Demonstration of the Systematic Evaluation of an Optical Lattice Clock Using the Drift-Insensitive Self-Comparison Method
Abstract
1. Introduction
2. The Principle of the Drift-Insensitive Self-Comparison Method and the Experimental Setup
2.1. The Principle of the Drift-Insensitive Self-Comparison Method
2.2. Description of the Experimental Setup of 87Sr Optical Lattice Optical Clock
3. Experimental Results
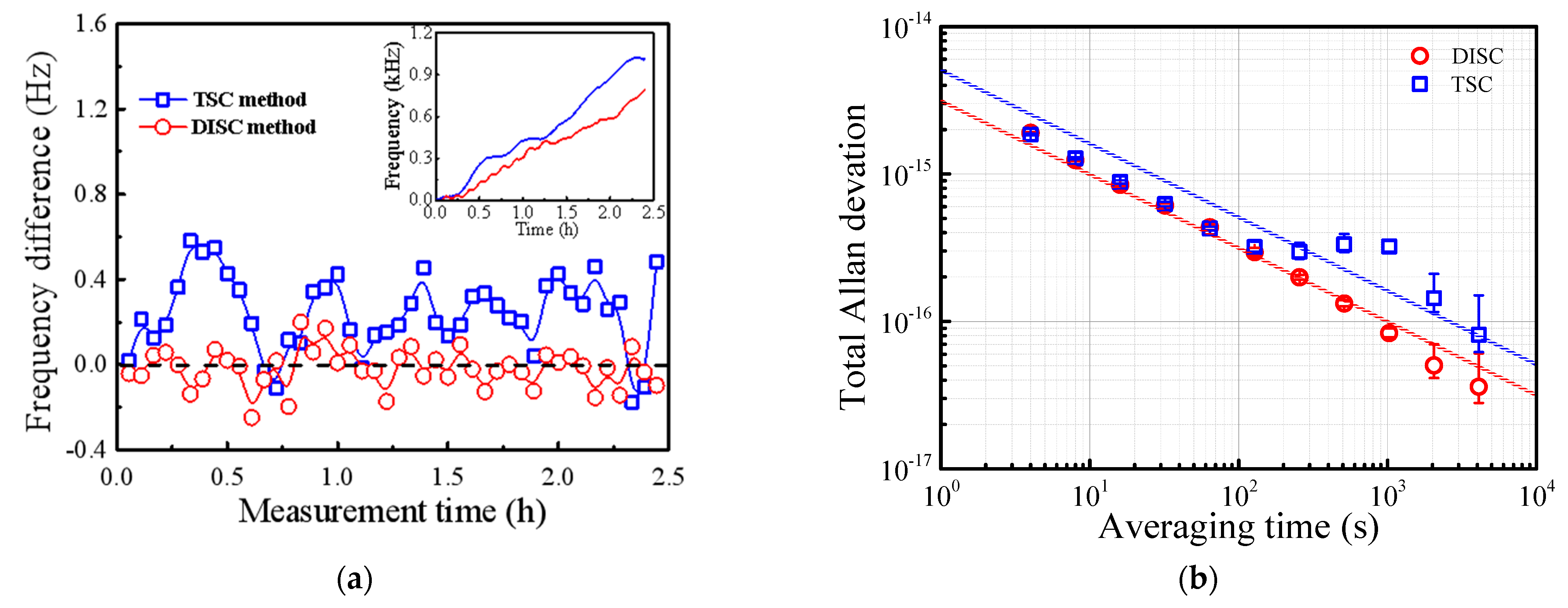
3.1. Self-Comparison Measurement Error Cancellation using the Drift-Insensitive Self-Comparison Method
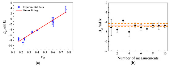
3.2. The Collisional Shift Evaluation
3.3. The Second-Order Zeeman Shift Evaluation
4. Conclusions
Author Contributions
Funding
Institutional Review Board Statement
Informed Consent Statement
Data Availability Statement
Conflicts of Interest
References
- Derevianko, A.; Katori, H. Colloquium: Physics of optical lattice clocks. Rev. Mod. Phys. 2011, 83, 331–347. [Google Scholar] [CrossRef]
- Ludlow, A.D.; Boyd, M.M.; Ye, J.; Peik, E.; Schmidt, P.O. Optical atomic clocks. Rev. Mod. Phys. 2015, 87, 637–701. [Google Scholar] [CrossRef]
- Oelker, E.; Hutson, R.B.; Kennedy, C.J.; Sonderhouse, L.; Bothwell, T.; Goban, A.; Kedar, D.; Sanner, C.; Robinson, J.M.; Marti, G.E.; et al. Demonstration of 4.8 × 10−17 stability at 1 s for two independent optical clocks. Nat. Photon. 2019, 13, 714–719. [Google Scholar] [CrossRef]
- McGrew, W.F.; Zhang, X.; Fasano, R.J.; Schäffer, S.A.; Beloy, K.; Nicolodi, D.; Brown, R.C.; Hinkley, N.; Milani, G.; Schioppo, M.; et al. Atomic clock performance enabling geodesy below the centimetre level. Nature 2018, 564, 87–90. [Google Scholar] [CrossRef] [PubMed]
- Chou, C.W.; Hume, D.B.; Rosenband, T.; Wineland, D.J. Optical clocks and relativity. Science 2010, 329, 1630–1633. [Google Scholar] [CrossRef] [PubMed]
- Delva, P.; Lodewyck, J.; Bilicki, S.; Bookjans, E.; Vallet, G.; Le Targat, R.; Pottie, P.-E.; Guerlin, C.; Meynadier, F.; Le Poncin-Lafitte, C.; et al. Test of special relativity using a fiber network of optical clocks. Phys. Rev. Lett. 2017, 118, 221102. [Google Scholar] [CrossRef] [PubMed]
- Roman, H.E. Time dilation effects on Earth surface: Optical lattice clocks measurements. Phys. Rev. D 2020, 102, 084064. [Google Scholar] [CrossRef]
- Sanner, C.; Huntemann, N.; Lange, R.; Tamm, C.; Peik, E.; Safronova, M.S.; Porsev, S.G. Optical clock comparison for Lorentz symmetry testing. Nat. Cell Biol. 2019, 567, 204–208. [Google Scholar] [CrossRef]
