A Phase Angle-Modulated Bat Algorithm with Application to Antenna Topology Optimization
Abstract
1. Introduction
2. Background
2.1. The Bat Algorithm
| Algorithm 1 Pseudo-code of bat algorithm |
| Initialize artificial bat population Xi (i = 1,2,…,n) and Vi; Define pulse frequency Fi Initialize pulse rate ri and the loudness Ai While (t < Max iteration) Generate new solutions by adjusting frequency, updating velocities and positions [Equations (1) to (3)] if (rand > ri) then Select a solution among the best solutions randomly Generate a local solution around the selected best solution end if Generate a new solution by flying randomly; if (rand < Ai &f(xi) < f(Xgbest)) then Accept the new solutions Increase ri and reduce Ai end if Rank the bats and find the current Xgbest; end while |
2.2. Binary Bat Algorithm
- A transformation function was added to map a continuous position vector to a discrete bit vector.
- The random walk Equation (4) that improves the local search ability was deleted, as it is not suitable for the binary optimization algorithm.
3. Phase Angle Modulated Bat Algorithm (P-AMBA)
3.1. AMBA
3.2. P-AMBA
| Algorithm 2 Pseudo-code of P-AMBA |
| Initialize a, b, c, d, e, g, and Vi = 0 in the continuous bat algorithm Define pulse frequency FiInitialize pulse rates ri and the loudness Ai While (t < Max iteration) Generate new solutions by adjusting frequency, updating velocities and positions [Equations (1) to (3)] Calculate the output value g(x) using Equation (12) to generate n-dimensional bit stringsUpdate the position vectors using Equation (13) if (rand > ri) Select a solution among the best solutions randomly Change some of the dimensions of the position vector with some of the dimensions of Xgbest end if Generate a new solution by flying randomly if (rand < Ai & f(xi) < f(Xgbest)) Accept the new solutions Increase ri and reduce Ai end if Rank the bats and find the current Xgbest; end while |
4. Experimental Results and Discussions
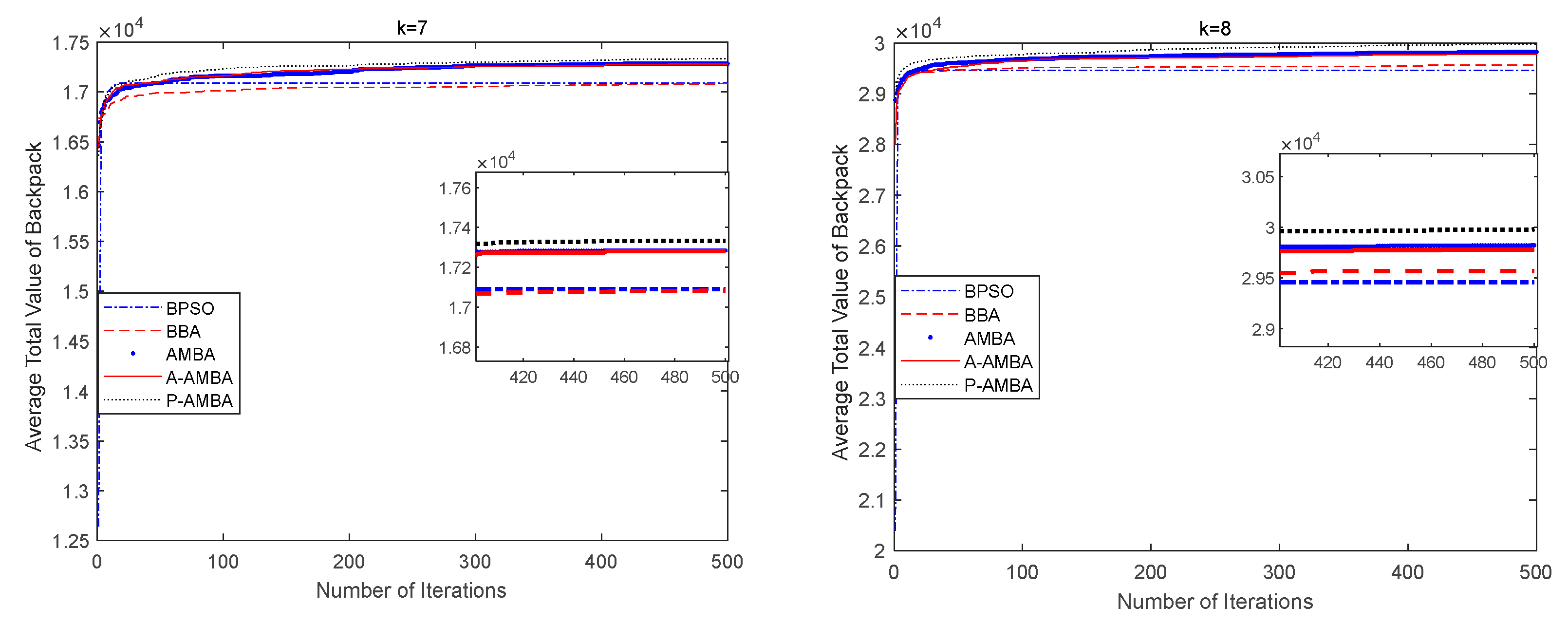
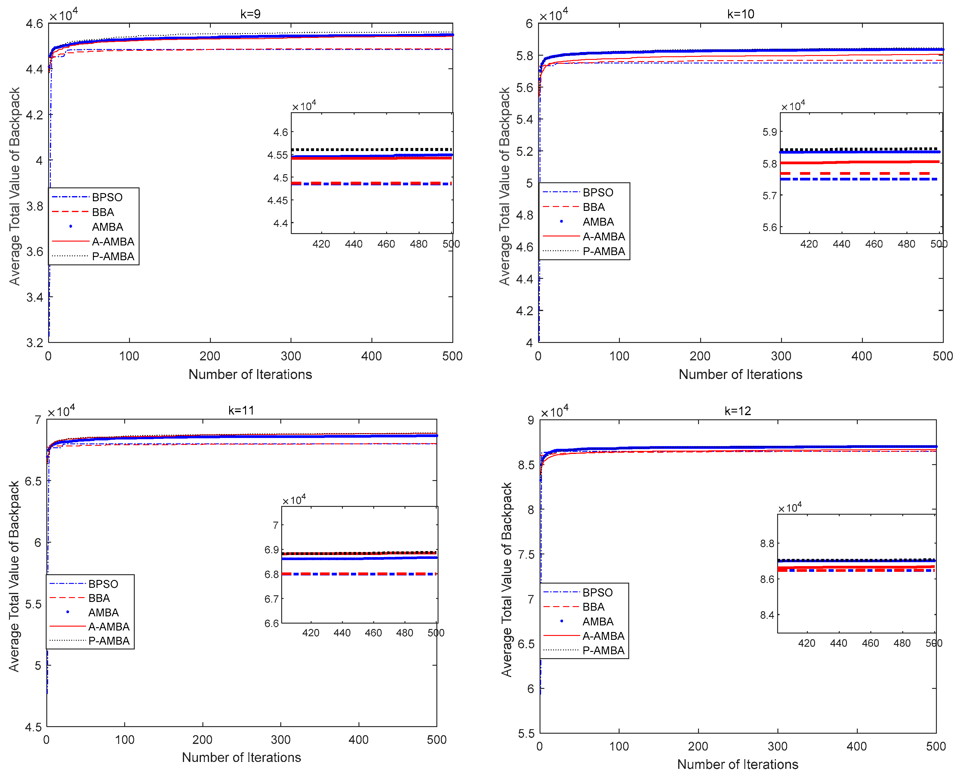
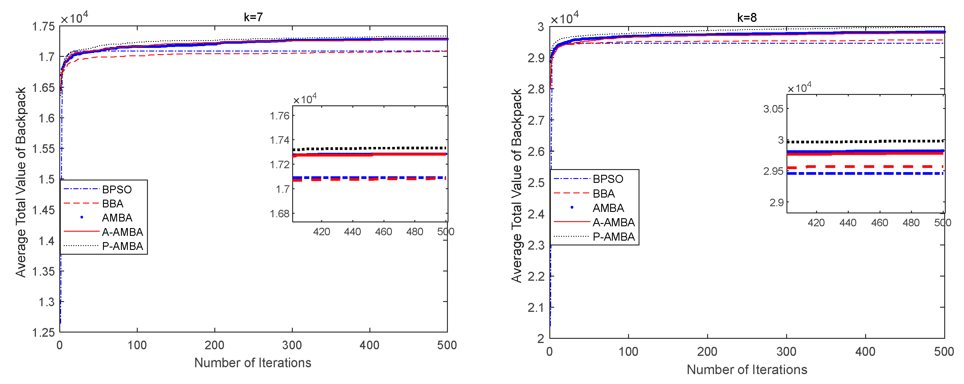
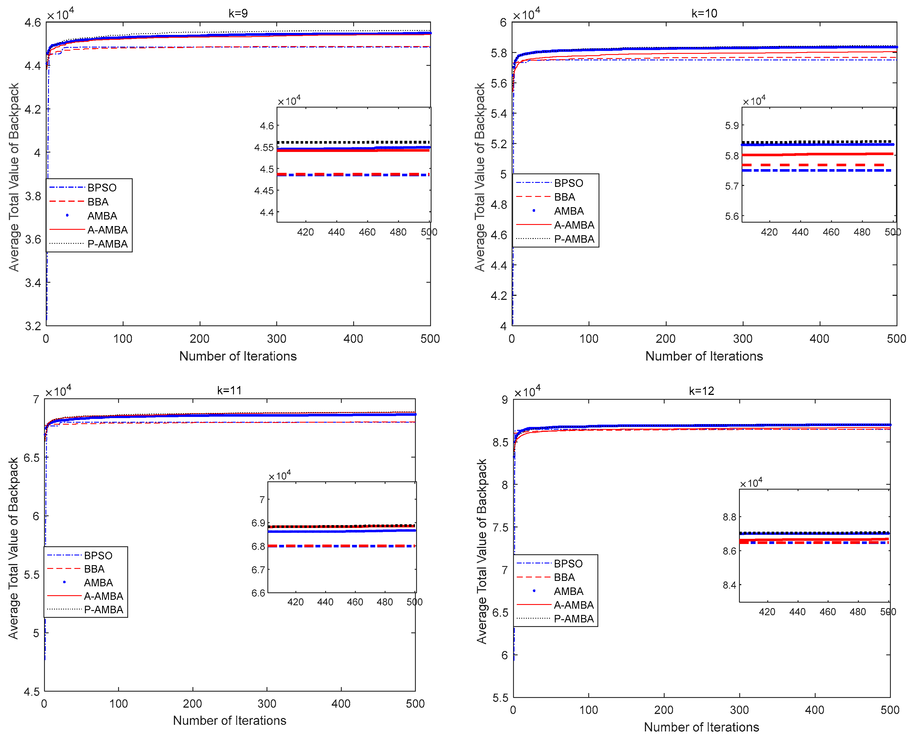
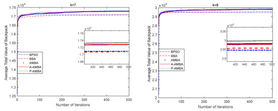
4.1. Zero-One Knapsack Problems
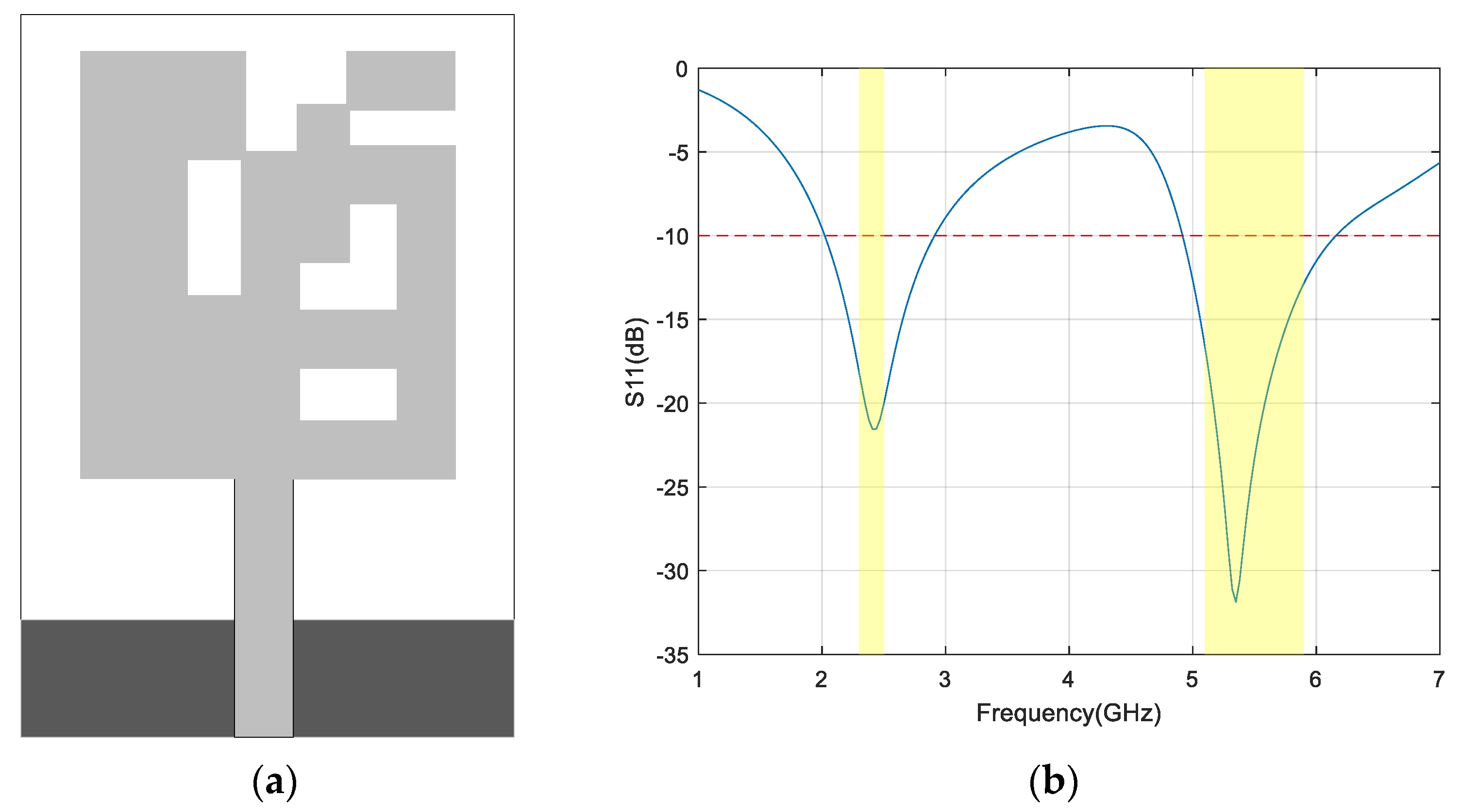
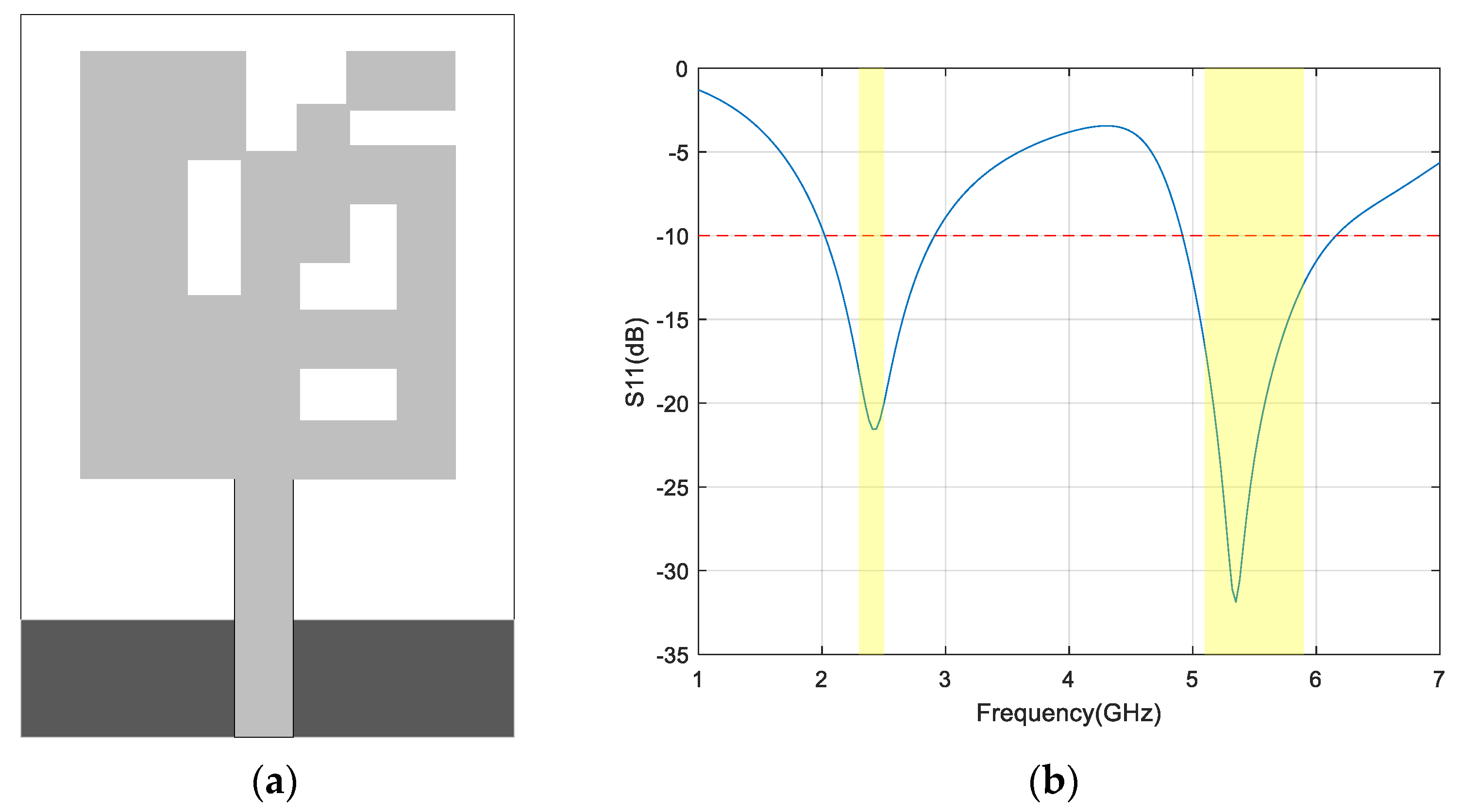
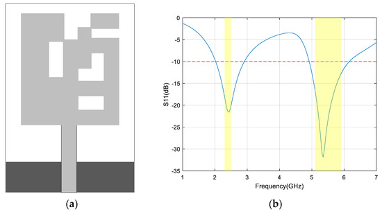
4.2. Compact Dual-Band Planar Monopole Antenna Design
4.2.1. Antenna Topology Optimization Problem Formulation
4.2.2. Antenna Topology Optimization Design
