Improvement of Wheat Grain Yield Prediction Model Performance Based on Stacking Technique
Abstract
1. Introduction
2. Materials and Methods
2.1. Experiment Location and Research Material
2.2. Data Collection and Processing
2.2.1. ASD Canopy Hyperspectral Data
2.2.2. Data Collection of Grain Yield
2.2.3. Data Collection of Leaf Area Index
2.3. Method
2.3.1. Construction of Vegetation Index
2.3.2. Correlation Analysis
2.3.3. Elastic Network Algorithm
2.3.4. Stacking Technology
2.3.5. Cross-Validation
2.3.6. Model Performance Evaluation
2.3.7. t-test
3. Results
3.1. Phenotypic Analysis
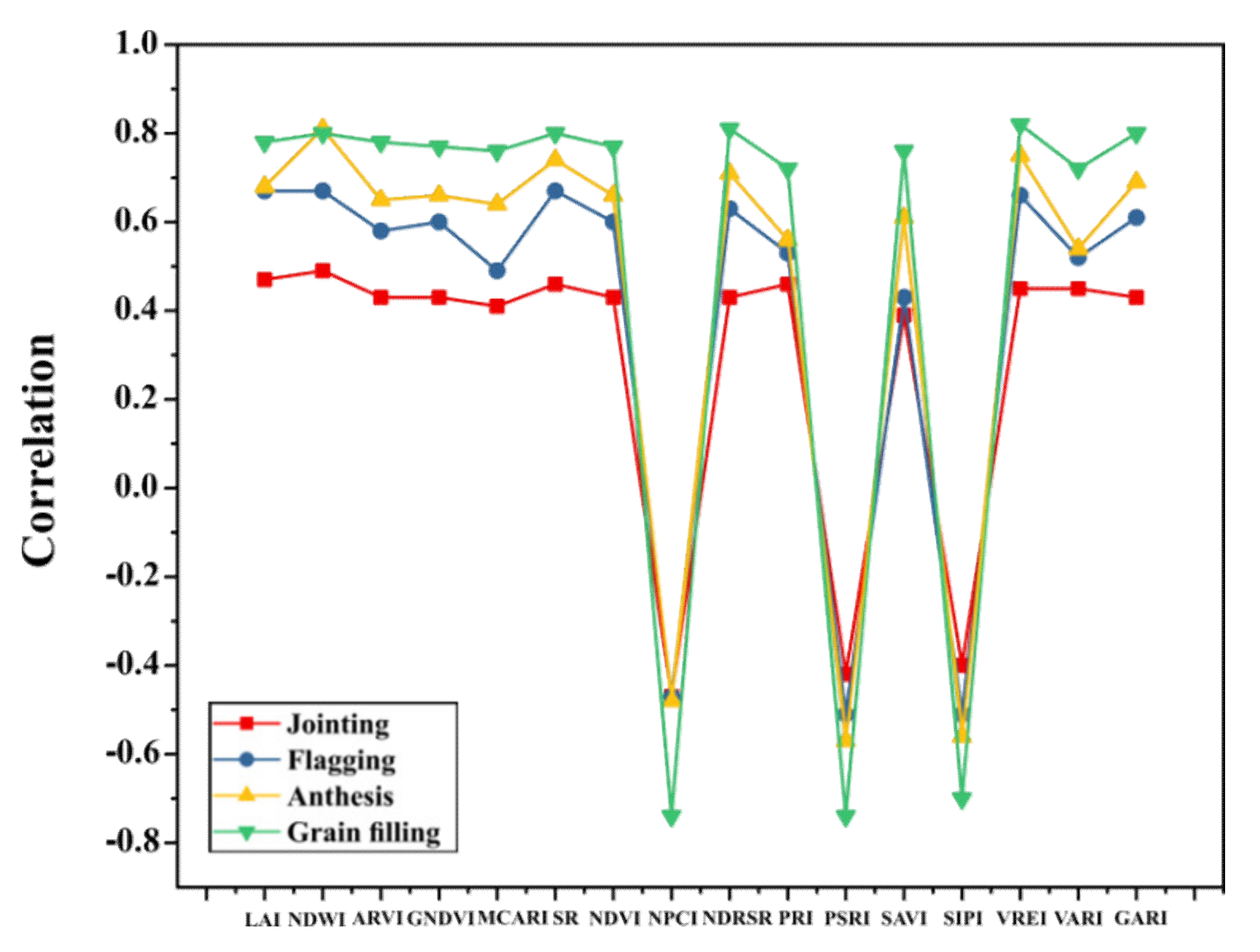
3.2. Correlations between Hyperspectral Vegetation Indices and Grain Yield
3.3. Elastic Network for Grain Yield Prediction
3.4. Comparative Analysis of Grain Yield Prediction Accuracy from Multiple Growth Stages
3.5. Weight Results for the Secondary Models
4. Discussion
5. Conclusions
Author Contributions
Funding
Institutional Review Board Statement
Informed Consent Statement
Data Availability Statement
Acknowledgments
Conflicts of Interest
Appendix A
| N2—W1—P2 | N1—W1—P1 | N4—W1—P2 | N3—W1—P1 |
| N4—W2—P2 | N3—W2—P1 | N2—W2—P2 | N1—W2—P1 |
| N3—W2—P2 | N4—W2—P1 | N1—W2—P2 | N2—W2—P1 |
| N1—W3—P2 | N2—W3—P1 | N3—W3—P2 | N4—W3—P1 |
| Measurement Dates | 2016–2017 | 2017–2018 | 2016–2018 | ||||||
|---|---|---|---|---|---|---|---|---|---|
| Treatments | MEAN (t ha−1) | SD (t ha−1) | CV (%) | MEAN (t ha−1) | SD (t ha−1) | CV (%) | MEAN (t ha−1) | SD (t ha−1) | CV (%) |
| N2—W1—P2 | 6.82 | 0.79 | 11.58 | 7.36 | 0.76 | 10.33 | 7.09 | 0.88 | 12.41 |
| N4—W2—P2 | 7.89 | 0.66 | 8.31 | 8.47 | 0.65 | 7.67 | 8.18 | 0.69 | 8.44 |
| N3—W2—P2 | 6.18 | 1.36 | 22.07 | 6.65 | 1.32 | 19.85 | 6.41 | 1.46 | 22.76 |
| N1—W3—P2 | 4.23 | 1.31 | 30.91 | 4.78 | 1.28 | 26.78 | 4.50 | 1.54 | 34.20 |
| N1—W1—P1 | 4.05 | 0.32 | 7.80 | 4.61 | 0.28 | 6.07 | 4.33 | 0.46 | 10.62 |
| N3—W2—P1 | 5.63 | 0.17 | 3.05 | 6.10 | 0.21 | 3.44 | 5.86 | 0.33 | 5.63 |
| N4—W2—P1 | 6.80 | 0.44 | 6.51 | 7.3 | 0.41 | 5.62 | 7.05 | 0.49 | 6.95 |
| N2—W3—P1 | 5.52 | 0.97 | 17.52 | 6.07 | 0.89 | 14.66 | 5.80 | 1.09 | 18.80 |
| N4—W1—P2 | 7.66 | 0.38 | 5.02 | 8.13 | 0.35 | 4.31 | 7.89 | 0.57 | 7.22 |
| N2—W2—P2 | 6.82 | 0.90 | 13.16 | 7.37 | 0.95 | 12.89 | 7.09 | 1.18 | 16.63 |
| N1—W2—P2 | 3.87 | 0.89 | 22.94 | 4.34 | 0.88 | 20.28 | 4.10 | 1.06 | 25.84 |
| N3—W3—P2 | 4.86 | 0.09 | 1.89 | 5.36 | 0.12 | 2.24 | 5.11 | 0.14 | 2.74 |
| N3—W1—P1 | 5.30 | 0.82 | 15.40 | 5.8 | 0.76 | 13.10 | 5.55 | 0.90 | 16.22 |
| N1—W2—P1 | 5.70 | 0.44 | 7.79 | 6.21 | 0.5 | 8.05 | 5.95 | 0.68 | 11.42 |
| N2—W2—P1 | 4.44 | 1.22 | 27.48 | 4.93 | 1.04 | 21.10 | 4.69 | 1.33 | 28.38 |
| N4—W3—P1 | 7.65 | 0.88 | 11.53 | 8.13 | 0.91 | 11.19 | 7.89 | 1.05 | 13.31 |
| Measurement Dates | 2016–2017 | 2017–2018 | 2016–2018 | ||||||
|---|---|---|---|---|---|---|---|---|---|
| Treatments | MEAN | SD | CV (%) | MEAN | SD | CV (%) | MEAN | SD | CV (%) |
| N2—W1—P2 | 2.33 | 0.5 | 21.43 | 2.83 | 0.52 | 18.37 | 2.58 | 0.57 | 22.08 |
| N4—W2—P2 | 3.93 | 0.18 | 4.59 | 4.41 | 0.21 | 4.76 | 4.17 | 0.26 | 6.24 |
| N3—W2—P2 | 3.25 | 0.55 | 16.92 | 3.75 | 0.66 | 17.60 | 3.50 | 0.69 | 19.71 |
| N1—W3—P2 | 1.62 | 0.17 | 10.52 | 2.17 | 0.19 | 8.76 | 1.89 | 0.23 | 12.15 |
| N1—W1—P1 | 2.04 | 0.3 | 14.67 | 2.61 | 0.32 | 12.26 | 2.33 | 0.35 | 15.04 |
| N3—W2—P1 | 3.42 | 0.25 | 7.32 | 3.93 | 0.24 | 6.11 | 3.67 | 0.29 | 7.90 |
| N4—W2—P1 | 3.31 | 0.3 | 9.05 | 3.87 | 0.28 | 7.24 | 3.59 | 0.33 | 9.19 |
| N2—W3—P1 | 1.62 | 0.21 | 12.95 | 2.17 | 0.2 | 9.22 | 1.90 | 0.27 | 14.24 |
| N4—W1—P2 | 3.44 | 0.46 | 13.38 | 3.96 | 0.51 | 12.89 | 3.70 | 0.59 | 15.96 |
| N2—W2—P2 | 2.56 | 0.25 | 9.76 | 3.04 | 0.35 | 11.51 | 2.80 | 0.38 | 13.57 |
| N1—W2—P2 | 1.67 | 0.29 | 17.41 | 2.16 | 0.38 | 17.59 | 1.91 | 0.40 | 20.91 |