- Kolkowitz, S.; Pikovski, I.; Langellier, N.; Lukin, M.D.; Walsworth, R.L.; Ye, J. Gravitational wave detection with optical lattice atomic clocks. Phys. Rev. D 2016, 94, 124043. [Google Scholar] [CrossRef]
- Derevianko, A.; Pospelov, M. Hunting for topological dark matter with atomic clocks. Nat. Phys. 2014, 10, 933–936. [Google Scholar] [CrossRef]
- Arvanitaki, A.; Huang, J.; Van Tilburg, K. Searching for dilaton dark matter with atomic clocks. Phys. Rev. D 2015, 91, 015015. [Google Scholar] [CrossRef]
- Wcisło, P.; Morzyński, P.; Bober, M.; Cygan, A.; Lisak, D.; Ciuryło, R.; Zawada, M. Experimental constraint on dark matter detection with optical atomic clocks. Nat. Astron. 2016, 1, 0009. [Google Scholar] [CrossRef]
- Schiller, S.; Görlitz, A.; Nevsky, A.; Koelemeij, J.C.J.; Wicht, A.; Gill, P.; Klein, H.A.; Margolis, H.S.; Mileti, G.; Sterr, U.; et al. Optical clocks in space. Nucl. Phys. B Proc. Suppl. 2007, 166, 300–302. [Google Scholar] [CrossRef]
- Bongs, K.; Singh, Y.; Smith, L.; He, W.; Kock, O.; Świerad, D.; Hughes, J.; Schiller, S.; Alighanbari, S.; Origlia, S.; et al. Development of a strontium optical lattice clock for the SOC mission on the ISS. Comptes Rendus Phys. 2015, 16, 553–564. [Google Scholar] [CrossRef]
- Laurent, P.; Lemonde, P.; Simon, E.; Santarelli, G.; Clairon, A.; Dimarcq, N.; Petit, P.; Audoin, C.; Salomon, C. A cold atom clock in absence of gravity. Eur. Phys. J. D 1998, 3, 201–204. [Google Scholar] [CrossRef]
- Takano, T.; Takamoto, M.; Ushijima, I.; Ohmae, N.; Akatsuka, T.; Yamaguchi, A.; Kuroishi, Y.; Munekane, H.; Miyahara, B.; Katori, H. Geopotential measurements with synchronously linked optical lattice clocks. Nat. Photon. 2016, 10, 662–666. [Google Scholar] [CrossRef]
- Takamoto, M.; Ushijima, I.; Ohmae, N.; Yahagi, T.; Kokado, K.; Shinkai, H.; Kuroishi, Y.; Katori, H. Test of general relativity by a pair of transportable optical lattice clocks. Nat. Photon. 2020, 14, 411–415. [Google Scholar] [CrossRef]
- Ely, T.; Seubert, J.; Bell, J. Advancing Navigation, Timing, and Science with the Deep-Space Atomic Clock. In Proceedings of the 13th International Conference on Space Operations, Pasadena, CA, USA, 5–9 May 2014; pp. 105–138. [Google Scholar] [CrossRef][Green Version]
- Wang, Q.; Lin, Y.-G.; Meng, F.; Li, Y.; Lin, B.-K.; Zang, E.-J.; Li, T.-C.; Fang, Z.-J. Magic wavelength measurement of the 87Sr optical lattice clock at NIM. Chin. Phys. Lett. 2016, 33, 103201. [Google Scholar] [CrossRef]
- Nicholson, T.L. A New Record in Atomic Clock Performance. Ph.D. Thesis, University of Colorado, Boulder, CO, USA, 2015. [Google Scholar]
