Purely Gain-Coupled Distributed-Feedback Bragg Semiconductor Laser Diode Emitting at 770 nm
Abstract
1. Introduction
2. Materials and Methods
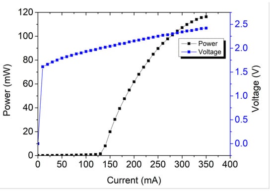
3. Results and Discussion
4. Conclusions
Author Contributions
Funding
Institutional Review Board Statement
Informed Consent Statement
Data Availability Statement
Acknowledgments
Conflicts of Interest
References
- Kanskar, M.; Cai, J.; Galstad, C.; He, Y.; Macomber, S.H.; Stiers, E.; Tatavarti-Bharatam, S.R.; Botez, D.; Mawst, J.L. High power conversion efficiency and wavelength-stabilized narrow bandwidth 975nm diode laser pumps. In Proceedings of the SPIE—The International Society for Optical Engineering, Orlando, FL, USA, 12 May 2006. [Google Scholar]
- Crump, P.; Schultz, C.M.; Wenzel, H.; Knigge, S.; Brox, O.; Maaßdorf, A.; Bugge, F.; Erbert, G. Reliable Operation of 976nm High Power DFB Broad Area Diode Lasers with over 60% POWER Conversion Efficiency. In Novel In-Plane Semiconductor Lasers X; International Society for Optics and Photonics: Bellingham, WA, USA, 2011. [Google Scholar]
- Spiebberger, S.; Schiemangk, M.; Wicht, A.; Wenzel, H.; Brox, O.; Erbert, G. Narrow Linewidth DFB Lasers Emitting Near a Wavelength of 1064 nm. J. Lightwave Technol. 2010, 28, 2611–2616. [Google Scholar] [CrossRef]
- Dridi, K.; Benhsaien, A.; Zhang, J.; Hinzer, K.; Hall, T.J. Narrow linewidth two-electrode 1560 nm laterally coupled distributed feedback lasers with third-order surface etched gratings. Opt. Express 2014, 22, 19087–19097. [Google Scholar] [CrossRef]
- Li, L.; Tang, S.; Huang, L.; Zhang, T.; Li, S.; Shi, Y.; Chen, X. Experimental demonstration of a low-cost tunable semiconductor DFB laser for access networks. Semicond. Ence Technol. 2014, 29, 095002. [Google Scholar] [CrossRef]
- Tilma, B.W.; Mangold, M.; Zaugg, C.A.; Link, S.M.; Waldburger, D.; Klenner, A.; Mayer, A.S.; Gini, E.; Golling, M.; Keller, U. Recent advances in ultrafast semiconductor disk lasers. Light Sci. Appl. 2015, 4, e310. [Google Scholar] [CrossRef]
- Zheng, J.; Shi, Y.; Zhang, Y.; Zheng, J.; Lu, J.; Chen, X. Monolithically Integrated Four-Channel DFB Semiconductor Laser Array With an Equivalent-Distributed Coupling Coefficient. IEEE Photonics J. 2015, 7, 1. [Google Scholar] [CrossRef]
- Nehrir, R.; Repasky, K.S.; Carlsten, J.L. Eye-safe diode-laser-based micropulse differential absorption lidar (DIAL) for water vapor profiling in the lower troposphere. J. Atmos. Ocean. Technol. 2011, 28, 131–147. [Google Scholar] [CrossRef]
- Kowalczyk, M.; Sotor, J.; Abramski, K.M. 59 fs mode-locked Yb:KGW oscillator pumped by a single-mode laser diode. Laser Phys. Lett. 2016, 13, 035801. [Google Scholar] [CrossRef]
- Noda, C.Q.; Uitenbroek, H.; Katsukawa, Y.; Shimizu, T.; Oba, T.; Carlsson, M.; Suárez, D.O.; Cobo, B.R.; Kubo, M.; Anan, T.; et al. Solar polarimetry through the KI lines at 770 nm. Mon. Not. R. Astron. Soc. 2018, 470, 1453–1461. [Google Scholar] [CrossRef]
- Brookes, J.R.; Isaak, G.R.; Van der Raay, H.B. A resonant-scattering solar spectrometer. Mon. Not. R. Astron. Soc. 1978, 185, 1–18. [Google Scholar] [CrossRef][Green Version]
- Bruls, J.H.M.J.; Rutten, R.J. The formation of helioseismology lines. II—Modeling of alkali resonance lines with granulation. Astron. Astrophys. 1992, 265, 257–267. [Google Scholar]
- Brox, O.; Bugge, F.; Mogilatenko, A.; Luvsandamdin, E.; Wicht, A.; Wenzel, H.; Erbert, G. Distributed feedback lasers in the 760 to 810 nm range and epitaxial grating design. Semicond. Sci. Technol. 2014, 29, 095018. [Google Scholar]
- Serkland, D.K.; Geib, K.M.; Peake, G.M.; Lutwak, R.; Rashed, A.; Varghese, M.; Tepolt, G.; Prouty, M. VCSELs for atomic sensors. In Proceedings of the SPIE—The International Society for Optical Engineering, San Jose, CA, USA, 23 February 2007. [Google Scholar]
