Seismic Response of Container Crane under Near-Field and Far-Field Ground Motions
Abstract
Featured Application
Abstract
1. Introduction
2. Shaking Table Test of Container Crane
2.1. Shaking Table
2.2. A 1/20 Scale Container Crane
2.3. Instrumentation
3. Input Ground Motions
3.1. Original Input Ground Motion
3.2. Matched Input Ground Motion
3.3. Scaling Matched Input Ground Motion for the Shaking Table Test
4. Results and Discussions
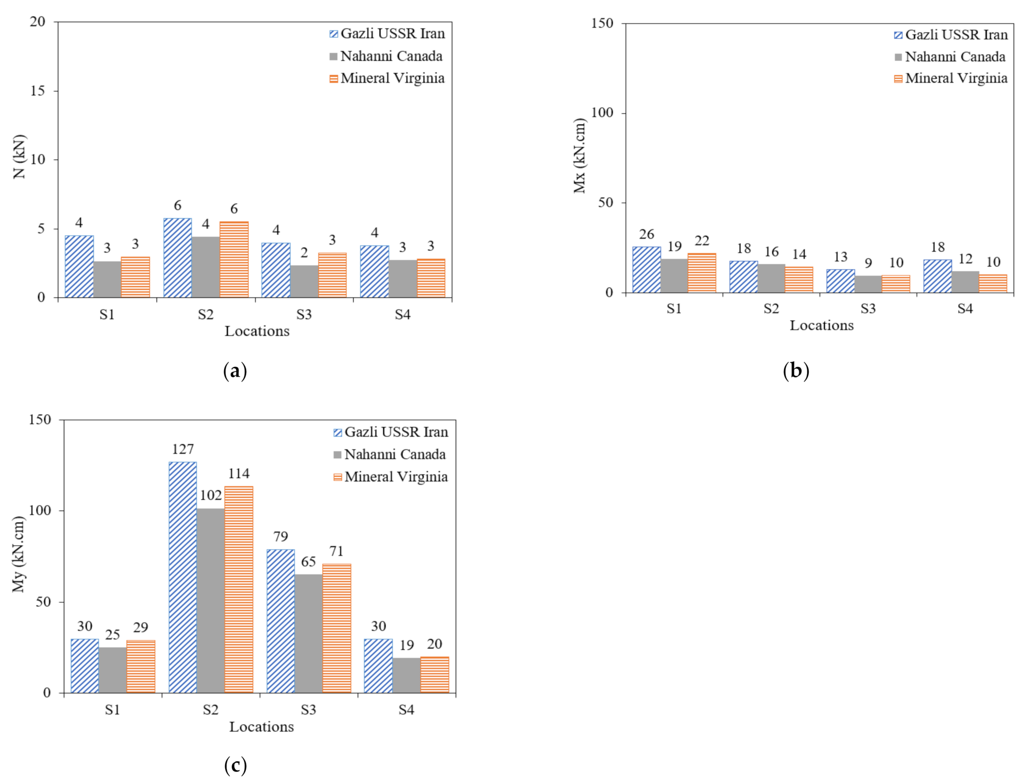
4.1. Moment at Landside and Seaside Legs
4.2. Portal Drift
4.3. Acceleration Response
5. Conclusions
Author Contributions
Funding
Institutional Review Board Statement
Informed Consent Statement
Data Availability Statement
Acknowledgments
Conflicts of Interest
References
- Chang, S.E. Disasters and transport systems: Loss, recovery and competition at the Port of Kobe after the 1995 earthquake. J. Transp. Geogr. 2000, 8, 53–65. [Google Scholar] [CrossRef]
- Kobayashi, N.; Kuribara, H.; Honda, T.; Watanabe, M. Nonlinear Seismic Responses of Container Cranes Including the Contact Problem Between Wheels and Rails. J. Press. Vessel Technol. 2004, 126, 59. [Google Scholar] [CrossRef]
- Tran, Q.H.; Huh, J.; Nguyen, V.B.; Kang, C.; Ahn, J.-H.; Park, I.-J. Sensitivity Analysis for Ship-to-Shore Container Crane Design. Appl. Sci. 2018, 8, 1667. [Google Scholar] [CrossRef]
- Huh, J.; Nguyen, V.B.; Tran, Q.H.; Ahn, J.H.; Kang, C. Effects of Boundary Condition Models on the Seismic Responses of a Container Crane. Appl. Sci. 2019, 9, 241. [Google Scholar] [CrossRef]
- Jaradat, O.; Ph, D.; Pe, D.; Asce, M.; Lai, C. Crane-wharf Interaction Nonlinear Time-History Analysis for Pier E Wharf at the Port of Long Beach. In Proceedings of the Port 2013 ASCE, Seattle, WA, USA, 25–28 August 2013; pp. 1255–1264. [Google Scholar]
- Tran, Q.H.; Huh, J.; Nguyen, V.B.; Haldar, A.; Kang, C.; Hwang, K.M. Comparative Study of Nonlinear Static and Time History Analyses of Typical Korean STS Container Cranes. Adv. Civ. Eng. 2018, 2018, 2176894. [Google Scholar] [CrossRef]
- Tran, Q.H.; Huh, J.; Doan, N.S.; Mac, V.H.; Ahn, J.H. Fragility Assessment of Container Crane under Seismic Excitation Considering Uplift and Derailment Behavior. Appl. Sci. 2019, 9, 4660. [Google Scholar] [CrossRef]
- Jin, Y.L.; Wu, T.X.; Li, Z.G. Shaking Table Tests and Numerical Analysis for Vertical Seismic Response of Quayside Container Cranes. Int. J. Struct. Stab. Dyn. 2012, 12, 1250034. [Google Scholar]
- Kanayama, T.; Kashiwazaki, A.; Shimizu, N.; Nakamura, I.; Kobayashi, N. Large shaking table test of a container crane by strong ground excitation. Proc. Press. Vessel. Pip. Conf. 1998, 36, 243–249. [Google Scholar]
- Jin, Y.; Zhang, X. Experimental seismic analysis of a quayside container crane structure using a scaled model. Proc. Inst. Mech. Eng. Part I J. Syst. Control Eng. 2013, 227, 645–661. [Google Scholar] [CrossRef]
- Kosbab, B.D. Seismic Performance Evaluation of Port Container Cranes Allowed to Uplift; Georgia Institute of Technology: Atlanta, GA, USA, 2010. [Google Scholar]
- Azeloglu, C.O.; Edincliler, A.; Sagirli, A. Investigation of seismic behavior of container crane structures by shake table tests and mathematical modeling. Shock Vib. 2014, 2014, 682647. [Google Scholar] [CrossRef]
