Next Article in Journal
Coverage Path Planning with Semantic Segmentation for UAV in PV Plants
Next Article in Special Issue
Seafood Processing, Preservation, and Analytical Techniques in the Age of Industry 4.0
Previous Article in Journal
The Influence of Electrolyte Flow Hydrodynamics on the Performance of a Microfluidic Dye-Sensitized Solar Cell
Previous Article in Special Issue
Role of Ovalbumin/β-Cyclodextrin in Improving Structural and Gelling Properties of Culter alburnus Myofibrillar Proteins during Frozen Storage
 
 
Font Type:
Arial Georgia Verdana
Font Size:
Aa Aa Aa
Line Spacing:
Column Width:
Background:
Article

Development of a Convenient Home Meal Replacement Product Containing Roasted Abalone (Haliotis discus hannai) with Honey Butter Sauce

by
Bertoka Fajar Surya Perwira Negara
1,2,3,
Hee-Jin Gong
1,
Jae-Hak Sohn
1,2,
Jin-Soo Kim
4,* and
Jae-Suk Choi
1,2,*
1
Seafood Research Center, IACF, Silla University, 606, Advanced Seafood Processing Complex, Wonyang-ro, Amnam-dong, Seo-gu, Busan 49277, Korea
2
Department of Food Biotechnology, College of Medical and Life Sciences, Silla University, 140, Baegyang-daero 700beon-gil, Sasang-gu, Busan 46958, Korea
3
Department of Marine Science, University of Bengkulu, Jl. W.R Soepratman, Bengkulu 38371, Indonesia
4
Department of Seafood and Aquaculture Science, Gyeongsang National University, 38 Cheondaegukchi-gil, Gyeongsangnam-do, Tongyeong-si 53064, Korea
*
Authors to whom correspondence should be addressed.
Appl. Sci. 2021, 11(24), 12091; https://doi.org/10.3390/app112412091
Submission received: 18 November 2021 / Revised: 16 December 2021 / Accepted: 17 December 2021 / Published: 19 December 2021

Abstract

:
Abalone (Haliotis discus hannai) has high nutritional value and market demand. However, it is generally sold as a raw product, which suffers from lengthy preparation, low commercial value, and a short shelf life. To address these problems, we processed abalone as a home meal replacement (HMR) product using superheated steam and quick freezing technology. Response surface methodology was used to optimize the roasting process. A test HMR product was produced by mixing roasted abalone with honey butter sauce at a ratio of 70:30 (w/w), then evaluated for its physicochemical, biological, and nutritional characteristics and shelf life. Roasting abalone at 220 °C for 2 min resulted in high scores for hardness and overall acceptance. The roasting process successfully maintained the chemical characteristics of abalone, including pH, volatile basic nitrogen, and thiobarbituric acid-reactive substances. The sensory characteristics of the test HMR product were maintained using quick freezing methods. Moreover, nutritional analysis revealed that the test HMR product contained macro- and micronutrients, amino acids, and fatty acids, which could contribute to meeting daily nutritional needs. The estimated shelf life of the product was 30 months. Therefore, this study successfully developed a high-quality HMR product containing abalone.