5. Conclusions
Author Contributions
Funding
Institutional Review Board Statement
Informed Consent Statement
Data Availability Statement
Conflicts of Interest
References
- Han, H.-G.; Lu, W.; Hou, Y.; Qiao, J.-F. An Adaptive-PSO-Based Self-Organizing RBF Neural Network. IEEE Trans. Neural Networks Learn. Syst. 2016, 29, 104–117. [Google Scholar] [CrossRef] [PubMed]
- Śmieja, M.; Hajto, K.; Tabor, J. Efficient mixture model for clustering of sparse high dimensional binary data. Data Min. Knowl. Discov. 2019, 33, 1583–1624. [Google Scholar] [CrossRef]
- Varshney, K.R.; Willsky, A.S. Linear Dimensionality Reduction for Margin-Based Classification: High-Dimensional Data and Sensor Networks. IEEE Trans. Signal Process. 2011, 59, 2496–2512. [Google Scholar] [CrossRef]
- Guo, Y.-N.; Cheng, J.; Luo, S.; Gong, D.-W.; Xue, Y. Robust Dynamic Multi-Objective Vehicle Routing Optimization Method. IEEE/ACM Trans. Comput. Biol. Bioinform. 2018, 15, 1891–1903. [Google Scholar] [CrossRef] [PubMed]
- Lu, D.; Wang, L.; Yang, E.; Wang, G. Design of High-Isolation Wideband Dual-Polarized Compact MIMO Antennas With Multiobjective Optimization. IEEE Trans. Antennas Propag. 2017, 66, 1522–1527. [Google Scholar] [CrossRef]
- Faulin, J. Metaheuristics: From Design to Implementation. Interfaces 2012, 42, 414–415. [Google Scholar]
- Kabir, M.; Shahjahan; Murase, K. A new local search based hybrid genetic algorithm for feature selection. Neurocomputing 2011, 74, 2914–2928. [Google Scholar] [CrossRef]
- Minasian, A.A.; Bird, T.S. Particle Swarm Optimization of Microstrip Antennas for Wireless Communication Systems. IEEE Trans. Antennas Propag. 2013, 61, 6214–6217. [Google Scholar] [CrossRef]
- Zorarpacı, E.; Özel, S.A. A hybrid approach of differential evolution and artificial bee colony for feature selection. Expert Syst. Appl. 2016, 62, 91–103. [Google Scholar] [CrossRef]
- Kashan, M.H.; Nahavandi, N.; Kashan, A.H. DisABC: A new artificial bee colony algorithm for binary optimization. Appl. Soft Comput. 2012, 12, 342–352. [Google Scholar] [CrossRef]
- Mirjalili, S. Dragonfly algorithm: A new meta-heuristic optimization technique for solving single-objective, discrete, and multi-objective problems. Neural Comput. Appl. 2016, 27, 1053–1073. [Google Scholar] [CrossRef]
- Tan, Y.; Zhu, Y. Fireworks Algorithm for Optimization. Constr. Side-Channel Anal. Secur. Des. 2010, 6145, 355–364. [Google Scholar] [CrossRef]