| N3—W3—P2 | 2.19 | 0.2 | 9.15 | 2.71 | 0.25 | 9.24 | 2.45 | 0.27 | 11.03 |
| N3—W1—P1 | 3.11 | 0.64 | 20.56 | 3.62 | 0.68 | 18.78 | 3.37 | 0.72 | 21.39 |
| N1—W2—P1 | 3.01 | 0.15 | 4.99 | 3.49 | 0.21 | 6.02 | 3.25 | 0.24 | 7.39 |
| N2—W2—P1 | 2.01 | 0.39 | 19.40 | 2.53 | 0.43 | 17.00 | 2.27 | 0.46 | 20.26 |
| N4—W3—P1 | 3.93 | 0.20 | 5.09 | 4.46 | 0.21 | 4.71 | 4.19 | 0.32 | 7.63 |
| Measurement Dates | 2016–2017 | 2017–2018 | 2016–2018 | ||||||
|---|---|---|---|---|---|---|---|---|---|
| Treatments | MEAN | SD | CV (%) | MEAN | SD | CV (%) | MEAN | SD | CV (%) |
| N2—W1—P2 | 3.90 | 0.78 | 20.00 | 4.61 | 0.81 | 17.57 | 4.26 | 0.89 | 20.92 |
| N4—W2—P2 | 5.29 | 0.23 | 4.35 | 5.9 | 0.33 | 5.59 | 5.60 | 0.34 | 6.08 |
| N3—W2—P2 | 4.27 | 0.71 | 16.63 | 4.93 | 0.66 | 13.39 | 4.60 | 0.81 | 17.61 |
| N1—W3—P2 | 2.15 | 0.63 | 29.30 | 2.84 | 0.64 | 22.54 | 2.50 | 0.74 | 29.66 |
| N1—W1—P1 | 2.15 | 0.46 | 21.36 | 2.86 | 0.54 | 18.88 | 2.51 | 0.56 | 22.34 |
| N3—W2—P1 | 3.52 | 0.32 | 9.08 | 4.18 | 0.35 | 8.37 | 3.85 | 0.37 | 9.61 |
| N4—W2—P1 | 4.04 | 0.27 | 6.68 | 4.71 | 0.31 | 6.58 | 4.38 | 0.39 | 8.91 |
| N2—W3—P1 | 2.82 | 0.39 | 13.81 | 3.51 | 0.42 | 11.97 | 3.17 | 0.48 | 15.16 |
| N4—W1—P2 | 3.58 | 0.22 | 6.15 | 4.23 | 0.25 | 5.91 | 3.90 | 0.27 | 6.92 |
| N2—W2—P2 | 2.90 | 0.32 | 11.02 | 3.6 | 0.39 | 10.83 | 3.25 | 0.40 | 12.30 |
| N1—W2—P2 | 1.67 | 0.34 | 20.42 | 2.41 | 0.42 | 17.43 | 2.04 | 0.43 | 21.10 |
| N3—W3—P2 | 2.61 | 0.10 | 3.83 | 3.32 | 0.17 | 5.12 | 2.96 | 0.18 | 6.07 |
| N3—W1—P1 | 2.82 | 0.47 | 16.66 | 3.38 | 0.46 | 13.61 | 3.10 | 0.52 | 16.77 |
| N1—W2—P1 | 3.91 | 0.81 | 20.72 | 4.53 | 0.87 | 19.21 | 4.22 | 0.88 | 20.85 |
| N2—W2—P1 | 2.55 | 0.54 | 21.16 | 3.25 | 0.69 | 21.23 | 2.90 | 0.67 | 23.10 |
| N4—W3—P1 | 4.05 | 0.85 | 21.01 | 4.62 | 0.94 | 20.35 | 4.33 | 0.96 | 22.16 |
| Measurement Dates | 2016–2017 | 2017–2018 | 2016–2018 | ||||||
|---|---|---|---|---|---|---|---|---|---|
| Treatments | MEAN | SD | CV (%) | MEAN | SD | CV (%) | MEAN | SD | CV (%) |
| N2—W1—P2 | 3.42 | 0.78 | 22.79 | 4.31 | 0.81 | 18.79 | 3.87 | 0.89 | 23.02 |
| N4—W2—P2 | 5.89 | 1.16 | 19.69 | 6.68 | 1.09 | 16.32 | 6.29 | 1.31 | 20.84 |
| N3—W2—P2 | 5.09 | 1.42 | 27.91 | 5.92 | 1.38 | 23.31 | 5.50 | 1.55 | 28.16 |
| N1—W3—P2 | 2.09 | 0.54 | 25.83 | 2.95 | 0.58 | 19.66 | 2.52 | 0.66 | 26.19 |
| N1—W1—P1 | 1.54 | 0.28 | 18.19 | 2.43 | 0.32 | 13.17 | 1.98 | 0.37 | 18.64 |
| N3—W2—P1 | 4.26 | 0.35 | 8.23 | 5.12 | 0.38 | 7.42 | 4.69 | 0.41 | 8.75 |
| N4—W2—P1 | 4.84 | 0.42 | 8.68 | 5.67 | 0.43 | 7.58 | 5.25 | 0.49 | 9.33 |
| N2—W3—P1 | 2.68 | 0.40 | 14.95 | 3.56 | 0.46 | 12.92 | 3.12 | 0.47 | 15.08 |
| N4—W1—P2 | 3.92 | 0.40 | 10.20 | 4.73 | 0.44 | 9.30 | 4.33 | 0.49 | 11.33 |
| N2—W2—P2 | 3.27 | 0.49 | 15.00 | 4.14 | 0.50 | 12.08 | 3.70 | 0.56 | 15.12 |
| N1—W2—P2 | 1.25 | 0.34 | 27.20 | 2.15 | 0.52 | 24.19 | 1.68 | 0.47 | 27.97 |
| N3—W3—P2 | 2.75 | 0.48 | 17.44 | 3.65 | 0.5 | 13.70 | 3.20 | 0.56 | 17.49 |
| N3—W1—P1 | 3.18 | 0.45 | 14.14 | 3.72 | 0.47 | 12.63 | 3.45 | 0.51 | 14.78 |
| N1—W2—P1 | 4.32 | 0.75 | 17.37 | 5.21 | 0.7 | 13.44 | 4.76 | 0.83 | 17.42 |
| N2—W2—P1 | 2.55 | 0.83 | 32.54 | 3.5 | 0.89 | 25.43 | 3.03 | 0.98 | 32.39 |
| N4—W3—P1 | 4.22 | 0.35 | 8.29 | 5.06 | 0.31 | 6.13 | 4.64 | 0.43 | 9.26 |
| Measurement Dates | 2016–2017 | 2017–2018 | 2016–2018 | ||||||
|---|---|---|---|---|---|---|---|---|---|
| Treatments | MEAN | SD | CV (%) | MEAN | SD | CV (%) | MEAN | SD | CV (%) |
| N2—W1—P2 | 2.27 | 0.53 | 23.33 | 2.43 | 0.55 | 22.63 | 2.35 | 0.56 | 23.82 |
| N4—W2—P2 | 3.21 | 0.72 | 22.41 | 3.27 | 0.69 | 21.10 | 3.24 | 0.73 | 22.52 |
| N3—W2—P2 | 2.18 | 0.80 | 36.68 | 2.09 | 0.74 | 35.41 | 2.14 | 0.81 | 37.93 |
| N1—W3—P2 | 0.69 | 0.09 | 12.97 | 0.82 | 0.11 | 13.41 | 0.78 | 0.12 | 15.38 |
