero, M.; González-Aguilar, J. Optimization of a recompression supercritical carbon dioxide cycle for an innovative central receiver solar power plant. Energy 2016, 112, 17–27. [Google Scholar] [CrossRef]
- Al-Sulaiman, F.A.; Atif, M. Performance comparison of different supercritical carbon dioxide Brayton cycles integrated with a solar power tower. Energy 2015, 82, 61–71. [Google Scholar] [CrossRef]
- Sarkar, J.; Bhattacharyya, S. Optimization of recompression S-CO2 power cycle with reheating. Energy Convers. Manag. 2009, 50, 1939–1945. [Google Scholar] [CrossRef]
- Sharma, O.P.; Kaushik, S.C.; Manjunath, K. Thermodynamic analysis and optimization of a supercritical CO2 regenerative recompression Brayton cycle coupled with a marine gas turbine for shipboard waste heat recovery. Therm. Sci. Eng. Prog. 2017, 3, 62–74. [Google Scholar] [CrossRef]
- Sarkar, J. Second law analysis of supercritical CO2 recompression Brayton cycle. Energy 2009, 34, 1172–1178. [Google Scholar] [CrossRef]
- Saeed, M.; Berrouk, A.S.; Siddiqui, M.S.; Awais, A.A. Effect of Printed Circuit Heat Exchanger’s Different Designs on the Performance of Supercritical Carbon Dioxide Brayton Cycle—Science Direct. Appl. Therm. Eng. 2020, 179, 115758. [Google Scholar] [CrossRef]
- Saeed, M.; Alawadi, K.; Kim, S.C. Performance of supercritical CO2 power cycle and its turbomachinery with the printed circuit heat exchanger with straight and zigzag channels. Energies 2021, 14, 62. [Google Scholar] [CrossRef]
- Salim, M.S.; Saeed, M.; Kim, M.-H. Performance Analysis of the Supercritical Carbon Dioxide Re-compression Brayton Cycle. Appl. Sci. 2020, 10, 1129. [Google Scholar] [CrossRef]
- Liu, Z.; Luo, W.; Zhao, Q.; Zhao, W.; Xu, J. Preliminary Design and Model Assessment of a Supercritical CO2 Compressor. Appl. Sci. 2018, 8, 595. [Google Scholar] [CrossRef]
- Saeed, M.; Kim, M.-H. Numerical study on thermal hydraulic performance of water cooled mini-channel heat sinks. Int. J. Refrig. 2016, 69, 147–164. [Google Scholar] [CrossRef]
- Saeed, M.; Berrouk, A.S.; Salman Siddiqui, M.; Ali Awais, A. Numerical investigation of thermal and hydraulic characteristics of sCO2-water printed circuit heat exchangers with zigzag channels. Energy Convers. Manag. 2020, 224, 113375. [Google Scholar] [CrossRef]
- Lee, J.; Lee, J.I.; Ahn, Y.; Yoon, H. Design Methodology of Supercritical CO2 Brayton Cycle Turbomachineries. In Proceedings of the ASME Turbo Expo 2012: Turbine Technical Conference and Exposition, Volume 5: Manufacturing Materials and Metallurgy; Marine; Microturbines and Small Turbomachinery, Supercritical CO2 Power Cycles. Copenhagen, Denmark, 11–15 June 2012; pp. 975–983. [Google Scholar]
- Saeed, M.; Kim, M.-H. Thermal and hydraulic performance of SCO2 PCHE with different fin configurations. Appl. Therm. Eng. 2017, 127, 975–985. [Google Scholar] [CrossRef]
- Capata, R.; Hernandez, G. Preliminary design and simulation of a turbo expander for small rated power Organic Rankine Cycle (ORC). Energies 2014, 7, 7067–7093. [Google Scholar] [CrossRef]
- Wang, K.; He, Y.-L. Thermodynamic analysis and optimization of a molten salt solar power tower integrated with a recompression supercritical CO2 Brayton cycle based on integrated modeling. Energy Convers. Manag. 2017, 135, 336–350. [Google Scholar] [CrossRef]
- Li, H.; Su, W.; Cao, L.; Chang, F.; Xia, W.; Dai, Y. Preliminary conceptual design and thermodynamic comparative study on vapor absorption refrigeration cycles integrated with a supercritical CO2 power cycle. Energy Convers. Manag. 2018, 161, 162–171. [Google Scholar] [CrossRef]
- Bahamonde Noriega, J.S. Design Method for s-CO2 Gas. Turbine Power Plants Integration of Thermodynamic Analysis and Components Design for Advanced Applications; Report: P&E-2530; Delft University of Technology: Delft, The Netherlands, 2012. [Google Scholar]
- Zhang, X.; Sun, X.; Christensen, R.N.; Anderson, M.; Carlson, M. Optimization of S-Shaped Fin Channels in a Printed Circuit Heat Exchanger for Supercritical CO2 Test Loop. In Proceedings of the 5th International Supercritical CO2 Power Cycles Symposium, San Antonio, TX, USA, 29–31 March 2016. [Google Scholar]
- Shen, X.; Yang, H.; Chen, J.; Zhu, X.; Du, Z. Aerodynamic shape optimization of non-straight small wind turbine blades. Energy Convers. Manag. 2016, 119, 266–278. [Google Scholar] [CrossRef]