1. Introduction

Abalone (Haliotis discus hannai) is a seafood product with a high market demand and excellent nutritional properties. It is classified as a gastropod of the Haliotidae family, which lives in the rocky coasts and reefs of temperate and tropical coastal areas [1]. Abalone is low in fat and contains high levels of nutrients that are beneficial for maintenance and growth of the human body, including proteins, minerals, amino acids, and fatty acids [2]. Moreover, abalone muscle is reported to contain minerals such as potassium [3]; thus, it is classified as a high-quality food source.
The global aquaculture production of abalone increases every year. In Korea, aquaculture production of abalone was approximately 23,815 tons in 2019 [4]. However, as a seafood product, abalone easily suffers from reduced freshness and spoiling; therefore, aquaculture production often includes processing methods to improve the shelf life and increase the scale of distribution. In East Asia, abalone is recognized as a popular and healthy form of seafood [5], where it is frequently consumed raw, steamed, grilled, semidried, and boiled. In Korea, abalone is commonly processed as buttery grilled abalone, which is known as jeonbog beoteogu-i. Moreover, abalone is currently processed into frozen, dried, and canned abalone products to prolong its shelf life and distribution range. However, all of these products are raw products that require further processing into food. Considering the increasing number of people who work and have little time for cooking, the demand for convenience food and long-shelf-life products, as well as home meal replacement (HMR) products, has also increased.
HMR products are designed to have high nutritional value, a long shelf life, and ease of preparation, with the ability to be distributed worldwide [6,7,8]. Nowadays, the market for HMR products, and particularly seafood HMR products, is rapidly expanding. Therefore, considering the popularity and high nutritional value of abalone, the development of an abalone-based HMR product has a huge potential market; however, to the best of our knowledge, none have yet been developed. Moreover, as the quality of seafood HMR products continues to improve, improvements in production technology are required to produce high-quality products. For example, Negara et al. [6] reported that the application of superheated steam enhanced the quality of seafood HMR products. Superheated steam has also been proven to reduce lipid oxidation and preserve food nutrient substances, color, and texture better than traditional cooking methods can [9,10,11,12]. Nevertheless, the optimum manufacturing conditions required to maintain the nutritional status of abalone during production have not yet been determined.
In this study, we develop abalone as an HMR product and determine the optimum manufacturing conditions. We also examine the physicochemical properties, nutritional characteristics, and shelf life of HMR abalone. The findings of this study are designed to be directly adopted by the seafood industry.

2. Materials and Methods

2.1. Preparation of the Raw Materials

Frozen abalone samples were provided by EBADA Fishery Co., Ltd. (Busan, Korea). Sample drip loss was measured using the filter-paper wetness method [13] under three different conditions: room temperature (18–20 °C), water temperature (22–24 °C), and high-frequency defrosting (HFD). A TEMPERTRON FRT-10 HFD machine (Yamamoto Vinita Co. Ltd., Osaka, Japan) was used to thaw the samples under HFD conditions.

2.2. Roasting Process

Thawed abalone was roasted using an Aero Superheated Oven DFC-560A-2R/L (Naomoto Co., Osaka, Japan). The temperature was set to 182 °C for 2 min, 190 °C for 1.4 min and 2.2 min, 230 °C for 1.4 min and 2.2 min, 238 °C for 2 min, and 210 °C for 1.3 min, 2.0 min, and 2.28 min. The temperature and time for roasting were optimized using response surface methodology (RSM) with a total of 11 experimental runs, consisting of low, central, and high factor levels. These experimental designs were used to evaluate the hardness and overall acceptance of the samples.

2.3. Preparation of Test HMR Products

Prior to the production of test HMR products, honey butter sauce was prepared using the ingredients listed in Table 1. The roasted abalone was cut into 4 mm slices. The test HMR product was then produced by mixing roasted abalone with honey butter sauce at a ratio of 70:30 (w/w). Mixed abalone and honey butter sauce were packed into a polypropylene plastic bowl (New Ecopack Co. Ltd., Jeonju, Korea) and covered with plastic film in a TPS-TS3T sealing machine (TPS Co. Ltd., Kyungkido, Korea) for 5 s at 180 °C. The packed samples were frozen using a QF-700 quick freezer (Alpha Tech Co. Ltd., Incheon, Korea) for 10 min at −35 °C. To estimate the shelf life, the frozen samples were stored at –13, –18, and –18 °C in a DF35035 deep freezer (IlShin BioBase Co. Ltd., Dongducheon, Korea) (Figure 1).

2.4. Analysis of Sensory Characteristics

To measure the quality of the test HMR product, we analyzed the sensory characteristics of the product using a hedonic scale (1–9 points). The sensory characteristics, including color, flavor, aroma, texture, and overall acceptability, were evaluated by nontrained panelists. Prior to the sensory analysis, the frozen test HMR product was reheated for 1 min 30 s (700 w) using a RE-M50 microwave (Samsung Electronics Co. Ltd., Seoul, Korea).