- Shi, Y. Brain Storm Optimization Algorithm. Constr. Side-Channel Anal. Secur. Des. 2011, 6728, 303–309. [Google Scholar] [CrossRef]
- Geem, Z.W.; Kim, J.H.; Loganathan, G. A New Heuristic Optimization Algorithm: Harmony Search. Simulation 2001, 76, 60–68. [Google Scholar] [CrossRef]
- Wang, G.-G. Moth search algorithm: A bio-inspired metaheuristic algorithm for global optimization problems. Memetic Comput. 2018, 10, 151–164. [Google Scholar] [CrossRef]
- Yang, X.-S. A New Metaheuristic Bat-Inspired Algorithm. In Nature Inspired Cooperative Strategies for Optimization (NICSO 2010); Springer: Berlin/Heidelberg, Germany, 2010; pp. 65–74. [Google Scholar] [CrossRef]
- Ng, C.K.; Wu, C.H.; Ip, W.H.; Yung, K.L. A Smart Bat Algorithm for Wireless Sensor Network Deployment in 3-D Environment. IEEE Commun. Lett. 2018, 22, 2120–2123. [Google Scholar] [CrossRef]
- Zhu, L.F.; Wang, J.S.; Wang, H.Y.; Guo, S.S.; Guo, M.W.; Xie, W. Data Clustering Method Based on Improved Bat Algorithm With Six Convergence Factors and Local Search Operators. IEEE Access 2020, 8, 80536–80560. [Google Scholar] [CrossRef]
- Lu, Y.; Jiang, T. Bi-Population Based Discrete Bat Algorithm for the Low-Carbon Job Shop Scheduling Problem. IEEE Access 2019, 7, 14513–14522. [Google Scholar] [CrossRef]
- Mugemanyi, S.; Qu, Z.; Rugema, F.X.; Dong, Y.; Bananeza, C.; Wang, L. Optimal Reactive Power Dispatch Using Chaotic Bat Algorithm. IEEE Access 2020, 8, 65830–65867. [Google Scholar] [CrossRef]
- Sathananthavathi, V.; Indumathi, G. BAT algorithm inspired retinal blood vessel segmentation. IET Image Process. 2018, 12, 2075–2083. [Google Scholar] [CrossRef]
- Mirjalili, S.; Mirjalili, S.M.; Yang, X.-S. Binary bat algorithm. Neural Comput. Appl. 2014, 25, 663–681. [Google Scholar] [CrossRef]
- Hembecker, F.; Lopes, H.S.; Godoy, W. Particle Swarm Optimization for the Multidimensional Knapsack Problem. In International Conference on Adaptive and Natural Computing Algorithms; Springer: Berlin/Heidelberg, Germany, 2007; pp. 358–365. [Google Scholar] [CrossRef]
- Guo, S.-S.; Wang, J.-S.; Ma, X.-X. Improved Bat Algorithm Based on Multipopulation Strategy of Island Model for Solving Global Function Optimization Problem. Comput. Intell. Neurosci. 2019. [Google Scholar] [CrossRef]
- Xue, J.; Xiao, J.; Zhu, J. Binary Fireworks Algorithm for 0-1 Knapsack Problem. In Proceedings of the 2019 International Conference on Artificial Intelligence and Advanced Manufacturing (AIAM), Dublin, Ireland, 16–18 October 2019; pp. 218–222. [Google Scholar] [CrossRef]
