The Use of the Mixed Bacteria Limosilactobacillus fermentum and Staphylococcus carnosus in the Meat Curing Process with a Reduced Amount of Sodium Nitrite
Abstract
1. Introduction
2. Materials and Methods
2.1. Materials
2.1.1. The Lactic Acid Bacteria Strain (LAB) and Its Preparation
2.1.2. The Staphylococcus Carnosus Bacteria Strain and Its Preparation
2.1.3. Model Meat Product
2.2. Methods
2.2.1. pH Determination
2.2.2. Redox Potential Determination
2.2.3. Determination of Nitrate and Nitrite Content
2.2.4. Nitrosyl Pigments Determination
2.2.5. Instrumental Measurement of Colour
2.2.6. Microbiological Analysis
2.2.7. Sensory Evaluation
2.3. Statistical Analysis
3. Results and Discussion
3.1. Analysis of pH and Redox Potential
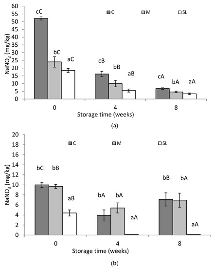
3.2. Nitrites and Nitrates Content
3.3. Nitrosyl Pigments Content
3.4. Colour Analysis after Production and Storage
3.5. Colour Analysis during Exposure to Light
3.6. Microbiological Quality of the Experimental Meat Products
3.7. Sensory Quality
4. Conclusions
Author Contributions
Funding
Institutional Review Board Statement
Informed Consent Statement
Data Availability Statement
Conflicts of Interest
References
- Sindelar, J.J.; Milkowski, A.L. Sodium Nitrite in Processed Meat and Poultry Meats: A Review of Curing and Examining the Risk/Benefit of Its Use. Am. Meat Sci. Assoc. AMSA White Pap. Ser. 2011, 3, 1–14. [Google Scholar]
- Majou, D.; Christieans, S. Mechanisms of the bactericidal effects of nitrate and nitrite in cured meats. Meat Sci. 2018, 145, 273–284. [Google Scholar] [CrossRef] [PubMed]
- Sebranek, G.J.; Bacus, J.N. Cured meat products without direct addition of nitrate or nitrite: What are the issues? Meat Sci. 2007, 77, 136–147. [Google Scholar] [CrossRef] [PubMed]
- Honikel, K.O. The use and control of nitrate and nitrite for the processing of meat products. Meat Sci. 2008, 78, 68–76. [Google Scholar] [CrossRef]
- Barbieri, G.; Bergamaschi, M.; Barbieri, G.; Franceschini, M. Kinetics of nitrite evaluated in a meat product. Meat Sci. 2013, 93, 282–286. [Google Scholar] [CrossRef]
- Arneth, W. Chemische Grundlagen der Umrötung. [Chemical principles of reddening]. Fleischwirtschaft 1998, 78, 868–874. [Google Scholar]
- Cassens, R.G. Use of sodium nitrite in cured meats today. Food Technol. 1995, 49, 72–80. [Google Scholar]
- Cassens, R.G.; Ito, I.; Lee, M.; Buege, D. The use of nitrite in meat. Bioscience 1978, 28, 633–637. [Google Scholar] [CrossRef]
- Sindelar, J.J.; Cordray, J.C.; Sebranek, J.G.; Love, J.A.; Ahn, D.U. Effects of varying levels of vegetable juice powder and incubation time on color, residual nitrate and nitrite, pigment, pH, and trained sensory attributes of ready-to-eat uncured ham. J. Food Sci. 2007, 72, 388–395. [Google Scholar] [CrossRef]
- Riazi, F.; Zeynali, F.; Hoseini, E.; Behmadi, H. Effect of Dry Red Grape Pomace as a Nitrite Substitute on the Microbiological and Physicochemical Properties and Residual Nitrite of Dry-cured Sausage. Nutr. Food Sci. Res. 2016, 3, 37–44. [Google Scholar] [CrossRef]
- European Commission. Ad-Hoc Study on the Monitoring of the Implementation of Directive 2006/52/EC as Regards the Use of Nitrites by Industry in Different Categories of Meat Products; Revised Interim Report; European Commission: Brussels, Belgium, 2015. [Google Scholar]
- Commission Decision (EU) 2018/702 of 8 May 2018 concerning national provisions notified by Denmark on the addition of nitrite to certain meat products (notified under document C(2018) 2721). Off. J. Eur. Union 2018, L118, 7–15.