| N1—W1—P1 | 0.88 | 0.18 | 20.34 | 1.40 | 0.23 | 16.43 | 1.14 | 0.24 | 21.01 |
| N3—W2—P1 | 2.00 | 0.35 | 17.28 | 2.13 | 0.38 | 17.84 | 2.07 | 0.37 | 17.90 |
| N4—W2—P1 | 2.64 | 0.77 | 29.02 | 2.74 | 0.76 | 27.74 | 2.69 | 0.80 | 29.72 |
| N2—W3—P1 | 2.42 | 0.18 | 7.44 | 2.57 | 0.21 | 8.17 | 2.49 | 0.23 | 9.22 |
| N4—W1—P2 | 2.61 | 0.17 | 6.52 | 2.69 | 0.14 | 5.20 | 2.65 | 0.18 | 6.80 |
| N2—W2—P2 | 2.44 | 0.51 | 20.93 | 2.58 | 0.45 | 17.44 | 2.51 | 0.53 | 21.13 |
| N1—W2—P2 | 0.97 | 0.09 | 9.31 | 1.18 | 0.13 | 11.02 | 1.07 | 0.12 | 11.18 |
| N3—W3—P2 | 1.08 | 0.19 | 17.66 | 1.25 | 0.21 | 16.80 | 1.16 | 0.22 | 18.92 |
| N3—W1—P1 | 1.10 | 0.20 | 18.24 | 1.21 | 0.23 | 19.01 | 1.15 | 0.26 | 22.55 |
| N1—W2—P1 | 1.26 | 0.21 | 16.60 | 1.27 | 0.19 | 14.96 | 1.27 | 0.23 | 18.15 |
| N2—W2—P1 | 1.24 | 0.47 | 37.81 | 1.25 | 0.45 | 36.00 | 1.25 | 0.48 | 38.51 |
| N4—W3—P1 | 2.53 | 0.35 | 13.67 | 2.64 | 0.33 | 12.50 | 2.59 | 0.39 | 15.08 |
| Growth Stage | Input Features | R2 | RMSE (t ha−1) |
|---|---|---|---|
| Jointing | NDWI | 0.16 | 1.38 |
| VIs | 0.2 | 1.33 | |
| Flagging | NDWI | 0.18 | 1.36 |
| VIs | 0.4 | 1.18 | |
| Anthesis | NDWI | 0.42 | 1.2 |
| VIs | 0.56 | 1.06 | |
| Grain filling | VREI | 0.54 | 1.08 |
| VIs | 0.6 | 0.94 |




References
- Yang, M.; Adeel, H.M.; Xu, K.; Zheng, C.; Rasheed, A.; Zhang, Y.; Jin, X.; Xia, X.; Xiao, Y.; He, Z. Assessment of Water and Nitrogen Use Efficiencies Through UAV-Based Multispectral Phenotyping in Winter Wheat. Front. Plant Sci. 2020, 11, 927. [Google Scholar] [CrossRef]
- Hutchinson, C.F. Uses of satellite data for famine early warning in sub-Saharan Africa. Int. J. Remote Sens. 1991, 12, 1405–1421. [Google Scholar] [CrossRef]
- Franch, B.; Vermote, E.F.; Becker-Reshef, I.; Claverie, M.; Huang, J.; Zhang, J.; Justice, C.; Sobrino, J. Improving the timeliness of winter wheat production forecast in the United States of America, Ukraine and China using MODIS data and NCAR Growing Degree Day Information. Remote Sens. Environ. 2015, 161, 131–148. [Google Scholar] [CrossRef]
- Chen, Y.; Zhang, Z.; Tao, F. Improving regional winter wheat yield estimation through assimilation of phenology and leaf area index from remote sensing data. Eur. J. Agron. 2018, 101, 163–173. [Google Scholar] [CrossRef]
- Vanli, Ö.; Ahmad, I.; Ustundag, B.B. Area estimation and yield forecasting of wheat in southeastern turkey using a machine learning approach. J. Indian Soc. Remote Sens. 2020, 48, 1757–1766. [Google Scholar] [CrossRef]
- Wu, S.; Yang, P.; Ren, J.; Chen, Z.; Li, H. Regional winter wheat yield estimation based on the wofost model and a novel vw-4densrf assimilation algorithm. Remote Sens. Environ. 2021, 255, 112276. [Google Scholar] [CrossRef]
- Hatfield, J.L.; Prueger, J.H. Value of using different vegetative indices to quantify agricultural crop characteristics at different growth stages under varying management practices. Remote Sens. 2010, 2, 562–578. [Google Scholar] [CrossRef]
- Tao, H.; Feng, H.; Xu, L.; Miao, M.; Yang, G.; Yang, X.; Fan, L. Estimation of the yield and plant height of winter wheat using UAV-based hyperspectral images. Sensors 2020, 20, 1231. [Google Scholar] [CrossRef]
- Cao, J.; Zhang, Z.; Luo, Y.; Zhang, L.; Zhang, J.; Li, Z. Wheat yield predictions at a county and field scale with deep learning, machine learning, and google earth engine. Eur. J. Agron. 2021, 123, 126204. [Google Scholar] [CrossRef]
- Liu, C.; Chen, Z.; Shao, Y.; Chen, J.; Tuya, H.; Pan, H. Research advances of sar remote sensing for agriculture applications: A review. J. Integr. Agric. 2019, 18, 506–525. [Google Scholar] [CrossRef]
- Wang, P.; Li, Z.; Li, J.; Schmit, T.J. Added-value of geo-hyperspectral infrared radiances for local severe storm forecasts using the hybrid osse method. Ad. Atmos. Sci. 2021, 38, 1315–1333. [Google Scholar] [CrossRef]