- Huang, Y.; Wang, P.; Li, J.; Chen, X.; Li, T. A Binary Multi-Scale Quantum Harmonic Oscillator Algorithm for 0–1 Knapsack Problem With Genetic Operator. IEEE Access 2019, 7, 137251–137265. [Google Scholar] [CrossRef]
- Dahi, Z.A.E.M.; Mezioud, C.; Draa, A. Binary Bat Algorithm: On The Efficiency of Mapping Functions When Handling Binary Problems Using Continuous-variable-based Metaheuristics. New Trends Nonlinear Control Theory 2015, 456, 3–14. [Google Scholar] [CrossRef]
- Huang, X.; Li, P.; Pu, Y. Amplitude Angle Modulated Bat Algorithm With Application to Zero-One Knapsack Problem. IEEE Access 2019, 7, 27957–27969. [Google Scholar] [CrossRef]
- Le, T.T.; Yun, T.-Y. Miniaturization of a Dual-Band Wearable Antenna for WBAN Applications. IEEE Antennas Wirel. Propag. Lett. 2020, 19, 1452–1456. [Google Scholar] [CrossRef]
- Zheng, K.-K.; Chu, Q.-X. A Small Symmetric-Slit-Shaped and Annular Slotted BeiDou Antenna With Stable Phase Center. IEEE Antennas Wirel. Propag. Lett. 2017, 17, 146–149. [Google Scholar] [CrossRef]
- Delabie, C.; Villegas, M.; Picon, O. Creation of new shapes for resonant microstrip structures by means of genetic algorithms. Electron. Lett. 1997, 33, 1509. [Google Scholar] [CrossRef]
- Guariglia, E. Entropy and Fractal Antennas. Entropy 2016, 18, 84. [Google Scholar] [CrossRef]
- Guariglia, E. Primality, Fractality, and Image Analysis. Entropy 2019, 21, 304. [Google Scholar] [CrossRef]
- Tao, Y.; Zang, X.; Wang, C.; Yang, C. Design of a fragment-type UHF RFID tag integrated into printed circuit board. Microw. Opt. Technol. Lett. 2019, 61, 676–681. [Google Scholar] [CrossRef]
- Li, Q.-Q.; Chu, Q.-X.; Chang, Y.-L. Design of Compact High-Isolation MIMO Antenna With Multiobjective Mixed Optimization Algorithm. IEEE Antennas Wirel. Propag. Lett. 2020, 19, 1306–1310. [Google Scholar] [CrossRef]
- Brooks, S.P.; Morgan, B.J.T. Optimization Using Simulated Annealing. J. R. Stat. Soc. Ser. D 1995, 44, 241–257. [Google Scholar] [CrossRef]
- Proakis, J.G.; Salehi, M.; Zhou, N.; Li, X. Communication Systems Engineering; Prentice Hall: Upper Saddle River, NJ, USA, 1994; Volume 2. [Google Scholar]
- Pampara, G.; Franken, N.; Engelbrecht, A. Combining Particle Swarm Optimisation with angle modulation to solve binary problems. IEEE Congr. Evol. Comput. 2005, 89–96. [Google Scholar] [CrossRef]
- Leonard, B.J.; Engelbrecht, A.P.; Cleghorn, C.W. Critical considerations on angle modulated particle swarm optimisers. Swarm Intell. 2015, 9, 291–314. [Google Scholar] [CrossRef]