- Sugano, T.; Takenobu, M.; Suzuki, T.; Shiozaki, Y. Design procedures of seismic-isolated container crane at port. In Proceedings of the 14th World Conference on Earthquake Engineering, 14th WCEE, Beijing, China, 12–17 October 2008. [Google Scholar]
- Kosbab, B.D.; Jacobs, L.D.; Desroches, R.; Leon, R.T. Analysis and testing of container cranes under earthquake loads. Tclee 2009 2009, 357, 80. [Google Scholar]
- Moncarz, P.D.; Krawinkler, H. Theory and Application of Experimental Model Analysis in Earthquake Engineering; Stanford University: Stanford, CA, USA, 1981. [Google Scholar]
- Harris, H.G.; Sabnis, G.M. Structural Modeling and Experimental Techniques, 2nd ed.; CRC Press: Boca Raton, FL, USA; London, UK; New York, NY, USA; Washington, DC, USA, 1999; ISBN 9780849324697. [Google Scholar]
- Jacobs, L.D. Shake Table Experiments for the Determination of the Seismic Response of Jumbo Container Cranes; Georgia Institute of Technology: Atlanta, GA, USA, 2010. [Google Scholar]
- Tochaei, E.N.; Taylor, T.; Ansari, F. Effects of near-field ground motions and soil-structure interaction on dynamic response of a cable-stayed bridge. Soil Dyn. Earthq. Eng. 2020, 133, 106115. [Google Scholar] [CrossRef]
- Brun, M.; Reynouard, J.M.; Jezequel, L.; Ile, N. Damaging potential of low-magnitude near-field earthquakes on low-rise shear walls. Soil Dyn. Earthq. Eng. 2004, 24, 587–603. [Google Scholar] [CrossRef]
- Davoodi, M.; Jafari, M.K.; Hadiani, N. Seismic response of embankment dams under near-fault and far-field ground motion excitation. Eng. Geol. 2013, 158, 66–76. [Google Scholar]
- Gorai, S.; Maity, D. Seismic response of concrete gravity dams under near field and far field ground motions. Eng. Struct. 2019, 196, 109292. [Google Scholar] [CrossRef]
- Grimaz, S.; Malisan, P. Near field domain effects and their consideration in the international and Italian seismic codes. Boll. Geofis. Teor. Appl. 2014, 55, 717–738. [Google Scholar]
- Konstandakopoulou, F.D.; Evangelinos, K.I.; Nikolaou, I.E.; Papagiannopoulos, G.A.; Pnevmatikos, N.G. Seismic analysis of offshore platforms subjected to pulse-type ground motions compatible with European Standards. Soil Dyn. Earthq. Eng. 2020, 129, 105713. [Google Scholar] [CrossRef]
- Blachowski, B.; Pnevmatikos, N. Neural network based vibration control of seismically excited civil structures. Period. Polytech. Civ. Eng. 2018, 62, 620–628. [Google Scholar] [CrossRef]
- Peng, Q.; Cheng, W.; Jia, H.; Guo, P. Fragility analysis of gantry crane subjected to near-field ground motions. Appl. Sci. 2020, 10, 4219. [Google Scholar] [CrossRef]
- Mills, R.S.; Krawinkler, H.; Gere, J.M. Model Tests on Earthquake Simulators-Development and Implementation of Experimental Procedures. Ph.D. Thesis, Stanford University, Stanford, CA, USA, 1979. [Google Scholar]
- Yadav, K.K.; Gupta, V.K. Near-fault fling-step ground motions: Characteristics and simulation. Soil Dyn. Earthq. Eng. 2017, 101, 90–104. [Google Scholar] [CrossRef]
- Chopra, A.K. Dynamics of Structures-Theory and Application to Earthquake Engineering; William, J.H., Ed.; Prentice Hall: Upper Saddle River, NJ, USA, 2011; ISBN 978-0-13-285803-8. [Google Scholar]
- Malhotra, P.K. Response of buildings to near-field pulse-like ground motions. Earthq. Eng. Struct. Dyn. 1999, 28, 1309–1326. [Google Scholar] [CrossRef]
- Korean Design Standard KDS 17 10 00. Korea Institute of Civil Engineering and Building Technology; Ministry of Land, Infrastructure and Transport: Seoul, Korea, 2018.