2.5. Analysis of Physicochemical Characteristics

Physicochemical characteristics, including pH, volatile basic nitrogen (VBN), and thiobarbituric acid-reactive substances (TBARS), were measured following the methods as described in previous study [6] to ensure the quality of the test HMR product. Briefly, each sample was homogenized with 3rd-distilled water in a ratio of 1:9 (w/v) using SHG-15D homogenizer (SciLab Co. Ltd., Seoul, Korea). Thus, An ST 3100 pH meter (Ohaus Co., Parsippany, NJ, USA) was used to measure the pH of the samples. VBN was analyzed using a two-way microdiffusion method. A WiseTis SHG-15D homogenizer (SciLab Co. Ltd., Seoul, Korea) was used to homogenize 5 g of the sample and 25 mL of distilled water. The supernatant of the homogenized sample was separated by centrifugation and filtration, then analyzed using Conway microdiffusion. For TBARS analysis, 5 g of each sample was homogenized with 12.5 mL of trichloroacetic acid (20%) in phosphoric acid (2 M), and distilled water was added to bring the total volume to 25 mL. The supernatant was collected by centrifugation of the homogenized sample for 15 min at 4 °C, then mixed with 0.005 M thiobarbituric acid in a ratio of 1:1 (v/v) and incubated for 30 min at 95 °C. Spectrostar Nano (BMG Labtech Ltd., Ortenberg, Germany) was used to measure TBARS at 530 nm. All physicochemical characteristics were measured in triplicate.

2.6. Analysis of the Nutritional Quality

The proximate, fatty acid, and amino acid contents of the test HMR product were analyzed as nutritional characteristics following the method of the Association of Official Analytical Chemists [14]. Shortly, fatty acid methyl esters (FAMEs) were extracted using ether. Thus, a GCMS-QP2020 gas chromatography mass spectrometer (Shimadzu Co., Kyoto, Japan) and a 30 m × 0.25 mm DB-wax capillary column (Agilent Technology, Santa Clara, CA, USA) were used, and EN 14,078 standard mixture (Paragon Scientific Ltd., Wirral, UK) was used to identify the peaks. For amino acids, HCL was used to hydrolase the sample at 110 °C for 24 h. Prior injection, the hydrolysates were diluted using 0.02 N HCl and filtered using a membrane filter. An amino acid analyzer (L-8900, Hitachi High-Tech Corp., Tokyo, Japan) was used to assess the amino acid profiles.

2.7. Analysis of the Microbial Characteristics

Microbial characteristics, including the total bacterial count (TBC), coliform Salmonella sp., and Staphylococcus sp., were also measured in this study. This evaluation was performed according to the methods described in a previous study [6]. An SIR-20 incubator (SciLab Co. Ltd., Seoul, Korea) was used for the microbial analysis. Difco plate count agar (BD Co., Franklin Lakes, NJ, USA) was used to analyze the TBC via incubation for 48 h at 37 °C. The number of coliforms was counted using EC medium (BD Co., Franklin Lakes, NJ, USA) via incubation for 24 h at 37 °C. Sanita-Kun plates (JNC Corp., Tokyo, Japan) were used to analyze Salmonella spp. and Staphylococcus spp. after incubation for 48 h at 35 °C.

2.8. Shelf Life Analysis

The shelf life of the test HMR product was estimated following the guidelines of the Ministry of Food and Drug Safety, Republic of Korea. In brief, the physicochemical, microbial, and sensory characteristics of the HMR product were measured for 90 days at three different temperatures (−13 °C, −18 °C, and −23 °C), and the shelf life was simulated using a program simulation (https://www.foodsafetykorea.go.kr, accessed on 21 September 2021).

2.9. Statistical Analysis

Minitab v14.0 (Minitab Inc., Birmingham, UK) was used to analyze the drip loss and physicochemical, microbial, and sensory data through one-way analysis of variance (ANOVA) at a 95% level of probability (p < 0.05). Minitab v14.0 (Minitab Inc., Birmingham, UK) was also used to analyze the RSM results, with temperature and time as independent variables and hardness and overall acceptance as dependent variables.

3. Results

3.1. Drip Loss

In this study, we used frozen abalone as a raw material to develop a test HMR product. First, we analyzed the drip loss of frozen abalone to ensure the quality of raw materials by comparing HFD with conventional thawing methods (air and water temperature). The results showed that the drip loss of frozen abalone was significantly (p < 0.05) reduced when using HFD compared to conventional methods (Figure 2). HFD also reduced the thawing time (15 min) compared to thawing at water temperature (55 min) and air temperature (85 min). Negara et al. [6] and Tirtawijaya et al. [7] also reported that the application of HFD significantly (p < 0.05) reduced drip loss and thawing time.
The results of this study showed that the shorter thawing time resulted in less drip loss, which affects the quality of abalone and prevents cell membrane damage caused by drip loss [15,16]. Moreover, rapid thawing reduces recrystallization effects and prevents mechanical damage [16]. The texture of thawed abalone was also maintained owing to the prevention of water position changes during rapid thawing. In addition to the texture, the nutritional characteristics of thawed abalone were maintained during rapid thawing (see Section 3.5). According to Otto et al. [17], some nutrients leach out with drip loss during thawing; therefore, less drip loss corresponds to less nutritional loss. Considering the low drip loss resulting from HFD, we selected this thawing method for use in further steps.