- Nicholson, T.L.; Campbell, S.L.; Hutson, R.B.; Marti, G.E.; Bloom, B.J.; McNally, R.L.; Zhang, W.; Barrett, M.D.; Safronova, M.S.; Strouse, G.F.; et al. Systematic evaluation of an atomic clock at 2 × 10−18 total uncertainty. Nat. Commun. 2015, 6, 6896. [Google Scholar] [CrossRef]
- Bloom, B.J.; Nicholson, T.L.; Williams, J.R.; Campbell, S.L.; Bishof, M.; Zhang, X.; Zhang, W.; Bromley, S.L.; Ye, J. An optical lattice clock with accuracy and stability at the 10–18 level. Nature 2014, 506, 71–75. [Google Scholar] [CrossRef]
- Rey, A.M.; Gorshkov, A.V.; Rubbo, C. Many-body treatment of the collisional frequency shift in fermionic atoms. Phys. Rev. Lett. 2009, 103, 260402. [Google Scholar] [CrossRef] [PubMed]
- Falke, S.; Schnatz, H.; Winfred, J.S.R.V.; Middelmann, T.; Vogt, S.; Weyers, S.; Lipphardt, B.L.; Grosche, G.; Riehle, F.; Sterr, U.; et al. The 87Sr optical frequency standard at PTB. Metrologia 2011, 48, 399–407. [Google Scholar] [CrossRef]
- Lu, X.; Yin, M.; Li, T.; Wang, Y.; Chang, H. An evaluation of the zeeman shift of the 87Sr optical lattice clock at the National Time Service Center. Appl. Sci. 2020, 10, 1440. [Google Scholar] [CrossRef]
- Lu, X.; Yin, M.; Li, T.; Wang, Y.; Chang, H. Demonstration of the frequency-drift-induced self-comparison measurement error in optical lattice clocks. J. Appl. Phys. 2020, 59, 070903. [Google Scholar] [CrossRef]
- Peik, E.; Schneider, T.; Tamm, C. Laser frequency stabilization to a single ion. J. Phys. B At. Mol. Opt. Phys. 2005, 39, 145–158. [Google Scholar] [CrossRef]
- Wang, Y.B.; Lu, X.T.; Lu, B.Q.; Kong, D.H.; Chang, H. Recent advances concerning the 87Sr optical lattice clock at the National Time Service Center. Appl. Sci. 2018, 8, 2194. [Google Scholar] [CrossRef]
- Takamoto, M.; Hong, F.-L.; Higashi, R.; Katori, H. An optical lattice clock. Nature 2005, 435, 321–324. [Google Scholar] [CrossRef]
- Blatt, S.; Thomsen, J.W.; Campbell, G.K.; Ludlow, A.D.; Swallows, M.D.; Martin, M.J.; Boyd, M.M.; Ye, J. Rabi spectroscopy and excitation inhomogeneity in a one-dimensional optical lattice clock. Phys. Rev. A 2009, 80, 052703. [Google Scholar] [CrossRef]
- McDonald, M.; McGuyer, B.H.; Iwata, G.Z.; Zelevinsky, T. Thermometry via light shifts in optical lattices. Phys. Rev. Lett. 2015, 114, 023001. [Google Scholar] [CrossRef]
- Lemke, N.D.; Ludlow, A.D.; Barber, Z.W.; Fortier, T.M.; Diddams, S.A.; Jiang, Y.; Jefferts, S.R.; Heavner, T.P.; Parker, T.E.; Oates, C.W. Spin-1/2 optical lattice clock. Phys. Rev. Lett. 2009, 103, 063001. [Google Scholar] [CrossRef]