- Nakano, Y.; Luo, Y.; Tada, K. AlGaAs/GaAs visible distributed feedback laser operating at 770 nm. Electron. Lett. 1987, 23, 1342–1343. [Google Scholar] [CrossRef]
- Krysa, A.B.; Roberts, J.S.; Devenson, J.; Beanland, R.; Karomi, I.; Shutts, S.; Smowton, P.M. InAsP/AlGaInP/GaAs QD laser operating at ~770 nm. In Proceedings of the International Symposium on Coherent Optical Radiation of Semiconductor Compounds and Structures, Moscow, Russia, 23–26 November 2016. [Google Scholar]
- Reinhold, A.; Fischer, M.; Zeller, W.; Koeth, J.; Höfling, S.; Kamp, M. Evanescently Coupled DBR Laser Arrays in the 760–770 nm Wavelength Range. IEEE Photonics Technol. Lett. 2019, 31, 1319–1322. [Google Scholar] [CrossRef]
- Nechay, K.; Kahle, H.; Penttinen, J.P.; Rajala, P.; Tukiainen, A.; Ranta, S.; Guina, M. AlGaAs/AlGaInP VECSELs With Direct Emission at 740–770 nm. IEEE Photonics Technol. Lett. 2019, 31, 1245–1248. [Google Scholar] [CrossRef]
- Kogelnik, H.; Shank, C.V. Coupled-wave theory of distributed feedback lasers. J. Appl. Phys. 1972, 43, 2327–2335. [Google Scholar] [CrossRef]
- Zuo, Q.; Zhao, J.Y.; Chen, X.; Wang, Z.H.; Sun, T.Y.; Zhou, N.; Zhao, Y.-L.; Xu, Z.-M.; Liu, W. A Multiple Phase-Shifted Distributed Feedback (DFB) Laser Fabricated by Nanoimprint Lithography. Chin. Phys. Lett. 2013, 30. [Google Scholar] [CrossRef]
- Zhang, L.M.; Carroll, J.E. Dynamics of index coupled DFB lasers with minimal spatial hole burning. IEEE Photonics Technol. Lett. 2002, 6, 486–488. [Google Scholar] [CrossRef]
- Correc, P. Stability of phase-shifted DFB lasers against hole burning. IEEE J. Quantum Electron. 2002, 30, 2467–2476. [Google Scholar] [CrossRef]
- Ogita, S.; Kotaki, Y.; Matsuda, M.; Kuwahara, Y.; Ishikawa, H. Long cavity multiple-phase-shift distributed feedback laser for linewidth narrowing. Electron. Lett. 1989, 25, 629–630. [Google Scholar] [CrossRef]
- Okai, M.; Tsuchiya, T.; Uomi, K.; Chinone, N.; Harada, T. Corrugation-pitch modulated MQW-DFB lasers with narrow spectral linewidth. IEEE Photonics Technol. Lett. 1991, 27, 1767–1772. [Google Scholar] [CrossRef]
- Shi, Y.; Li, S.; Li, J.; Jia, L.; Liu, S.; Chen, X. An apodized DFB semiconductor laser realized by varying duty cycle of sampling Bragg grating and reconstruction-equivalent-chirp technology. Optics Commun. 2010, 283, 1840–1844. [Google Scholar] [CrossRef]
- Li, G.P.; Makino, T. Single-mode yield analysis of partly gain-coupled multiquantum-well DFB lasers. IEEE Photonics Technol. Lett. 1993, 5, 1282–1284. [Google Scholar] [CrossRef]
- Nakano, Y.; Luo, Y.; Tada, K. Facet reflection independent, single longitudinal mode oscillation in a GaAlAs/GaAs distributed feedback laser equipped with a gain-coupling mechanism. Appl. Phys. Lett. 1989, 55, 1606–1608. [Google Scholar] [CrossRef]
- Luo, Y.; Nakano, Y.; Tada, K.; Inoue, T.; Hosomatsu, H.; Iwaoka, H. Purely gain-coupled distributed feedback semiconductor lasers. Appl. Phys. Lett. 1990, 56, 1620–1622. [Google Scholar] [CrossRef]
- Chen, Y.; Jia, P.; Zhang, J.; Qin, L.; Chen, H.; Gao, F.; Zhang, X.; Shan, X.; Ning, Y.; Wang, L. Gain-coupled distributed feedback laser based on periodic surface anode canals. Appl. Opt. 2015, 54, 8863. [Google Scholar] [CrossRef] [PubMed]
- Gao, F.; Qin, L.; Chen, Y.; Jia, P.; Chen, C.; Cheng, L.; Chen, H.; Liang, L.; Zeng, Y.; Zhang, X.; et al. Study of gain-coupled distributed feedback laser based on high order surface gain-coupled gratings. Opt. Commun. 2018, 410, 936–940. [Google Scholar] [CrossRef]
- Available online: http://www.photodigm.com/products/770-nm-laser-diode (accessed on 20 January 2021).