3.2. Optimization of Roasting Conditions

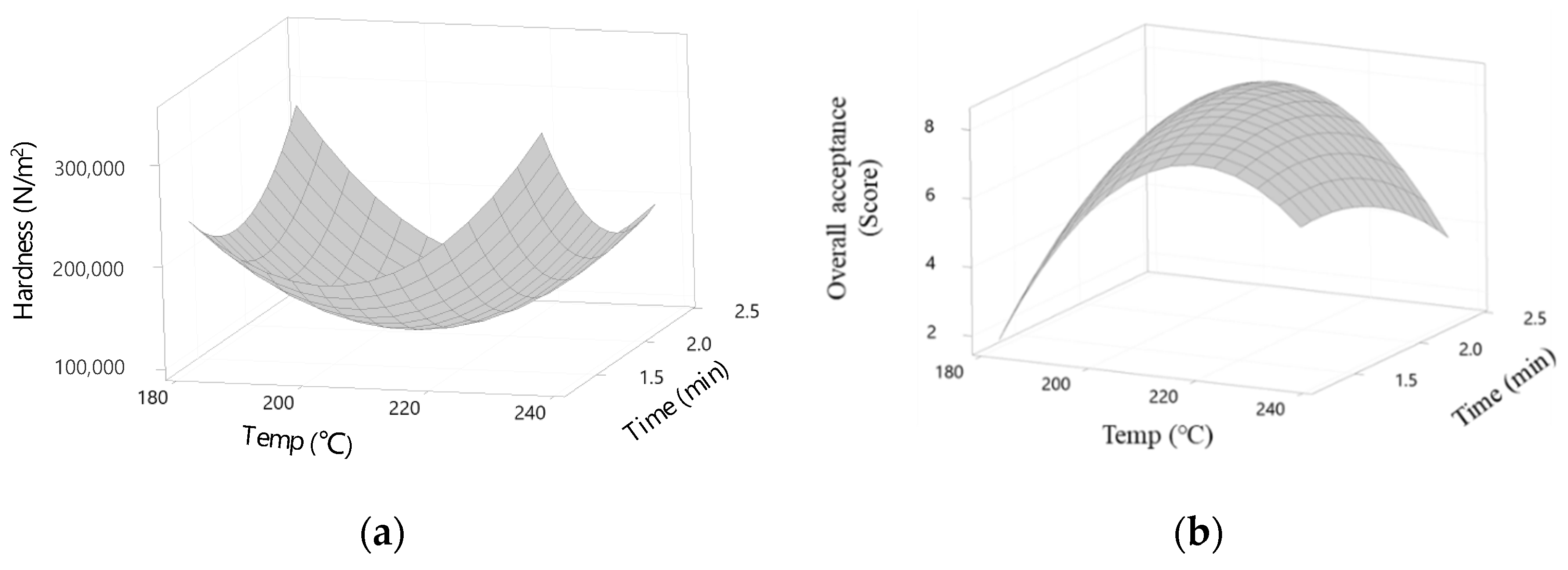
The test HMR product was produced by roasting the thawed abalone using superheated steam. To ensure the quality of the test HMR product, we optimized the roasting process using RSM and a set temperature (X1) and time (X2) as independent variables, with hardness and overall acceptance as the dependent variables. The combination of independent and dependent variables resulted in optimum conditions for steaming abalone. To attain these conditions, we ran a five-level central composite design with low, central, and high factor levels.
The results of the model equations for abalone roasting are listed in Table 2. These results showed that all model equations had an R2 value of greater than 95%, which indicated that the models were able to predict the ideal temperature and time. The hardness score decreased with increasing temperature and roasting time until the optimum conditions were reached (Figure 3a). At temperatures and roasting times above the optimum conditions, the resulting abalone exhibited a hard texture. The overall acceptance score increased with increasing temperature and time until reaching the optimum conditions; the abalone then became overcooked when the temperature and time exceeded the optimal conditions (Figure 3b). According to the RSM results, the optimum conditions for roasting abalone were 220 °C for 2 min, which resulted in the best hardness and overall acceptance scores. According to Beggs et al. [18] and Pappa et al. [19], the best combination of independent and dependent factors in RSM also resulted in optimum conditions with high scores for the dependent variables. Therefore, these roasting conditions were used to produce the test HMR product in subsequent steps.