- Cocconcelli, P.S.; Fontana, C. Characteristics and Applications of Microbial Starters in Meat Fermentation. In Meat Biotechnology; Toldrá, F., Ed.; Springer: New York, NY, USA, 2008; pp. 129–147. [Google Scholar]
- Hammes, W.P. Metabolism of nitrate in fermented meats: The characteristic feature of a specific group of fermented foods. Food Microbiol. 2012, 29, 151–156. [Google Scholar] [CrossRef] [PubMed]
- Szymański, P.; Łaszkiewicz, B.; Siekierko, U.; Kołożyn-Krajewska, D. Effects of the Use of Staphylococcus carnosus in the Curing Process of Meat with a Reduced Amount of Sodium Nitrite on Colour, Residue Nitrite and Nitrate, Content of Nitrosyl Pigments, and Microbiological and the Sensory Quality of Cooked Meat Product. J Food Qual. 2020, 7, 6141728. [Google Scholar] [CrossRef]
- Löfblom, J.; Rosenstein, R.; Nguyen, M.T.; Ståhl, S.; Götz, F. Staphylococcus carnosus: From starter culture to protein engineering platform. Appl. Microbiol. Biotechnol. 2017, 101, 8293–8307. [Google Scholar] [CrossRef] [PubMed]
- Mainar, M.M.; Stavropoulou, D.A.; Leroy, F. Exploring the metabolic heterogeneity of coagulase-negative staphylococci to improve the quality and safety of fermentem meats: A review. Int. J. Food Microbiol. 2017, 247, 24–37. [Google Scholar] [CrossRef] [PubMed]
- Chen, X.; Li, J.; Zhou, T.; Li, J.; Yang, J.; Chen, W.; Xiong, Y.L. Two efficient nitrite-reducing Lactobacillus strains isolated from traditional fermented pork (Nanx Wudl) as competitive starter cultures for Chinese fermented dry sausage. Meat Sci. 2016, 121, 302–309. [Google Scholar] [CrossRef]
- Rzepkowska, A.; Zielińska, D.; Ołdak, A.; Kołożyn-Krajewska, D. Organic whey as a source of Lactobacillus strains with selected technological and antimicrobial properties. Int. J. Food Sci. Technol. 2017, 52, 1983–1994. [Google Scholar] [CrossRef]
- Siu, D.; Henshall, A. Ion chromatographic determination of nitrate and nitrite in meat products. J. Chromatogr. A 1998, 804, 156–160. [Google Scholar] [CrossRef]
- Hornsey, M. The colour of cooked cured pork. J. Agric. Sci. 1956, 9, 534–540. [Google Scholar] [CrossRef]
- Hunt, M.; King, A. AMSA Meat Color Measurement Guidelines; American Meat Science Association: Savoy, IL, USA, 2012. [Google Scholar]
- Slima, S.B.; Ktari, N.; Trabelsi, I.; Triki, M.; Feki-Tounsi, M.; Moussa, H.; Makni, I.; Herrero, A.; Jiménez-Colmenero, F.; Ruiz-Capillas Perez, C.; et al. Effect of partial replacement of nitrite with a novel probiotic Lactobacillus plantarum TN8 on color, physico-chemical, texture and microbiological properties of beef sausages. LWT Food Sci. Technol. 2017, 86, 219–226. [Google Scholar] [CrossRef]
- Shin, D.M.; Hwang, K.E.; Lee, Ch.W.; Kim, T.K.; Park, Y.S.; Han, S.G. Effect of Swiss Chard (Beta vulgaris var. cicla) as Nitrite Replacement on Color Stability and Shelf-Life of Cooked Pork Patties during Refrigerated Storage. Korean J. Food Sci. Anim. 2017, 37, 418–428. [Google Scholar] [CrossRef]