- Dantzig, G.B. Discrete-Variable Extremum Problems. Oper. Res. 1957, 5, 266–288. [Google Scholar] [CrossRef]
- Zhang, S.; Liu, S. A Discrete Improved Artificial Bee Colony Algorithm for 0–1 Knapsack Problem. IEEE Access 2019, 7, 104982–104991. [Google Scholar] [CrossRef]
- Li, Y.; He, Y.; Liu, X.; Guo, X.; Li, Z. A novel discrete whale optimization algorithm for solving knapsack problems. Appl. Intell. 2020, 50, 3350–3366. [Google Scholar] [CrossRef]
- Ohira, M.; Deguchi, H.; Tsuji, M.; Shigesawa, H. Multiband Single-Layer Frequency Selective Surface Designed by Combination of Genetic Algorithm and Geometry-Refinement Technique. IEEE Trans. Antennas Propag. 2004, 52, 2925–2931. [Google Scholar] [CrossRef]











| No. | D | Parameter (w, p, C) | Opt |
|---|---|---|---|
| k1 | 10 | w = (95, 4, 60, 32, 23, 72, 80, 62, 65, 46); p = (55, 10, 47, 5, 4, 50, 8, 61, 85, 87); C = 269 | 295 |
| k2 | 20 | w = (92, 4, 43, 83, 84, 68, 92, 82, 6, 44, 32, 18, 56, 83, 25, 96, 70, 48, 14, 58); p = (44, 46, 90, 72, 91, 40, 75, 35, 8, 54, 78, 40, 77, 15, 61, 17, 75, 29, 75, 63); C = 878 | 1024 |
| k3 | 50 | w = (80, 82, 85, 70, 72, 70, 66, 50, 55, 25, 50, 55, 40, 48, 59, 32, 22, 60, 30, 32, 40, 38, 35, 32, 25, 28, 30, 22, 50, 30, 45, 30, 60, 50, 20, 65, 20, 25, 30, 10, 20, 25, 15, 10, 10, 10, 4, 4, 2, 1); p = (220, 208, 198, 192, 180, 180, 165, 162, 160, 158, 155, 130, 125, 122, 120, 118, 115, 110, 105, 101, 100, 100, 98, 96, 95, 90, 88, 82, 80, 77, 75, 73, 72, 70, 69, 66, 65, 63, 60, 58, 56, 50, 30, 20, 15, 10, 8, 5, 3, 1); C = 1000 | 3103 |
| k4 | 80 | w = (40, 27, 5, 21, 51, 16, 42, 18, 52, 28, 57, 34, 44, 43, 52, 55, 53, 42, 47, 56, 57, 44, 16, 2, 12, 9, 40, 23, 56, 3, 39,16, 54, 36, 52, 5, 53, 48, 23, 47, 41, 49, 22, 42, 10, 16, 53, 58, 40, 1, 43, 56, 40, 32, 44, 35, 37, 45, 52, 56, 40, 2, 23,49, 50, 26, 11, 35, 32, 34, 58, 6, 52, 26, 31, 23, 4, 52, 53, 19); p = (199, 194, 193, 191, 189, 178, 174, 169, 164, 164, 161, 158, 157, 154, 152, 152, 149, 142, 131, 125, 124, 124, 124, 122, 119, 116, 114, 113, 111, 110, 109, 100, 97, 94, 91, 82, 82, 81, 80, 80, 80, 79, 77, 76, 74, 72, 71, 70, 69,68, 65, 65, 61, 56, 55, 54, 53, 47, 47, 46, 41, 36, 34, 32, 32,30, 29, 29, 26, 25, 23, 22, 20, 11, 10, 9, 5, 4, 3, 1); C = 1173 | 5183 |