- Fletcher, R.S. Using vegetation indices as input into random forest for soybean and weed classification. Am. J. Plant. Sci. 2016, 7, 2186–2198. [Google Scholar] [CrossRef]
- Wang, K.; Wang, X. Research on winter wheat yield estimation with the multiply remote sensing vegetation index combination. J. Arid Land Resour. Environ. 2017, 31, 44–49. [Google Scholar]
- Tao, H.; Xu, L. Winter wheat yield estimation based on UAV hyperspectral remote sensing data. Trans. Chin. Soc. Agric. Mach. 2020, 51, 146–155. [Google Scholar]
- Montesinos-López, O.A.; Montesinos-López, A.; Crossa, J.; de los Campos, G.; Alvarado, G.; Suchismita, M.; Jessica Rutkoski, J.; González-Pérez, L.; Burgueño, J. Predicting grain yield using canopy hyperspectral reflectance in wheat breeding data. Plant Methods 2017, 13, 4. [Google Scholar] [CrossRef]
- Parker, J.E.; Crowder, D.W.; Eigenbrode, S.D. Trap crop diversity enhances crop yield. Agric. Ecosys. Environ. 2016, 232, 254–262. [Google Scholar] [CrossRef]
- Sadeghi-Tehran, P.; Virlet, N.; Ampe, E.M.; Reyns, P.; Hawkesford, M.J. Deepcount: In-field automatic quantification of wheat spikes using simple linear iterative clustering and deep convolutional neural networks. Front. Plant Sci. 2019, 10, 1176. [Google Scholar] [CrossRef] [PubMed]
- Yao, X.; Wang, N.; Liu, Y.; Cheng, T.; Tian, Y.; Chen, Q.; Zhu, Y. Estimation of Wheat LAI at Middle to High Levels Using Unmanned Aerial Vehicle Narrowband Multispectral Imagery. Remote Sens. 2017, 9, 1304. [Google Scholar] [CrossRef]
- Shi, X.; Yu, Z.; Zhao, J.; Shi, Y.; Wang, X. Effect of Nitrogen Application Rateon Photosynthetic Characteristics, Dry Matter Accumulation and Distribution and Yield of High-Yielding Winter Wheat. J. Triticeae Crops 2021, 41, 713–721. [Google Scholar]
- Novelli, F.; Spiegel, H.; Sandén, T.; Vuolo, F. Assimilation of sentinel-2 leaf area index data into a physically-based crop growth model for yield estimation. Agronomy 2019, 9, 255. [Google Scholar] [CrossRef]
- Song, Y.; Wang, J.; Shang, J.; Liao, C. Using UAV-based SOPC derived LAI and SAFY model for biomass and yield estimation of winter wheat. Remote Sens. 2020, 12, 2378. [Google Scholar] [CrossRef]
- Li, C.; Ma, C.; Cui, Y.; Lu, G.; Wei, F. Uav hyperspectral remote sensing estimation of soybean yield based on physiological and ecological parameter and meteorological factor in china. J. Indian Soc. Remote 2020, 49, 873–886. [Google Scholar] [CrossRef]
- Dente, L.; Satalino, G.; Mattia, F.; Rinaldi, M. Assimilation of leaf area index derived from asar and meris data into ceres-wheat model to map wheat yield. Remote Sens. Environ. 2007, 112, 1395–1407. [Google Scholar] [CrossRef]
- Delécolle, R.; Maas, S.J.; Guérif, M.; Baret, F. Remote sensing and crop production models: Present trends. ISPRS J. Photogramm. 1992, 47, 145–161. [Google Scholar] [CrossRef]
- Hasan, M.M.; Chopin, J.P.; Laga, H.; Miklavcic, S.J. Detection and analysis of wheat spikes using convolutional neural networks. Plant Methods 2018, 14, 100. [Google Scholar] [CrossRef]
- Wu, X.; Tang, Y.; Li, C.; Wu, C.; Huang, G. Effect of waterlogging at different growth stages on flag leaf chlorophyll fluorescence and grain-filling properties of winter wheat. Chin. J. Eco-Agric. 2015, 23, 309–318. [Google Scholar]
- Jin, P.; Ru, Z.; Zhou, M.; Hou, Y.; He, H.; Luo, Y. Effects of low temperature and overcast rainy during spring on the yield characters of wheat. Crops Res. 2010, 24, 103–108. [Google Scholar]
- Chen, J.; Zhang, F.; Zhou, H.; Zhao, Y.; Wei, X. Effect of irrigation at different growth stages and nitrogen fertilizer on maize growth, yield and water use efficiency. J. Northwest A F Univ.-Nat. Sci. Ed. 2011, 39, 322–331. [Google Scholar]