- Wójciak, K.M.; Karwowska, M.; Dolatowski, Z.J. Use of acid whey and mustard seed to replace nitrites during cooked sausage production. Meat Sci. 2016, 96, 750–756. [Google Scholar] [CrossRef]
- Rubio, B.; Martínez, B.; Sánchez, M.J.; García-Cachán, M.A.D.; Rovira, J.; Jaime, I. Study of the shelf life of a dry fermented sausage “salchichon” made from raw material enriched in monounsaturated and polyunsaturated fatty acids and stored under modified atmospheres. Meat Sci. 2007, 76, 128–137. [Google Scholar] [CrossRef]
- Kumar, D.; Tanwar, V.K. Effects of incorporation of ground mustard on quality attributes of chicken nuggets. J. Food Sci. Technol. 2011, 48, 759–762. [Google Scholar] [CrossRef]
- Feng, X.; Li, Ch.; Jia, X.; Guo, Y.; Lei, N.; Hackman, R.M.; Chen, L.; Zhou, G. Influence of sodium nitrite on protein oxidation and nitrosation of sausages subjected to processing and storage. Meat Sci. 2016, 116, 260–267. [Google Scholar] [CrossRef]
- Bolotin, A.; Mauger, S.; Malarme, K.; Ehrlich, S.D.; Sorokin, A. Low-redundancy sequencing of the entire Lactococcus lactis IL1403 genome. Antonie Leeuwenhoek 1999, 76, 27–76. [Google Scholar] [CrossRef]
- Bolotin, A.; Wincker, P.; Mauger, S.; Jaillon, O.; Malarme, K.; Weissen-Bach, J.; Ehrlich, S.D.; Sorokin, A. The complete genome sequence of the lactic acid bacterium Lactococcus lactis ssp. lactis IL1403. Genome Res. 2001, 11, 731–753. [Google Scholar] [CrossRef]
- O’Bryan, C.A.; Crandall, P.G.; Ricke, S.C.; Ndahetuye, J.B. Lactic acid bacteria (LAB) as antimicrobials in food products: Analytical methods and applications. In Handbook of Natural Antimicrobials for Food Safety and Quality; Taylor, M., Ed.; Woodhead Publishing: Cambridge, UK, 2014; Volume 7, pp. 117–151. [Google Scholar] [CrossRef]
- Vinderola, G.; Ouwehand, A.; Salminen, S.; von Wright, A. Lactic Acid Bacteria. Microbiological and Functional Aspects, 5th ed.; Vinderola, G., Ouwehand, A., Salminen, S., von Wright, A., Eds.; CRC Press: Boca Raton, FL, USA, 2019. [Google Scholar] [CrossRef]
- Sebranek, J.G. Advances in the technology of nitrite use and consideration of alternatives. Food Technol. 1979, 33, 58–62. [Google Scholar]
- Gøtterup, J.; Olsen, K.; Knochel, S.; Tjener, K.; Stahnke, L.H.; Møller, J.K.S. Relationship between nitrate/nitrite reductase activities in meat associated staphylococci and nitrosylmyoglobin formation in a cured meat model system. Int. J. Food Microbiol. 2007, 120, 303–310. [Google Scholar] [CrossRef]
- Dodds, K.L.; Collins-Thompson, D.L. Incidence of nitrite depleting lactic acid bacteria in cured meats and in meat starter cultures. J. Food Prot. 1984, 47, 7–10. [Google Scholar] [CrossRef]