- Seismosoft. SeismoMatch: Earthquake Software for Response Spectrum. 2018. Available online: http://www.seismosoft.com (accessed on 4 August 2018).
- Hancock, J.; Watson-Lamprey, J.; Abrahamson, N.A.; Bommer, J.J.; Markatis, A.; McCoy, E.M.M.A.; Mendis, R. An improved method of matching response spectra of recorded earthquake ground motion using wavelets. J. Earthq. Eng. 2006, 10, 67–89. [Google Scholar] [CrossRef]
- Alatik, L.; Abrahamson, N. An improved method for nonstationary spectral matching. Earthq. Spectra 2010, 26, 601–617. [Google Scholar] [CrossRef]
- Galuk, Y.P.; Nickolaenko, A.; Hayakawa, M. Amplitude variations of ELF radio waves in the Earth–ionosphere cavity with the day–night non-uniformity. J. Atmos. Sol. Terr. Phys. 2018, 169, 23–36. [Google Scholar] [CrossRef]
- Guru, D.; Dinesh, R. Non-parametric adaptive region of support useful for corner detection: A novel approach. Pattern Recognit. 2004, 37, 165–168. [Google Scholar] [CrossRef]
- Viola, P.A.; Jones, M.J. Rapid Object Detection using a Boosted Cascade of Simple Features. In Proceedings of the 2001 IEEE Computer Society Conference on Computer Vision and Pattern Recognition. CVPR 2001, Kauai, HI, USA, 8–14 December 2001. [Google Scholar]












| Quantities | Symbol | Scale Factor | Quantities | Symbol | Scale Factor |
|---|---|---|---|---|---|
| Geometric length, l | 20 | Mass, m | 400 | ||
| Elastic modulus, E | 1 | Time, t | 4.472 | ||
| Acceleration, a | 1 | Moment of inertia, I | 160,000 |
| Earthquake | Year | Magnitude | EpiD (km) | PGA (g) | PGV (cm/s) | PGD (cm) | PGV/PGA (s) | PGD/PGV (s) |
|---|---|---|---|---|---|---|---|---|
| Nahanni Canada | 1985 | 6.76 | 22.36 | 0.14 | 3.34 | 0.98 | 0.025 | 0.296 |
| Mineral Virginia | 2011 | 5.8 | 53.8 | 0.12 | 1.67 | 0.73 | 0.014 | 0.438 |
| Gazli USSR Iran | 1976 | 6.8 | 12.82 | 0.61 | 65.38 | 25.38 | 0.110 | 0.388 |
Publisher’s Note: MDPI stays neutral with regard to jurisdictional claims in published maps and institutional affiliations. |
© 2021 by the authors. Licensee MDPI, Basel, Switzerland. This article is an open access article distributed under the terms and conditions of the Creative Commons Attribution (CC BY) license (http://creativecommons.org/licenses/by/4.0/).
Share and Cite
Nguyen, V.B.; Huh, J.; Meisuh, B.K.; Kim, J.; Park, I.-J. Seismic Response of Container Crane under Near-Field and Far-Field Ground Motions. Appl. Sci. 2021, 11, 1740. https://doi.org/10.3390/app11041740
Nguyen VB, Huh J, Meisuh BK, Kim J, Park I-J. Seismic Response of Container Crane under Near-Field and Far-Field Ground Motions. Applied Sciences. 2021; 11(4):1740. https://doi.org/10.3390/app11041740
Chicago/Turabian StyleNguyen, Van Bac, Jungwon Huh, Bismark Kofi Meisuh, Jongwoo Kim, and Inn-Joon Park. 2021. "Seismic Response of Container Crane under Near-Field and Far-Field Ground Motions" Applied Sciences 11, no. 4: 1740. https://doi.org/10.3390/app11041740
APA StyleNguyen, V. B., Huh, J., Meisuh, B. K., Kim, J., & Park, I.-J. (2021). Seismic Response of Container Crane under Near-Field and Far-Field Ground Motions. Applied Sciences, 11(4), 1740. https://doi.org/10.3390/app11041740