| k5 | 100 | w = (54, 95, 36, 18, 4, 71, 83, 16, 27, 84, 88, 45, 94, 64, 14, 80, 4, 23, 75, 36, 90, 20, 77, 32, 58, 6, 14, 86, 84, 59, 71, 21, 30, 22, 96, 49, 81, 48, 37, 28, 6, 84, 19, 55, 88, 38, 51, 52, 79, 55, 70, 53, 64, 99, 61, 86, 1, 64, 32, 60, 42, 45, 34, 22, 49, 37, 33, 1, 78, 43, 85, 24, 96, 32, 99, 57, 23, 8, 10, 74, 59, 89, 95, 40, 46, 65, 6, 89, 84, 83, 6, 19, 45, 59, 26, 13, 8, 26, 5, 9); p = (297, 295, 293, 292, 291, 289, 284, 284, 283, 283, 281, 280, 279, 277, 276, 275, 273,264, 260, 257, 250, 236, 236, 235, 235, 233, 232, 232, 228, 218, 217, 214, 211, 208, 205, 204, 203, 201, 196, 194, 193, 193, 192, 191, 190, 187, 187, 184, 184, 184, 181, 179, 176, 173, 172, 171, 160, 128, 123, 114, 113, 107, 105, 101, 100, 100, 99, 98, 97, 94, 94, 93, 91, 80, 74, 73, 72, 63, 63, 62, 61, 60, 56, 53, 52, 50, 48, 46, 40, 40, 35, 28, 22, 22, 18, 15, 12, 11, 6, 5); C = 3818 | 15,170 |
| No. | D | C | Total Values |
|---|---|---|---|
| k6 | 200 | 1948.5 | 15,132 |
| k7 | 300 | 2793.5 | 22,498 |
| k8 | 500 | 4863.5 | 37,519 |
| k9 | 800 | 7440.5 | 59,791 |
| k10 | 1000 | 9543.5 | 75,603 |
| k11 | 1200 | 11,267 | 90,291 |
| k12 | 1500 | 14,335 | 111,466 |
| Algorithm | Parameters | Value |
|---|---|---|
| BPSO | Population size | 30 |
| C1, C2 | 2 | |
| W | Decrease linearly from 0.4 to 1.2 | |
| Max iteration | 500 | |
| Max velocity | 2 | |
| Stopping criterion | Max iteration | |
| BBA | Population size | 30 |
| Fmin | 0 | |
| Fmax | 2 | |
| A | 0.25 | |
| r | 0.5 | |
| ε | [−1, 1] | |
| α | 0.9 | |
| γ | 0.9 | |
| Max iteration | 500 | |
| Stopping criterion | Max iteration | |
| AMBA | Population size | 30 |
| Artificial bat (a,b,c,d) | [−1, 1] | |
| Fmin | 0 | |
| Fmax | 2 | |
| A | 0.25 | |
| r | 0.5 | |
| ε | [−1, 1] | |
| α | 0.9 | |
| γ | 0.9 | |
| Max iteration | 500 | |
| Stopping criterion | Max iteration | |
| A-AMBA | Population size | 30 |
| Artificial bat (a,b,c,d,e) | [−1, 1] | |
| Fmin | 0 | |
| Fmax | 2 | |
| A | 0.25 | |
| r | 0.5 | |
| ε | [−1, 1] | |
| α | 0.9 | |
| γ | 0.9 | |
| Max iteration | 500 | |
| Stopping criterion | Max iteration | |
| P-AMBA | Population size | 30 |
| Artificial bat (a,b,c,d,e,g) | [−1, 1] | |
| Fmin | 0 | |
| Fmax | 2 | |
| A | 0.25 | |
| r | 0.5 | |
| ε | [−1, 1] | |
| α | 0.9 | |
| γ | 0.9 | |
| Max iteration | 500 | |
| Stopping criterion | Max iteration |
| No. | Alg. | Best | Worst | Mean | std | Time | D/Opt |
|---|---|---|---|---|---|---|---|
| k1 | BPSO | 295.00 | 295.00 | 295.00 | 0.00 | 0.0105 | D = 10 Opt = 295 |
| BBA | 295.00 | 295.00 | 295.00 | 0.00 | 0.0520 | ||
| AMBA | 295.00 | 295.00 | 295.00 | 0.00 | 0.0534 | ||
| A-AMBA | 295.00 | 295.00 | 295.00 | 0.00 | 0.0553 | ||