3.3. Chemical Characteristics of the HMR Product

Processing of the raw abalone affected the chemical characteristics, including the pH, VBN, and TBARS. These parameters were evaluated to determine freshness and oxidation during the roasting treatment and ensure that the roasted abalone used in this study had good physicochemical characteristics. The chemical characteristics are shown in Table 3. Roasting increased the pH by approximately 0.06 from that of raw abalone. The same results were reported by Negara et al. [6], Tirtawijaya et al. [7], Mohibbullah et al. [11], and Sutikno et al. [12], who found that cooking processes increased the pH of seafood products. However, this increase in pH did not change the category of abalone, that is, the roasted abalone is still categorized as a fresh product [20]. During the roasting process, several factors that can increase the pH, including the decomposition of nitrogenous compounds, were also maintained.
The roasting process reduced the VBN content by approximately 20.1% from that of raw abalone, which indicates that the spoilage rate was reduced by roasting, as the activity of proteolytic bacteria and endogenous enzymes in food products increases the amount of VBN, leading to spoilage of the product. The roasting process can limit the activity of proteolytic bacteria and endogenous enzymes, protein and amine degradation, formation of trimethylamine-N-oxide, trimethylamine, dimethylamine, and formaldehyde, and the deamination of adenine nucleotides; thus, the amount of VBN is reduced [21,22,23]. Moreover, the same pattern was observed for TBARS, that is, the roasting treatment reduced the amount of TBARS by approximately 35.59% from that of raw abalone, indicating that lipid oxidation could be prevented during roasting. The results of TBARS indicated that roasted abalone can be categorized as a perfect product [20]. The chemical analysis showed that the abalone used to produce the test HMR product was in the fresh condition, and subsequent processing did not affect the freshness. Thus, a good raw material will result in a high-quality HMR product.

3.4. Sensory Characteristics

The sensory characteristics were evaluated to measure the sensory quality of the test HMR product. Slow and quick freezing methods were used to determine the best freezing method for test HMR products. Microwaves were used to reheat the frozen test HMR product prior to sensory evaluation. The color, aroma, flavor, texture, and overall acceptance of the test HMR product were evaluated by the panelists. The results of the sensory evaluation are displayed in Table 4. The color, aroma, flavor, texture, and overall acceptance values for quick freezing were not significantly (p ≥ 0.05) different between fresh and frozen test HMR products. However, for slow freezing, the flavor and texture characteristics differed significantly from those of the fresh product. The slow freezing method reduced the flavor and texture characteristics by 3.8% and 4.5%, respectively. Tirtawijaya et al. [7] and Negara et al. [6] also reported that the application of slow freezing methods significantly impaired the texture characteristics of seafood HMR products.
Thus, the application of freezing methods affects the sensory characteristics of test HMR products. The formation of ice crystals during slow freezing can affect the sensory characteristics. According to Samples [24], ice crystals form during slow freezing and affect membrane disruption. This phenomenon can impair the texture of the product and increase oxidation. Moreover, Hergenreder et al. [25] reported that the formation of ice crystals during slow freezing causes tissue damage in frozen foods. Furthermore, the muscle fibers of frozen products can be destroyed by ice crystals [16]. In contrast, during the quick freezing process, the faster rate of heat loss does not produce ice crystals [26], which minimizes disturbance to the cell walls and maintains the sensory characteristics of the product. Therefore, we employed quick freezing to freeze the test HMR product during the production process, thereby minimizing changes in the sensory characteristics and ensuring product quality.