- Stry, S.; Thelen, S.; Sacher, J.; Halmer, D.; Hering, P.; Mürtz, M. Widely tunable diffraction limited 1000 mW external cavity diode laser in Littman/Metcalf configuration for cavity ring-down spectroscopy. Appl. Phys. B 2006, 85, 365–374. [Google Scholar] [CrossRef]
- Ito, F.; Tanifuji, T. Carrier-injection-type optical switch in GaAs with a 1.06–1.55 μm wavelength range. Appl. Phys. Lett. 1989, 54, 134–136. [Google Scholar] [CrossRef]
- Wang, B. Reseach on All Optical Solid-state X-ray Detection with Picosecond Resolusion Based on Refractive Index Modulation. Ph.D. Thesis, University of Chinese Academy of Sciences, Bejing, China, 2016. [Google Scholar]
- David, K.; Morthier, G. Gain-coupled DFB lasers versus index-coupled and phase-shifted DFB lasers: A comparison based on spatial hole burning corrected yield. IEEE J. Quantum Electron. 1991, 27, 1714–1723. [Google Scholar] [CrossRef]
- Decker, J.; Crump, P.; Fricke, J.; Maassdorf, A.; Erbert, G.; Trankle, G. Narrow Stripe Broad Area Lasers With High Order Distributed Feedback Surface Gratings. IEEE Photonics Technol. Lett. 2014, 26, 829–832. [Google Scholar] [CrossRef]
- Virtanen, H.; Uusitalo, T.; Karjalainen, M.; Ranta, S.; Viheriälä, J.; Dumitrescu, M. Narrow-Linewidth 780-nm DFB Lasers Fabricated Using Nanoimprint Lithography. IEEE Photonics Technol. Lett. 2017, 30, 51–54. [Google Scholar] [CrossRef]






| Material | Structure | Thickness (μm) | Dopant |
|---|---|---|---|
| GaAs | Cap | 0.1 | Carbon |
| Al(x)GaAs | P-cladding | 0.8 | Carbon |
| Al(x)GaAs | P-wave guide | 0.4 | Carbon |
| Al(x)In(y)GaAs | Quantum well | 0.0055 | Undoped |
| Al(x)GaAs | N-wave guide | 1 | Silicon |
| Al(x)GaAs | N-cladding | 1.5 | Silicon |
| GaAs | Buffer | 0.5 | Silicon |
Publisher’s Note: MDPI stays neutral with regard to jurisdictional claims in published maps and institutional affiliations. |
© 2021 by the authors. Licensee MDPI, Basel, Switzerland. This article is an open access article distributed under the terms and conditions of the Creative Commons Attribution (CC BY) license (http://creativecommons.org/licenses/by/4.0/).
Share and Cite
Ruan, C.; Chen, Y.; Qin, L.; Jia, P.; Zeng, Y.; Song, Y.; Lei, Y.; Zhang, Z.; Zhang, N.; Li, Z. Purely Gain-Coupled Distributed-Feedback Bragg Semiconductor Laser Diode Emitting at 770 nm. Appl. Sci. 2021, 11, 1531. https://doi.org/10.3390/app11041531
Ruan C, Chen Y, Qin L, Jia P, Zeng Y, Song Y, Lei Y, Zhang Z, Zhang N, Li Z. Purely Gain-Coupled Distributed-Feedback Bragg Semiconductor Laser Diode Emitting at 770 nm. Applied Sciences. 2021; 11(4):1531. https://doi.org/10.3390/app11041531
Chicago/Turabian StyleRuan, Chunkao, Yongyi Chen, Li Qin, Peng Jia, Yugang Zeng, Yue Song, Yuxin Lei, Zhijun Zhang, Nan Zhang, and Zaijin Li. 2021. "Purely Gain-Coupled Distributed-Feedback Bragg Semiconductor Laser Diode Emitting at 770 nm" Applied Sciences 11, no. 4: 1531. https://doi.org/10.3390/app11041531
APA StyleRuan, C., Chen, Y., Qin, L., Jia, P., Zeng, Y., Song, Y., Lei, Y., Zhang, Z., Zhang, N., & Li, Z. (2021). Purely Gain-Coupled Distributed-Feedback Bragg Semiconductor Laser Diode Emitting at 770 nm. Applied Sciences, 11(4), 1531. https://doi.org/10.3390/app11041531