| P-AMBA | 295.00 | 295.00 | 295.00 | 0.00 | 0.0579 | ||
| k2 | BPSO | 1024.00 | 860.00 | 949.15 | 42.48 | 0.0149 | D = 20 Opt = 1024 |
| BBA | 1024.00 | 1013.00 | 1021.45 | 3.72 | 0.0756 | ||
| AMBA | 1024.00 | 1010.00 | 1021.70 | 3.96 | 0.0654 | ||
| A-AMBA | 1024.00 | 995.00 | 1019.30 | 7.66 | 0.0672 | ||
| P-AMBA | 1024.00 | 1004.00 | 1022.05 | 5.60 | 0.0706 | ||
| k3 | BPSO | 2854.00 | 2494.00 | 2699.60 | 92.71 | 0.0335 | D = 50 Opt = 3103 |
| BBA | 2976.00 | 2303.00 | 2827.60 | 158.28 | 0.1510 | ||
| AMBA | 2956.00 | 2840.00 | 2884.13 | 29.81 | 0.1062 | ||
| A-AMBA | 2961.00 | 2813.00 | 2882.07 | 30.75 | 0.1086 | ||
| P-AMBA | 2989.00 | 2818.00 | 2885.40 | 36.24 | 0.1115 | ||
| k4 | BPSO | 3739.00 | 2786.00 | 3337.37 | 252.55 | 0.0526 | D = 80 Opt = 5183 |
| BBA | 4597.00 | 1349.72 | 3687.52 | 669.77 | 0.2205 | ||
| AMBA | 4780.00 | 3618.00 | 4295.47 | 406.05 | 0.1436 | ||
| A-AMBA | 4780.00 | 3734.00 | 4306.57 | 405.36 | 0.1483 | ||
| P-AMBA | 4780.00 | 3768.00 | 4408.03 | 425.51 | 0.1516 | ||
| k5 | BPSO | 13,683.00 | 11,873.00 | 13,042.40 | 473.75 | 0.0589 | D = 100 |
| BBA | 14,867.00 | 12,406.00 | 13,113.93 | 551.59 | 0.2662 | ||
| AMBA | 14,869.00 | 13,564.00 | 14,501.40 | 509.06 | 0.1620 | ||
| A-AMBA | 14,869.00 | 13,595.00 | 14,439.67 | 531.16 | 0.1676 | ||
| P-AMBA | 14,904.00 | 13,673.00 | 14,555.10 | 452.43 | 0.1705 | ||
| k6 | BPSO | 12,675.61 | 11,242.36 | 11,871.12 | 387.33 | 0.1138 | D = 200 |
| BBA | 12,797.70 | 11,406.46 | 11,974.79 | 332.13 | 0.5090 | ||
| AMBA | 12,873.84 | 11,215.95 | 12,085.26 | 379.63 | 0.2936 | ||
| A-AMBA | 12,806.88 | 11,409.21 | 12,100.93 | 374.24 | 0.2988 | ||
| P-AMBA | 12,877.02 | 11,547.41 | 12,126.24 | 312.29 | 0.3092 | ||
| k7 | BPSO | 18,244.04 | 15,668.21 | 17,089.19 | 509.09 | 0.2976 | D = 300 |
| BBA | 17,887.51 | 16,364.22 | 17,082.09 | 415.63 | 0.7407 | ||
| AMBA | 17,814.18 | 16,651.69 | 17,284.45 | 304.44 | 0.4052 | ||
| A-AMBA | 18,005.78 | 16,585.54 | 17,280.36 | 332.41 | 0.4202 | ||
| P-AMBA | 18,252.20 | 16,672.67 | 17,331.96 | 368.11 | 0.4317 | ||
| k8 | BPSO | 30,724.89 | 28,159.65 | 29,457.28 | 570.25 | 0.4615 | D = 500 |
| BBA | 30,503.68 | 28,795.94 | 29,564.48 | 437.66 | 1.2226 | ||
| AMBA | 30,873.78 | 28,933.24 | 29,822.73 | 514.35 | 0.6480 | ||
| A-AMBA | 30,787.96 | 28,877.36 | 29,776.48 | 459.65 | 0.6684 | ||
| P-AMBA | 31,238.10 | 28,992.05 | 29,981.75 | 687.97 | 0.6849 | ||
| k9 | BPSO | 46,563.54 | 42,342.29 | 44,851.12 | 922.30 | 0.4957 | D = 800 |