- Esmaeilzadeh, P.; Darvishi, S.; Mazaheri Assadi, M.; Mirahmadi, F. Effect of Lactobacillus plantarum and Lactobacillus fermentum on Nitrite Concentration and Bacterial Load in Fermented Sausage during Fermentation. World Appl. Sci. J. 2012, 18, 493–501. [Google Scholar] [CrossRef]
- Terns, M.J.; Milkowski, A.L.; Claus, J.R.; Sindelar, J.J. Investigating the effect of incubation time and starter culture addition level on quality attributes of indirectly cured, emulsified cooked sausages. Meat Sci. 2011, 88, 454–461. [Google Scholar] [CrossRef]
- Hospital, X.F.; Carballo, J.; Fernandez, M.; Arnau, J.; Gratacos, M.; Hierro, E. Technological implications of reducing nitrate and nitrite levels in dry-fermented sausages: Typical microbiota, residual nitrate and nitrite and volatile profile. Food Control 2015, 57, 275–281. [Google Scholar] [CrossRef]
- Jin, S.K.; Choi, J.S.; Yang, H.S.; Park, T.S.; Yim, D.G. Natural curing agents as nitrite alternatives and their effects on the physicochemical, microbiological properties and sensory evaluation of sausages during storage. Meat Sci. 2018, 146, 34–40. [Google Scholar] [CrossRef]
- Posthuma, J.A.; Rasmussen, F.D.; Sullivan, G.A. Effects of nitrite source, reducing compounds, and holding time on cured color development in a cured meat model system. LWT 2018, 95, 47–50. [Google Scholar] [CrossRef]
- Benjamin, N.; Collins, J. Nitrite. In Food Preservatives; Russell, N.J., Gould, G.W., Eds.; Kluwer Academic/Plenum Publishers: New York, NY, USA, 2003; pp. 102–118. [Google Scholar]
- Weinberg, E.D. The Lactobacilli anomaly: Total iron abstinence. Perspect. Biol. Med. 1997, 40, 578–583. [Google Scholar] [CrossRef]
- Heaton, K.M.; Cornforth, D.P.; Moiseev, I.V.; Egbert, W.R.; Carpenter, C.E. Minimum sodium nitrite levels for pinking of various cooked meats as related to use of direct or indirect-dried soy isolates in poultry rolls. Meat Sci. 2000, 55, 321–329. [Google Scholar] [CrossRef]
- Fernandez-Gines, J.M.; Fernandez-Lopez, J.; Sayas-Barbera, E.; Sendra, E.; Perez-Alvarezj, A. Effect of storage conditions on quality characteristics of Bologna Sausage made with citrus fiber. Food Sci. 2003, 68, 710–716. [Google Scholar] [CrossRef]
- Eyiler, E.; Oztan, A. Production of frankfurters with tomato powder as a natural additive. LWT 2011, 44, 307–311. [Google Scholar] [CrossRef]
- Ruiz-Capillas, C.; Tahmouzi, S.; Triki, M.; Rodríguez-Salas, L.; Jiménez-Colmenero, F.; Herrero, A.M. Nitrite-free Asian hot dog sausages reformulated with nitrite replacers. J. Food Sci. Technol. 2015, 52, 4333–4341. [Google Scholar] [CrossRef]
- Wójciak, K.M.; Stasiak, D.M.; Kęska, P. The Influence of Different Levels of Sodium Nitrite on the Safety, Oxidative Stability, and Color of Minced Roasted Beef. Sustainability 2019, 11, 3795. [Google Scholar] [CrossRef]