- Guan, K.; Wu, J.; Kimball, J.S.; Anderson, M.C.; Frolking, S.; Li, B.; Hain, C.R.; Lobell, D.B. The shared and unique values of optical, fluorescence, thermal and microwave satellite data for estimating large-scale crop yields. Remote Sens. Environ. 2017, 199, 333–349. [Google Scholar] [CrossRef]
- Hernandez, J.; Lobos, G.; Matus, I.; del Pozo, A.; Silva, P.; Galleguillos, M. Using ridge regression models to estimate grain yield from field spectral data in bread wheat (Triticum aestivum L.) grown under three water regimes. Remote Sens. 2015, 7, 2109–2126. [Google Scholar] [CrossRef]
- Tan, H.; Li, S.; Wang, K.; Xie, R.; Gao, S.; Ming, B.; Qing, Y.; Lai, J.; Liu, G.; Tang, Q. Monitoring canopy chlorophyll density in seedlings of winter wheat using imaging spectrometer. Acta Agron. Sin. 2008, 34, 1812–1817. [Google Scholar] [CrossRef]
- Sun, B.Y.; Chang, Q.R.; Liu, M.Y. Inversion chlorophyll mass fraction in winter wheat canopy by hyperspectral reflectance. Acta Agric. Boreali. Sin. 2017, 26, 552–559. [Google Scholar]
- Patel, N.R.; Mohammed, A.J.; Rakhesh, D. Modeling of wheat yields using multi-temporal terra/modis satellite data. Geocarto Int. 2006, 21, 43–50. [Google Scholar] [CrossRef]
- Li, R.; Li, C.; Xu, X.; Wang, J.; Yang, X.; Huang, W.; Pan, Y. Winter wheat yield estimation based on support vector machine regression and multi-temporal remote sensing data. Trans. Chin. Soc. Agric. Eng. 2009, 25, 114–117. [Google Scholar]
- Li, Z.; Song, M.; Feng, H. Dynamic characteristics of leaf area index and plant height of winter wheat influenced by irrigation and nitrogen coupling and their relationships with yield. Trans. Chin. Soc. Agric. Eng. 2017, 33, 195–202. [Google Scholar]
- Ghizlane, A.; Eddine, D.J.; Imane, S.; Samir, B.; Ettarid, M. Mapping wheat dry matter and nitrogen content dynamics and estimation of wheat yield using UAV multispectral imagery machine learning and a variety-based approach: Case study of morocco. AgriEngineering 2021, 3, 29–49. [Google Scholar]
- Feng, L.; Zhang, Z.; Ma, Y.; Du, Q.; Williams, P.; Drewry, J.; Luck, B. Alfalfa yield prediction using UAV-based hyperspectral imagery and ensemble learning. Remote Sens. 2020, 12, 2028. [Google Scholar] [CrossRef]
- Clinton, N.; Yu, L.; Gong, P. Geographic stacking: Decision fusion to increase global land cover map accuracy. ISPRS J. Photogramm. Remote Sens. 2015, 103, 57–65. [Google Scholar] [CrossRef]
- Healey, S.P.; Cohen, W.B.; Yang, Z.; Brewer, C.K.; Brooks, E.B.; Gorelick, N.; Hernandez, A.; Huang, C.; Hughes, M.J.; Kennedy, R. Mapping forest change using stacked generalization: An ensemble approach. Remote Sens. Environ. 2018, 204, 717–728. [Google Scholar] [CrossRef]
- Fu, P.; Meacham-Hensold, K.; Guan, K.; Bernacchi, C.J. Hyperspectral leaf reflectance as proxy for photosynthetic capacities: An ensemble approach based on multiple machine learning algorithms. Front. Plant Sci. 2019, 10, 730. [Google Scholar] [CrossRef] [PubMed]
- Zhou, Z.; Yufang, J.; Bin, C.; Patrick, B. California almond yield prediction at the orchard level with a machine learning approach. Front. Plant Sci. 2019, 10, 809. [Google Scholar]
- Durbin, R.; Willshaw, D. An analogue approach to the travelling salesman problem using an elastic net method. Nature 1987, 326, 689–691. [Google Scholar] [CrossRef] [PubMed]
- Wang, Y.; Wang, S.; Zheng, Y.; Song, F.; Ma, Y.; Zhang, H. Calculation and allocation of operation and maintenance cost of power grid project based on elastic net. Autom. Electr. Power Syst. 2020, 44, 165–172. [Google Scholar]
- Chen, Y.; Xiao, G.; Hu, M.; Huang, J. Dam deformation prediction based on extreme learning machine and elastic network. Sci. Surv. Mapp. 2020, 45, 20–27+40. [Google Scholar]