| BBA | 46,289.64 | 42,371.40 | 44,867.11 | 778.18 | 1.9901 | ||
| AMBA | 46,589.03 | 44,034.71 | 45,488.08 | 658.94 | 1.0144 | ||
| A-AMBA | 47,204.08 | 44,355.01 | 45,419.85 | 592.17 | 1.0372 | ||
| P-AMBA | 47,597.69 | 43,959.02 | 45,607.85 | 736.12 | 1.0652 | ||
| k10 | BPSO | 59,561.44 | 55,885.05 | 57,496.69 | 893.97 | 0.6484 | D = 1000 |
| BBA | 59,617.02 | 56,103.77 | 57,677.75 | 855.63 | 2.4772 | ||
| AMBA | 59,423.89 | 56,924.37 | 58,365.76 | 719.56 | 1.2627 | ||
| A-AMBA | 59,682.09 | 56,896.22 | 58,236.85 | 733.81 | 1.2869 | ||
| P-AMBA | 59,867.14 | 57,408.02 | 58,409.60 | 660.54 | 1.3196 | ||
| k11 | BPSO | 69,899.29 | 65,823.05 | 67,998.33 | 960.01 | 0.7627 | D = 1200 |
| BBA | 70,880.25 | 65,925.82 | 68,010.64 | 931.82 | 2.9429 | ||
| AMBA | 70,142.52 | 66,377.51 | 68,827.49 | 815.61 | 1.5098 | ||
| A-AMBA | 70,001.73 | 67,426.10 | 68,670.86 | 685.35 | 1.5353 | ||
| P-AMBA | 71,349.91 | 67,815.82 | 68,984.79 | 870.12 | 1.5722 | ||
| k12 | BPSO | 88,635.44 | 84,595.14 | 86,473.41 | 1108.52 | 0.9212 | D = 1500 |
| BBA | 89,195.16 | 84,320.84 | 86,486.67 | 1350.48 | 3.6654 | ||
| AMBA | 89,304.33 | 84,346.38 | 87,014.87 | 1138.13 | 1.8777 | ||
| A-AMBA | 88,575.85 | 85,092.06 | 86,678.28 | 979.82 | 1.9048 | ||
| P-AMBA | 89,408.59 | 84,120.74 | 87,074.01 | 1115.51 | 1.9664 |
Publisher’s Note: MDPI stays neutral with regard to jurisdictional claims in published maps and institutional affiliations. |
© 2021 by the authors. Licensee MDPI, Basel, Switzerland. This article is an open access article distributed under the terms and conditions of the Creative Commons Attribution (CC BY) license (http://creativecommons.org/licenses/by/4.0/).
Share and Cite
Dong, J.; Wang, Z.; Mo, J. A Phase Angle-Modulated Bat Algorithm with Application to Antenna Topology Optimization. Appl. Sci. 2021, 11, 2243. https://doi.org/10.3390/app11052243
Dong J, Wang Z, Mo J. A Phase Angle-Modulated Bat Algorithm with Application to Antenna Topology Optimization. Applied Sciences. 2021; 11(5):2243. https://doi.org/10.3390/app11052243
Chicago/Turabian StyleDong, Jian, Zhiyu Wang, and Jinjun Mo. 2021. "A Phase Angle-Modulated Bat Algorithm with Application to Antenna Topology Optimization" Applied Sciences 11, no. 5: 2243. https://doi.org/10.3390/app11052243
APA StyleDong, J., Wang, Z., & Mo, J. (2021). A Phase Angle-Modulated Bat Algorithm with Application to Antenna Topology Optimization. Applied Sciences, 11(5), 2243. https://doi.org/10.3390/app11052243