- Ismail, H.A.; Lee, E.J.; Ko, K.Y.; Ahn, D.U. Effects of aging time and natural antioxidants on the colour, lipid oxidation and volatiles of ground beef. Meat Sci. 2008, 80, 582–591. [Google Scholar] [CrossRef] [PubMed]
- Munk, M.B.; Huvaere, K.; Bocxlaer, J.V.; Skibsted, L.H. Mechanism of light-induced oxidation of nitrosylmyoglobin. Food Chem. 2010, 121, 472–479. [Google Scholar] [CrossRef]
- Kim, Y.H.; Nam, K.C.; Ahn, D.U. Color, oxidation-reduction potential, and gas production of irradiated meats from different animal species. Food Sci. 2002, 67, 1692–1695. [Google Scholar] [CrossRef]
- Ahn, D.U.; Nam, K.C. Use antioxidants to reduce lipid oxidation and off-odor volatiles of irradiates pork homogenates and patties. Meat Sci. 2003, 63, 1–8. [Google Scholar] [CrossRef]
- Cerveny, J.; Meyer, J.D.; Hall, P.A. Microbiological spoilage of meat and poultry products. In Food Microbiology and Food Safety; Sperber, W.H., Doyle, M.P., Eds.; Springer Science Business Media: New York, NY, USA, 2009; pp. 69–85. [Google Scholar] [CrossRef]
- Jeong, J.Y. Alternative curing technology in meat products. Anim. Food Sci. Ind. 2016, 5, 77–84. [Google Scholar]
- Vermeiren, L.; Devlieghere, F.; Debevere, J. Evaluation of meat born lactic acid bacteria as protective cultures for the biopreservation of cooked meat products. Int. J. Food Microbiol. 2004, 96, 149–164. [Google Scholar] [CrossRef]
- Victoria-León, T.; Totosaus, A.; Guerrero, I.; Pérez-Chabela, M.L. Efecto de bacterias ácido lácticas termoresistentes en salchichas cocidas. Cienc. Tecnol. Aliment. 2006, 5, 135–141. [Google Scholar] [CrossRef]
- Perez-Chabela, M.L.; Totosaus, A.; Guerrero, I. Evaluation of thermotolerant capacity of lactic acid bacteria isolated from commercial sausages and the effects of their addition on the quality of cooked sausages. Ciênc. Tecnol. Aliment. Camp. 2008, 28, 132–138. [Google Scholar] [CrossRef]
- Ruiz-Moyano, S.; Martín, A.; Benito, M.J.; Hernández, A.; Casquete, R.; Córdoba, M.G. Application of Lactobacillus fermentum HL57 and Pediococcus acidilactici SP979 as potential probiotics in the manufacture of traditional Iberian dry-fermented sausages. Food Microbiol. 2011, 28, 839–847. [Google Scholar] [CrossRef]



| Treatment | Storage Time (Weeks) | |||
|---|---|---|---|---|
| 0 | 4 | 8 | ||
| pH | C | 6.53 ±0.10 bB | 6.38 ± 0.06 bA | 6.42 ± 0.09 bAB |
| M | 6.55 ± 0.09 bB | 6.41 ± 0.07 bA | 6.43 ±0.08 bAB | |
| SL | 6.36 ± 0.09 aB | 6.23 ± 0.06 aA | 6.25± 0.05 aA | |
| redox (mV) | C | 235.2 ± 5.1 aA | 253.3 ± 3.9 aC | 246.5 ± 6.2 aB |
| M | 238.3 ± 4.6 aA | 247.7 ± 5.6 aB | 263.0 ± 3.4 aC | |
| SL | 246.5 ± 2.6 bA | 249.5 ± 4.8 aA | 257.5 ± 4.5 aA | |
| Treatment | Time of Exposure to Light (Hours) | |||||
|---|---|---|---|---|---|---|
| 0 | 2 | 5 | 24 | 48 | ||