- Osco, L.P.; Ramos, A.P.; Faita Pinheiro, M.M.; Moriya, É.A.S.; Imai, N.N.; Estrabis, N. A machine learning framework to predict nutrient content in valencia-orange leaf hyperspectral measurements. Remote Sens. 2020, 12, 906. [Google Scholar] [CrossRef]
- Fei, S.; Hassan, M.A.; He, Z.; Chen, Z.; Shu, M.; Wang, J.; Li, C.; Xiao, Y. Assessment of ensemble learning to predict wheat grain yield based on UAV-multispectral reflectance. Remote Sens. 2021, 13, 2338. [Google Scholar] [CrossRef]
- Gao, B.C. NDWI—A normalized difference water index for remote sensing of vegetation liquid water from space. Remote Sens. Environ. 1996, 58, 257–266. [Google Scholar] [CrossRef]
- Miura, T.; Huete, A.R.; Yoshioka, H.; Holben, B.N. An error and sensitivity analysis of atmospheric resistant vegetation indices derived from dark target-based atmospheric correction. Remote Sens. Environ. 2001, 78, 284–298. [Google Scholar] [CrossRef]
- Gitelson, A.A.; Merzlyak, M.N. Remote sensing of chlorophyll concentration in higher plant leaves. Adv. Space Res. 1998, 22, 689–692. [Google Scholar] [CrossRef]
- Daughtry, C.S.T.; Walthall, C.L.; Kim, M.S.; De Colstoun, E.B.; McMurtrey, J.E., III. Estimating corn leaf chlorophyll concentration from leaf and canopy reflectance. Remote Sens. Environ. 2000, 74, 229–239. [Google Scholar] [CrossRef]
- George, J.P.; Yang, W.; Kobayashi, H.; Biermann, T.; Carrara, A.; Cremonese, E.; Pisek, J. Method comparison of indirect assessments of understory leaf area index (LAlu): A case study across the extended network of ICOS forest ecosystem sites in Europe. Ecol. Indic. 2021, 128, 107841. [Google Scholar] [CrossRef]
- Tucker, C.J. Red and photographic infrared linear combinations for monitoring vegetation. Remote Sens. Environ. 1979, 8, 127–150. [Google Scholar] [CrossRef]
- Aparicio, N.; Villegas, D.; Royo, C.; Casadesus, J.; Araus, J.L. Effect of sensor view angle on the assessment of agronomic traits by ground level hyper-spectral reflectance measurements in durum wheat under contrasting mediterranean conditions. Int. J. Remote Sens. 2004, 25, 1131–1152. [Google Scholar] [CrossRef]
- Gitelson, A.A.; Viña, A.; Ciganda, V.; Rundquist, D.C.; Arkebauer, T.J. Remote estimation of canopy chlorophyll content in crops. Geophys. Res. Lett. 2005, 32, L08403. [Google Scholar] [CrossRef]
- Gamon, J.A.; Serrano, L.; Surfus, J.S. The photochemical reflectance index: An optical indicator of photosynthetic radiation use efficiency across species, functional types, and nutrient levels. Oecologia 1997, 112, 492–501. [Google Scholar] [CrossRef]
- Ren, S.; Chen, X.; An, S. Assessing plant senescence reflectance index-retrieved vegetation phenology and its spatiotemporal response to climate change in the Inner Mongolian Grassland. Int. J. Biometeorol. 2017, 61, 601–612. [Google Scholar] [CrossRef] [PubMed]
- Huete, A.; Didan, K.; Miura, T.; Rodriguez, E.P.; Gao, X.; Ferreira, L.G. Overview of the radiometric and biophysical performance of the modis vegetation indices. Remote Sens. Environ. 2002, 83, 195–213. [Google Scholar] [CrossRef]
- Peñuelas, J.; Filella, I. Visible and near-infrared reflectance techniques for diagnosing plant physiological status. Trends Plant Sci. 1998, 3, 151–156. [Google Scholar] [CrossRef]
- Manley, P.V.; Sagan, V.; Fritschi, F.B.; Burken, J.G. Remote sensing of explosives-induced stress in plants: Hyperspectral imaging analysis for remote detection of unexploded threats. Remote Sens. 2019, 11, 1827. [Google Scholar] [CrossRef]
- Gitelson, A.A.; Kaufman, Y.J.; Stark, R.; Rundquist, D. Novel algorithms for remote estimation of vegetation fraction. Remote Sens. Environ. 2002, 80, 76–87. [Google Scholar] [CrossRef]
- Monsef, H.A.E.; Smith, S.E. A new approach for estimating mangrove canopy cover using Landsat 8 imagery. Comput. Electron. Agric. 2017, 135, 183–194. [Google Scholar] [CrossRef]