3.5. Nutritional Composition of the HMR Product

The nutritional composition of the test HMR product, including the proximate analysis, fatty acid content, and amino acid content, is shown in Table 5, Table 6 and Table 7, respectively. Proximate analysis showed that the test HMR product contained some macro- and micronutrients, including carbohydrates, fat, calcium, fiber, protein, potassium, and iron (Table 5). These nutrients are essential for human health and are used as sources of energy in the human body [27]. In addition, the test HMR product contained trans fat that is still acceptable to consume. According to US Food and Drug Administration [28], the daily value of trans fat is 2 g/100 g. Thus, the test HMR product exhibited high nutritional value and contributed to daily nutritional requirements.
The total saturated fatty acid content represented the highest proportion of fatty acids in the test HMR product (55.55%), followed by polyunsaturated fatty acids (23.55%) and monounsaturated fatty acids (20.90%). The three most dominant fatty acids were palmitic acid, oleic acid, and linoleic acid, which have known beneficial effects on human health [29]. Moreover, the test HMR product contained omega 3 and omega 6, which indicates that the product is highly nutritious. We also observed EPA, DPA, and DHA in the product, which may contribute to human health by influencing inflammation, neuronal, immune function, retinal, peripheral artery disease, major coronary events, and anticoagulation [30]. Furthermore, omega 6 contributes to maintaining human health by lowering “bad” cholesterol levels, reducing total cholesterol levels, raising “good” cholesterol levels, and reducing the risk of cancer and heart disease [31]. Thus, the test HMR product exhibits good nutritional value for the human body and can be a source of daily fatty acid requirements.
Analysis of the amino acid contents showed that the test HMR products contained both nonessential and essential amino acids (Table 7). The nonessential amino acid content was 11.14% higher than that of essential amino acids. Glutamate, aspartic acid, and arginine were the three most dominant amino acids in the tested HMR product, which are an important source of energy for the immune system [32] and beneficial for human health. According to Li et al. [33] and Li et al. [34], glutamate is the dominant amino acid found in fishery products. Takahashi et al. [29] reported that amino acids can enhance the immune system and reduce the risk of cardiovascular disease. Moreover, Akram et al. [35] reported that amino acids act to support growth, provide energy, and repair tissue in the human body. The presence of amino acids, namely, glycine, alanine, aspartic acid, and glutamic acid, also contributes to the taste of food [36]. The amino acid content in the test HMR product will also contribute to daily amino acid requirements. Thus, the processed abalone product exhibits high nutritional value for daily life as well as various human health benefits.