- Ha, S.T.; Ngo, L.C.; Saeed, M.; Jeon, B.J.; Choi, H. A comparative study between partitioned and monolithic methods for the problems with 3D fluid-structure interaction of blood vessels. J. Mech. Sci. Technol. 2017, 31, 281–287. [Google Scholar] [CrossRef]
- Saeed, M.; Kim, M.-H. Thermal-hydraulic analysis of sinusoidal fin-based printed circuit heat exchangers for supercritical CO2 Brayton cycle. Energy Convers. Manag. 2019, 193, 124–139. [Google Scholar] [CrossRef]
- Venkata Rao, R.; Patel, V. Multi-objective optimization of combined Brayton and inverse Brayton cycles using advanced optimization algorithms. Eng. Optim. 2012, 44, 965–983. [Google Scholar] [CrossRef]
- Xiao, D.; do Prado, J.C.; Qiao, W. Optimal joint demand and virtual bidding for a strategic retailer in the short-term electricity market. Electr. Power Syst. Res. 2021, 190, 106855. [Google Scholar] [CrossRef]
- Zhang, H.; Liu, J.; Xiao, D.; Qiao, W. Security-Constrained Optimal Power Flow Solved with a Dynamic Multichain Particle Swarm Optimizer. In Proceedings of the 2019 North American Power Symposium (NAPS), Wichita, KS, USA, 13–15 October 2019. [Google Scholar] [CrossRef]














| Application | Cycle Type | Motivation | Size (MWe) | Temperature [℃] | Pressure [MPa] |
|---|---|---|---|---|---|
| Nuclear | Indirect | Efficiency, size, water reduction | 10–300 | 350–700 | 20–35 |
| Fossil Fuel | Indirect | Efficiency, water reduction | 300–600 | 550–900 | 15–30 |
| Concentrated solar power | Indirect | Efficiency, size, water reduction | 10–100 | 500–1000 | 35 |
| Shipboard propulsion | Indirect | Efficiency, size | <10–10 | 200–300 | 15–25 |
| Shipboard house power | Indirect | Efficiency, size | <1–10 | 230–650 | 15–35 |
| Waste heat recovery | Indirect | Efficiency, size, simple cycles | 1–10 | <230–650 | 15–35 |
| Geothermal | Efficiency | 1–50 | 100–300 | 15 | |
| Fossil fuel (Syn Gas) | Direct | Efficiency, simple cycles | 300–600 | 1100–1500 | 35 |
| Effectiveness, HTR | 0.9 | |
|---|---|---|
| Effectiveness, LTR | 0.9 | |
| Efficiency, Turbine | 0.90 | |
| Efficiency, Compressor | 0.85 | |
| Relative Pressure loss | 0.01 |
| Design Variable | Lower Bounds | Upper Bounds |
|---|---|---|
| Compressor inlet Temperature () | 330 | |
| Compressor inlet pressure () [kPa] | 9000 | |
| Cycle pressure ratio () | 3.6 | |
| Split mass fraction () | 0.99 |
| Parameters | V. Dostal [4] | Saeed et al. [7] | |
|---|---|---|---|
| Employed conditions | |||
| Efficiency, main compressor | |||
| Efficiency, recompressor | |||
| Efficiency, turbine | |||
| Effectivness, HTR | |||
| Effectivness, LTR | |||
| Cycle Efficiency (literature) | |||
| Cycle Efficiency (current work) | 46.37% | 43.83% |
| Design Variable | Optimized Values Case I | Optimized Values Case II |
|---|---|---|
| 305 | 313 | |
| (kPa) | 770.93 | 845.52 |
| 3.12 | 2.69 | |
| 0.63 | 0.71 |
Publisher’s Note: MDPI stays neutral with regard to jurisdictional claims in published maps and institutional affiliations. |
© 2021 by the authors. Licensee MDPI, Basel, Switzerland. This article is an open access article distributed under the terms and conditions of the Creative Commons Attribution (CC BY) license (http://creativecommons.org/licenses/by/4.0/).
Share and Cite
Alawadhi, K.; Alfalah, A.; Bader, B.; Alhouli, Y.; Murad, A. An Optimization Study to Evaluate the Impact of the Supercritical CO2 Brayton Cycle’s Components on Its Overall Performance. Appl. Sci. 2021, 11, 2389. https://doi.org/10.3390/app11052389
Alawadhi K, Alfalah A, Bader B, Alhouli Y, Murad A. An Optimization Study to Evaluate the Impact of the Supercritical CO2 Brayton Cycle’s Components on Its Overall Performance. Applied Sciences. 2021; 11(5):2389. https://doi.org/10.3390/app11052389
Chicago/Turabian StyleAlawadhi, Khaled, Abdullah Alfalah, Bashar Bader, Yousef Alhouli, and Ahmed Murad. 2021. "An Optimization Study to Evaluate the Impact of the Supercritical CO2 Brayton Cycle’s Components on Its Overall Performance" Applied Sciences 11, no. 5: 2389. https://doi.org/10.3390/app11052389
APA StyleAlawadhi, K., Alfalah, A., Bader, B., Alhouli, Y., & Murad, A. (2021). An Optimization Study to Evaluate the Impact of the Supercritical CO2 Brayton Cycle’s Components on Its Overall Performance. Applied Sciences, 11(5), 2389. https://doi.org/10.3390/app11052389