- Sang, K.L.; Chang, Y.P.; Won-Kyu, L.; Dai-Hyuk, Y. Cancellation of collisional frequency shifts in optical lattice clocks with Rabi spectroscopy. New J. Phys. 2016, 18, 033030. [Google Scholar] [CrossRef]
- Gao, Q.; Zhou, M.; Han, C.; Li, S.; Zhang, S.; Yao, Y.; Li, B.; Qiao, H.; Ai, D.; Lou, G.; et al. Systematic evaluation of a 171Yb optical clock by synchronous comparison between two lattice systems. Sci. Rep. 2018, 8, 8022. [Google Scholar] [CrossRef] [PubMed]
- Ludlow, A.D.; Lemke, N.D.; Sherman, J.A.; Oates, C.; Quéméner, G.; Von Stecher, J.; Rey, A.M. Cold-collision-shift cancellation and inelastic scattering in a Yb optical lattice clock. Phys. Rev. A 2011, 84, 052724. [Google Scholar] [CrossRef]
- Boyd, M.M.; Zelevinsky, T.; Ludlow, A.D.; Blatt, S.; Zanon-Willette, T.; Foreman, S.M.; Ye, J. Nuclear spin effects in optical lattice clocks. Phys. Rev. A 2007, 76, 022510. [Google Scholar] [CrossRef]
- Bothwell, T.; Kedar, D.; Oelker, E.; Robinson, J.M.; Bromley, S.L.; Tew, W.L.; Ye, J.; Kennedy, C.J. JILA SrI optical lattice clock with uncertainty of 2.0 × 10−18. Metrologia 2019, 56, 065004. [Google Scholar] [CrossRef]




Publisher’s Note: MDPI stays neutral with regard to jurisdictional claims in published maps and institutional affiliations. |
© 2021 by the authors. Licensee MDPI, Basel, Switzerland. This article is an open access article distributed under the terms and conditions of the Creative Commons Attribution (CC BY) license (http://creativecommons.org/licenses/by/4.0/).
Share and Cite
Zhou, C.; Lu, X.; Lu, B.; Wang, Y.; Chang, H. Demonstration of the Systematic Evaluation of an Optical Lattice Clock Using the Drift-Insensitive Self-Comparison Method. Appl. Sci. 2021, 11, 1206. https://doi.org/10.3390/app11031206
Zhou C, Lu X, Lu B, Wang Y, Chang H. Demonstration of the Systematic Evaluation of an Optical Lattice Clock Using the Drift-Insensitive Self-Comparison Method. Applied Sciences. 2021; 11(3):1206. https://doi.org/10.3390/app11031206
Chicago/Turabian StyleZhou, Chihua, Xiaotong Lu, Benquan Lu, Yebing Wang, and Hong Chang. 2021. "Demonstration of the Systematic Evaluation of an Optical Lattice Clock Using the Drift-Insensitive Self-Comparison Method" Applied Sciences 11, no. 3: 1206. https://doi.org/10.3390/app11031206
APA StyleZhou, C., Lu, X., Lu, B., Wang, Y., & Chang, H. (2021). Demonstration of the Systematic Evaluation of an Optical Lattice Clock Using the Drift-Insensitive Self-Comparison Method. Applied Sciences, 11(3), 1206. https://doi.org/10.3390/app11031206