| L* | C | 64.93 ± 0.49 bA | 65.47 ± 0.32 bB | 65.68 ± 0.42 bB | 66.06 ± 0.43 bC | 66.66 ± 0.31 bD |
| M | 64.45 ± 0.40 aA | 65.20 ± 0.36 aB | 65.31 ± 0.25 aB | 65.60 ± 0.34 aC | 66.39 ± 0.43 bD | |
| SL | 64.49 ± 0.32 aA | 65.16 ± 0.37 aB | 65.40 ± 0.37 aB | 65.71 ± 0.40 aC | 66.03 ± 0.50 aD | |
| a* | C | 10.02 ± 0.25 aE | 8.36 ± 0.20 aD | 7.14 ± 0.17 aC | 5.69 ± 0.14 aB | 5.48 ± 0.15 aA |
| M | 10.09 ± 0.18 aE | 8.43 ± 0.17 aD | 7.17 ± 0.12 aC | 5.68 ± 0.11 aB | 5.46 ± 0.14 aA | |
| SL | 10.55 ± 0.20 bD | 8.81 ± 0.23 bC | 7.37 ± 0.18 bB | 5.78 ± 0.15 aB | 5.67 ± 0.18 bA | |
| b* | C | 4.85 ± 0.17 aA | 6.66 ± 0.21 aB | 7.46 ± 0.21 aC | 7.77 ± 0.30 aD | 7.60 ± 0.22 aC |
| M | 4.89 ± 0.12 aA | 6.80 ± 0.13 abB | 7.56 ± 0.10 aC | 7.81 ± 0.19 aD | 7.66 ± 0.27 abC | |
| SL | 4.95 ± 0.20 aA | 6.76 ± 0.14 bB | 7.54 ± 0.174 aC | 7.93 ± 0.34 aE | 7.76 ± 0.20 bD | |
| hº | C | 25.77 ± 0.61 bA | 37.95 ± 0.78 bB | 44.68 ± 0.70 bC | 50.28 ± 0.67 aD | 50.32 ± 0.38 aD |
| M | 25.79 ± 0.59 bA | 38.26 ± 0.50 bB | 44.89 ± 0.41 bC | 50.39 ± 0.48 aD | 50.74 ± 0.69 bD | |
| SL | 25.05 ± 0.91 aA | 37.00 ± 0.63 aB | 44.18 ± 0.56 aC | 50.36 ± 0.50 aD | 50.31 ± 0.37 aD | |
| C* | C | 11.13 ± 0.28 aE | 10.69 ± 0.24 aD | 10.33 ± 0.21 aC | 9.63 ± 0.28 aB | 9.29 ± 0.24 aA |
| M | 11.21 ± 0.18 aE | 10.83 ± 0.19 aD | 10.41 ± 0.12 aC | 9.65 ± 0.18 aB | 9.40 ± 0.24 aA | |
| SL | 11.65 ± 0.22 bE | 11.11 ± 0.23 bD | 10.55 ± 0.21 bC | 9.81 ± 0.34 aB | 9.61 ± 0.25 bA | |
| ∆E* | C | - | 2.59 ± 0.19 aC | 1.57 ± 0.23 aB | 1.67 ± 0.32 abBC | 0.85 ± 0.52 aA |
| M | - | 2.68 ± 0.21 aC | 1.54 ± 0.18 aB | 1.59 ± 0.13 aB | 0.94 ± 0.55 aA | |
| SL | - | 2.65 ± 0.35 aC | 1.75 ± 0.22 bB | 1.75 ± 0.18 bB | 0.79 ± 0.37 aA | |
| Treatment | Time of Exposure to Light (Hours) | |||||
|---|---|---|---|---|---|---|
| 0 | 2 | 5 | 24 | 48 | ||
| L* | C | 65.30 ± 0.35 bA | 65.60 ± 0.38 bB | 65.69 ± 0.29 bB | 66.47 ± 0.36 bC | 66.75 ± 0.42 bD |
| M | 64.96 ± 0.42 aA | 65.28 ± 0.45 aB | 65.32 ± 0.25 aB | 65.94 ± 0.32 aC | 66.03 ± 0.33 aC | |
| SL | 64.85 ± 0.50 aA | 65.15 ± 0.51 aA | 65.13 ± 0.45 aA | 65.82 ± 0.48aB | 66.15 ± 0.39 aC | |
| a* | C | 10.35 ± 0.23 aE | 8.87 ± 0.23 aD | 7.30 ± 0.14 aC | 5.56 ± 0.15 aB | 5.31 ± 0.16 aA |
| M | 10.38 ± 0.16 aE | 8.81 ± 0.19 aD | 7.22 ± 0.10 aC | 5.59 ± 0.07 aB | 5.35 ± 0.13 aA | |
| SL | 10.94 ± 0.22bE | 9.00 ± 0.77 bD | 7.66 ± 0.18 bC | 5.80 ± 0.14 bB | 5.53 ± 0.15 bA | |
| b* | C | 4.77 ± 0.13 aA | 6.35 ± 0.21 aB | 7.21 ± 0.14 aC | 7.31 ± 0.20 aC | 7.67 ± 0.19 aD |
| M | 4.88 ± 0.13 bA | 6.48 ± 0.18 abB | 7.36 ± 0.15 bC | 7.36 ± 0.13 aC | 7.69 ± 0.25 aD | |
| SL | 5.08 ± 0.18 cA | 6.50 ± 0.22 bB | 7.53 ± 0.27 cC | 7.59 ± 0.22 bC | 8.02 ± 0.22 bD | |
| hº | C | 24.70 ± 0.70 aA | 35.21 ± 0.88 bB | 43.32 ± 0.63 aC | 49.56 ± 0.57 aD | 51.26 ± 0.42 aE |