- Cao, Y.; Wu, Y.; Li, M.; Liang, W.; Zhang, P. PolSAR image classification using a superpixel-based composite kernel and elastic net. Remote Sens. 2021, 13, 380. [Google Scholar] [CrossRef]
- Zou, H.; Hastie, T. Regularization and variable selection via the elastic net. J. R. Stat. Soc. Ser. B (Stat. Methodol.) 2005, 67, 301–320. [Google Scholar] [CrossRef]
- Zheng, N.; Luan, X.; Liu, F. Near infrared spectroscopy modeling based on adaptive elastic net method. Spectrosc. Spect. Anal. 2018, 39, 319–324. [Google Scholar]
- Dayananda, S.; Astor, T.; Wijesingha, J.; Chickadibburahalli Thimappa, S.; Dimba Chowdappa, H.; Mudalagiriyappa. Multi-temporal monsoon crop biomass estimation using hyperspectral imaging. Remote Sens. 2019, 11, 1771. [Google Scholar] [CrossRef]
- Yang, Q.; Shi, L.; Han, J.; Zha, Y.; Zhu, P. Deep convolutional neural networks for rice grain yield estimation at the ripening stage using UAV-based remotely sensed images. Field Crops Res. 2019, 235, 142–153. [Google Scholar] [CrossRef]
- Fisher, S. Boundary effects of persistent inputs and messages. J. Abnorm. Psychol. 1971, 77, 290–295. [Google Scholar] [CrossRef] [PubMed]
- Napier-Munn, T.J.; Meyer, D.H. A modified paired t-test for the analysis of plant trials with data autocorrelated in time. Miner. Eng. 1999, 12, 1093–1100. [Google Scholar] [CrossRef]
- Ma, Y.; Fang, S.; Peng, Y.; Gong, Y.; Wang, D. Remote estimation of biomass in winter oilseed rape (Brassica napus L.) using canopy hyperspectral data at different growth stages. Appl. Sci. 2019, 9, 545. [Google Scholar] [CrossRef]
- Kong, L.A.; Wang, F.; Feng, B.; Li, S.; Si, J.; Zhang, B. A root-zone soil regime of wheat: Physiological and growth responses to furrow irrigation in raised bed planting in northern China. Agron. J. 2010, 102, 154–162. [Google Scholar] [CrossRef]
- Bayat, B.; van der Tol, C.; Verhoef, W. Remote sensing of grass response to drought stress using spectroscopic techniques and canopy reflectance model inversion. Remote Sens. 2016, 8, 557. [Google Scholar] [CrossRef]
- Liu, C.; Sun, P.; Liu, S. A review of plant spectral reflectance response to water physiological changes. Chin. J. Plant Ecol. 2016, 40, 80–91. [Google Scholar]
- Zhang, J.; Zhang, H.; Li, S.; Li, J.; Yan, L.; Xia, L. Increasing yield potential through manipulating of an are1 ortholog related to nitrogen use efficiency in wheat by crispr/cas9. J. Integr. Plant Biol. 2021, 63, 1649–1663. [Google Scholar] [CrossRef]
- Slamet, W.; Purbajanti, E.D.; Darmawati, A.; Fuskhah, E. Leaf area index, chlorophyll, photosynthesis rate of lettuce (Lactuca sativa L) under N-organic fertilizer. Indian J. Agric. Res. 2017, 51, 365–369. [Google Scholar] [CrossRef][Green Version]
- Ke, L.; Zhou, Q.; Wu, W.; Xia, T.; Tang, H. Estimating the crop leaf area index using hyperspectral remote sensing. J. Integr. Agric. 2016, 15, 475–491. [Google Scholar]
- Wang, P.; Chen, C.; Zhang, S.; Zhang, Y.; Li, H. Winter wheat yield estimation based on copula function and remotely sensed LAI and VTCI. Trans. Chin. Soc. Agric. Mach. 2021, 52, 255–263. [Google Scholar]
- Ren, J.; Chen, Z.; Zhou, Q.; Tang, H. Regional yield estimation for winter wheat with MODIS-NDVI data in Shandong, China. Int. J. Appl. Earth Obs. 2008, 10, 403–413. [Google Scholar] [CrossRef]
- Zhang, Z.; Zhou, Y.; Yang, S.; Tan, C.; Lao, C.; Xu, C. Inversion Method for Soil Water Content in Winter Wheat Root Zone with Eliminating Effect of Soil Background. Trans. Chin. Soc. Agric. Mach. 2021, 52, 197–207. [Google Scholar]







| Vegetation Index | Name | Formula | Reference |
|---|---|---|---|
| NDWI | Normalized Difference Water Index | (R872 − R1245)/(R872 + R1245) | [47] |
| ARVI | Atmospherically Resistant Vegetation Index | (R872 − (R661 − (R488 − R661)))/(R872 + (R661 − (R488 − R661))) | [48] |