3.6. Shelf Life Analysis

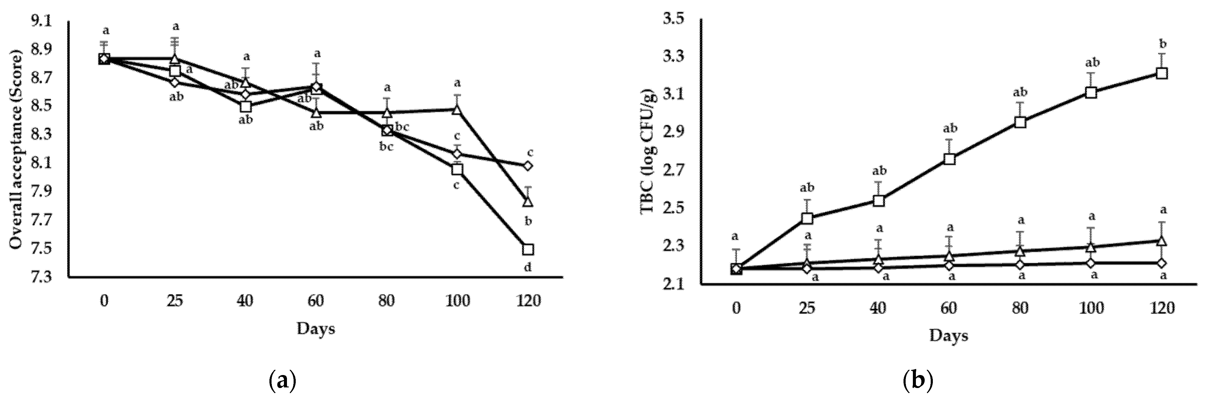
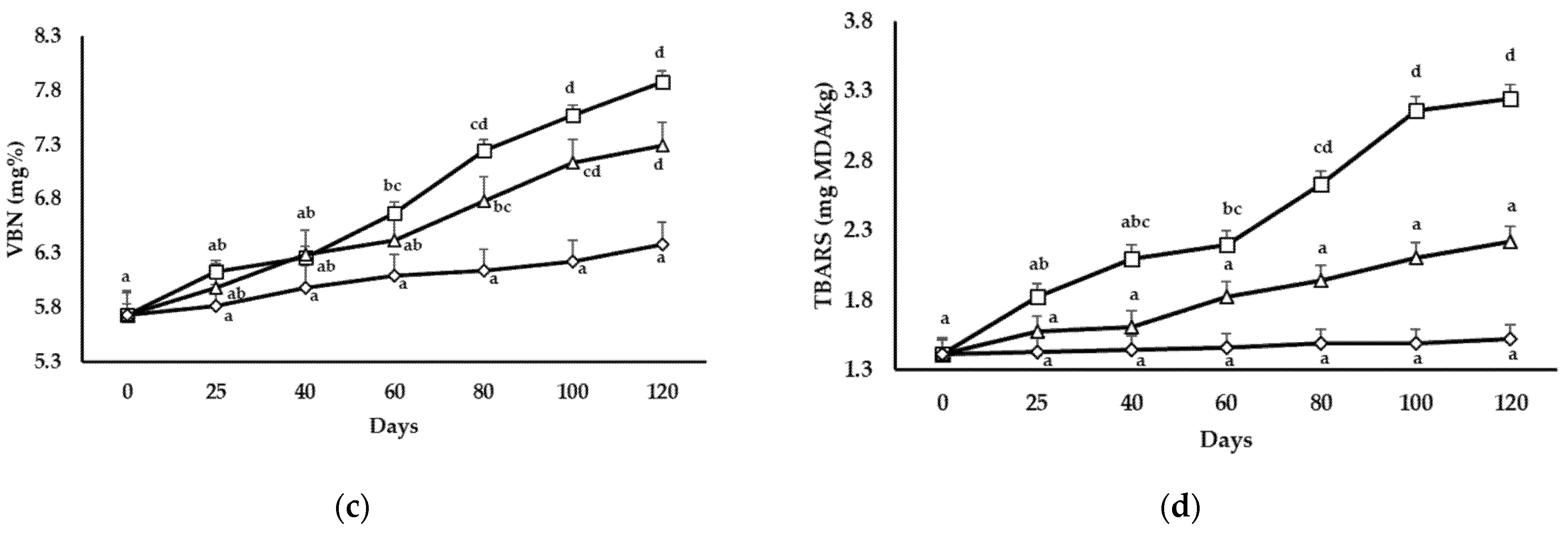
As an HMR product, the shelf life of the product should be known. Therefore, we estimated the shelf life of the test HMR product using a visual shelf life simulator from the Ministry of Food and Drug Safety, Republic of Korea. Several parameters, including the physical, biological, and chemical characteristics of the test HMR product, were analyzed during the estimation (Figure 4). For the physical characteristics, we used overall acceptance as an indicator, whereas TBC, Salmonella spp., and S. aureus were used as parameters for the biological characteristics. The VBN and TBARS of the test HMR were used to determine the chemical characteristics. The shelf life estimation was performed for 90 days at three different temperatures: −13 °C, −18 °C, and −23 °C.
The overall acceptance score decreased during the storage period; however, the physical and chemical characteristics increased with increasing storage time (Figure 4a). Specifically, the overall acceptance of the test HMR product decreased significantly (p < 0.05) on day 80 during storage at −13 °C. The same pattern was also observed when the test HMR product was stored at −23 °C; however, when the test HMR product was stored at −18 °C, the overall acceptance only started to decrease on day 120. Despite this decrease in overall acceptance, the test product scored 7.50–8.83, which corresponds to panelist scores of “like moderately” to “like very much.” Thus, the product maintains high sensory characteristics during storage.
The microbiological characteristics of the test HMR product increased with storage time according to the TBC (Figure 4b). However, Salmonella spp. and S. aureus were not identified during the shelf life estimation period. The TBC increased significantly (p < 0.05) on day 120 after storage at −13 °C. Moreover, no significant (p < 0.05) differences were observed for TBC throughout storage at −18 °C and −23 °C. These results showed that a lower temperature results in lower microbiological activities. Despite the increase in the TBC, it remained below 5 log CFU/g during storage. According to Miguéis et al. [37], products with a TBC under 5 log CFU/g can be categorized as satisfactory products.
Furthermore, the VBN and TBARS contents increased with increasing storage time (Figure 4c,d). Both VBN and TBARS increased significantly (p < 0.05) on day 60 at −13 °C. However, at −18 °C, the VBN content increased significantly (p < 0.05) on day 80, whereas TBARS did not differ significantly (p ≥ 0.05) throughout the storage time. No significant (p ≥ 0.05) difference was observed for VBN or TBARS throughout the shelf life estimation period at −23 °C. During storage, the VBN content was 5.73–7.88 mg%, whereas the TBARS content was 1.42–3.24 mgMDA/kg. According to these results, the test HMR product was categorized as a perfect product [20], despite the increasing VBN and TBARS values. Thus, the chemical characteristics of the products were marinated during storage. Moreover, the oxidation of lipids and proteins was also prevented.
According to the overall acceptance, TBC, VBN, and TBARS values, the shelf life of the test HMR product was 37.67 months. To estimate the expiry date of the test HMR product, we multiplied the Arrhenius calculation result by 0.8 to represent the safety factor [38]. As a result, the test HMR product had a shelf life of 30 months. Thus, the product will be acceptable for consumption and will continue to exhibit high nutritional value and good sensory characteristics during this period.