| M | 24.73 ± 0.53 aA | 35.90 ± 0.90 bB | 44.10 ± 0.51 bC | 49.63 ± 0.32 aD | 51.16 ± 0.41 aE | |
| SL | 24.63 ± 0.68 aA | 34.96 ± 1.16 aB | 43.21 ± 0.90 aC | 49.49 ± 0.39 aD | 51.11 ± 0.56 aE | |
| C | C | 11.40 ± 0.22 aE | 10.91 ± 0.26 aD | 10.26 ± 0.15 aC | 9.19 ± 0.21 aA | 9.33 ± 0.22 aB |
| M | 11.63 ± 0.18 aE | 10.94 ± 0.19 aD | 10.31 ± 0.15 aC | 9.24 ± 0.12 aA | 9.37 ± 0.26 aB | |
| SL | 12.06 ± 0.25 bE | 11.23 ± 0.29 bD | 10.74 ± 0.26 bC | 9.56 ± 0.24 bA | 9.75 ± 0.22 bB | |
| ∆E* | C | - | 2.25 ± 0.31 aC | 1.83 ± 0.20 aB | 1.95 ± 0.29 bB | 0.70 ± 0.30 aA |
| M | - | 2.36 ± 0.28 aC | 1.91 ± 0.24 aB | 1.78 ± 0.20 aB | 0.64 ± 0.25 aA | |
| SL | - | 2.37 ± 0.32 aC | 1.93 ± 0.30 aB | 2.05 ± 0.26 bB | 0.76 ± 0.35 aA | |
| (log CFU/g) | Treatment | Storage Time (Weeks) | ||
|---|---|---|---|---|
| 0 | 4 | 8 | ||
| Total aerobic bacteria count * | C | 2.65 | 2.72 | 2.34 |
| M | 2.58 | 2.52 | 2.51 | |
| SL | 2.69 | 2.61 | 2.40 | |
| Lactic acid bacteria * | C | nd | nd | nd |
| M | nd | nd | nd | |
| SL | nd | nd | nd | |
| Staphylococcus * | C | nd | nd | nd |
| M | nd | nd | nd | |
| SL | nd | nd | nd | |
Publisher’s Note: MDPI stays neutral with regard to jurisdictional claims in published maps and institutional affiliations. |
© 2021 by the authors. Licensee MDPI, Basel, Switzerland. This article is an open access article distributed under the terms and conditions of the Creative Commons Attribution (CC BY) license (http://creativecommons.org/licenses/by/4.0/).
Share and Cite
Szymański, P.; Łaszkiewicz, B.; Kern-Jędrychowska, A.; Siekierko, U.; Kołożyn-Krajewska, D. The Use of the Mixed Bacteria Limosilactobacillus fermentum and Staphylococcus carnosus in the Meat Curing Process with a Reduced Amount of Sodium Nitrite. Appl. Sci. 2021, 11, 904. https://doi.org/10.3390/app11030904
Szymański P, Łaszkiewicz B, Kern-Jędrychowska A, Siekierko U, Kołożyn-Krajewska D. The Use of the Mixed Bacteria Limosilactobacillus fermentum and Staphylococcus carnosus in the Meat Curing Process with a Reduced Amount of Sodium Nitrite. Applied Sciences. 2021; 11(3):904. https://doi.org/10.3390/app11030904
Chicago/Turabian StyleSzymański, Piotr, Beata Łaszkiewicz, Aneta Kern-Jędrychowska, Urszula Siekierko, and Danuta Kołożyn-Krajewska. 2021. "The Use of the Mixed Bacteria Limosilactobacillus fermentum and Staphylococcus carnosus in the Meat Curing Process with a Reduced Amount of Sodium Nitrite" Applied Sciences 11, no. 3: 904. https://doi.org/10.3390/app11030904
APA StyleSzymański, P., Łaszkiewicz, B., Kern-Jędrychowska, A., Siekierko, U., & Kołożyn-Krajewska, D. (2021). The Use of the Mixed Bacteria Limosilactobacillus fermentum and Staphylococcus carnosus in the Meat Curing Process with a Reduced Amount of Sodium Nitrite. Applied Sciences, 11(3), 904. https://doi.org/10.3390/app11030904