| GNDVI | Green Normalized Difference Vegetation Index | (R780 − R550)/(R780 + R550) | [49] |
| MCARI | Modified Chlorophyll Absorption Ratio Index | ((R702 − R671) − 0.2 × (R702 − R549)) × (R702/R671) | [50] |
| SR | Simple Ratio | R872/R661 | [51] |
| NDVI | Normalized Difference Vegetation Index | (R800 − R670)/(R800 + R670) | [52] |
| NPCI | Normalized Pigment Chlorophyll Index | (R680 − R430)/(R680 + R430) | [53] |
| NDRSR | Normalized Difference Red-edge Simple Ratio | (R872 − R712)/(R872 + R712) | [54] |
| PRI | Photochemical Reflectance Index | (R529 − R671)/(R529 + R671) | [55] |
| PSRI | Plant Senescence Reflectance Index | (R680 − R500)/R750 | [56] |
| SAVI | Soil Adjusted Vegetation Index | 1.5 × (R872 − R661)/(R872 + R661 + 0.5) | [57] |
| SIPI | Structure Insensitive Pigment Index | (R803 − R447)/(R803 − R681) | [58] |
| VREI | Vogelmann Red Edge Index | R742/R722 | [59] |
| VARI | Visible Atmospherically Resistant Index | (R559 − R661)/(R559 + R661 − R488) | [60] |
| GARI | Green Atmospherically Resistant Index | (R872 − (R559 − (R488 − R661)))/(R872 + (R559 − (R488 − R661))) | [61] |
| Measurement Dates | MEAN (t ha−1) | SD (t ha−1) | CV (%) |
|---|---|---|---|
| 2016–2017 | 5.84 | 0.95 | 16.27 |
| 2017–2018 | 6.35 | 1.12 | 17.64 |
| 2016–2018 | 6.10 | 1.24 | 20.33 |
| Measurement Dates | 2016–2017 | 2017–2018 | 2016–2018 | ||||||
|---|---|---|---|---|---|---|---|---|---|
| MEAN | SD | CV (%) | MEAN | SD | CV (%) | MEAN | SD | CV (%) | |
| Jointing | 2.71 | 0.52 | 19.19 | 3.23 | 0.59 | 18.27 | 2.97 | 0.66 | 22.20 |
| Flagging | 3.26 | 0.61 | 18.71 | 3.93 | 0.61 | 15.52 | 3.60 | 0.69 | 19.17 |
| Anthesis | 3.45 | 0.68 | 19.71 | 4.3 | 0.81 | 18.84 | 3.88 | 0.87 | 22.42 |
| Grain filling | 1.85 | 0.71 | 38.38 | 1.97 | 0.74 | 37.56 | 1.91 | 0.76 | 39.79 |
| Growth Stage | t | p Value |
|---|---|---|
| Jointing | 12.135 | 0.000 |
| Flagging | 32.264 | 0.000 |
| Anthesis | 9.106 | 0.000 |
| Grain filling | 26.525 | 0.000 |
| Model | t | p Value | |
|---|---|---|---|
| Without LAI | Ensemble vs. Jointing | 51.153 | 0.000 |
| Ensemble vs. Flagging | 39.902 | 0.000 | |
| Ensemble vs. Anthesis | 17.029 | 0.000 | |
| Ensemble vs. Grain filling | 15.711 | 0.000 | |
| With LAI | Ensemble vs. Jointing | 60.18 | 0.000 |
| Ensemble vs. Flagging | 39.092 | 0.000 | |
| Ensemble vs. Anthesis | 23.188 | 0.000 | |
| Ensemble vs. Grain filling | 16.646 | 0.000 |
Publisher’s Note: MDPI stays neutral with regard to jurisdictional claims in published maps and institutional affiliations. |
© 2021 by the authors. Licensee MDPI, Basel, Switzerland. This article is an open access article distributed under the terms and conditions of the Creative Commons Attribution (CC BY) license (https://creativecommons.org/licenses/by/4.0/).
Share and Cite
Li, C.; Wang, Y.; Ma, C.; Chen, W.; Li, Y.; Li, J.; Ding, F.; Xiao, Z. Improvement of Wheat Grain Yield Prediction Model Performance Based on Stacking Technique. Appl. Sci. 2021, 11, 12164. https://doi.org/10.3390/app112412164
Li C, Wang Y, Ma C, Chen W, Li Y, Li J, Ding F, Xiao Z. Improvement of Wheat Grain Yield Prediction Model Performance Based on Stacking Technique. Applied Sciences. 2021; 11(24):12164. https://doi.org/10.3390/app112412164
Chicago/Turabian StyleLi, Changchun, Yilin Wang, Chunyan Ma, Weinan Chen, Yacong Li, Jingbo Li, Fan Ding, and Zhen Xiao. 2021. "Improvement of Wheat Grain Yield Prediction Model Performance Based on Stacking Technique" Applied Sciences 11, no. 24: 12164. https://doi.org/10.3390/app112412164
APA StyleLi, C., Wang, Y., Ma, C., Chen, W., Li, Y., Li, J., Ding, F., & Xiao, Z. (2021). Improvement of Wheat Grain Yield Prediction Model Performance Based on Stacking Technique. Applied Sciences, 11(24), 12164. https://doi.org/10.3390/app112412164