4. Conclusions

In this study, we developed an HMR abalone product that contains high levels of nutrients such as protein, calcium, fiber, potassium, amino acids, and fatty acids, which contribute to the daily nutritional requirements of humans. Moreover, the HMR abalone product also contains omega 3 and omega 6, which can maintain human health. The sensory characteristics of the HMR abalone product are maintained during freezing and reheating processes, thereby confirming the quality of the product. Furthermore, the estimated shelf life of the product, during which the physical, biological, and chemical characteristics of the product will be maintained, is 30 months of storage at −18 °C. Therefore, this study presents a novel abalone-based HMR product that boasts high nutritional value and a long shelf life.

Author Contributions

Conceptualization, J.-S.C.; methodology, B.F.S.P.N. and H.-J.G.; formal analysis, J.-H.S.; data curation, J.-H.S.; writing—original draft preparation, B.F.S.P.N.; writing—review and editing, J.-S.C.; visualization, J.-S.K.; supervision, J.-S.C. and J.-S.K. All authors have read and agreed to the published version of the manuscript.

Funding

This study was funded by the Ministry of Oceans and Fisheries, the Republic of Korea, under project no. PJT201277.

Institutional Review Board Statement

The study was conducted according to the guidelines of the Declaration of Helsinki, and approved by the Institutional Review Board of Silla University (protocol code 1041449-202102-HR-008 on 24 February 2021).

Informed Consent Statement

Informed consent was obtained from all subjects involved in the study.

Data Availability Statement

Data supporting reported results are available upon request.

Conflicts of Interest

The authors declare no conflict of interest.

References

  1. Ghaneshree, M.; Lethabo, M.; Rajesh, L.; Suren, S. Application of Biological Agents in Abalone Aquaculture: A South African Perspective; Hernandez-Vergara, M., Perez-Rostro, C., Eds.; Sustainable Aquaculture Techniques; InTech: Rijeka, Croatia, 2014; pp. 207–237. [Google Scholar]
  2. Padula, D.; Greenfield, H.; Cunningham, J.; Kiermeier, A.; McLeod, C. Australian seafood compositional profiles: A pilot study. Vitamin D and mercury content. Food Chem. 2016, 15, 106–111. [Google Scholar] [CrossRef] [PubMed]
  3. Shi, L.; Hao, G.; Chen, J.; Ma, S.; Weng, W. Nutritional Evaluation of Japanese Abalone (Haliotis Discus Hannai Ino) Muscle: Mineral Content, Amino Acid Profile and Protein Digestibility. Food Res. Int. 2020, 129, 108876. [Google Scholar] [CrossRef]
  4. Organisation for Economic Co-Operation and Development (OECD). Aquaculture Productions of Abalone. Available online: https://stats.oecd.org/Index.aspx?DataSetCode=FISH_AQUA# (accessed on 15 October 2021).
  5. Wen, Z.; Chen, J.; Wang, H.; Zhong, S.; Hu, Y.; Wang, Z.; Zhang, Q. Abalone water-soluble matrix for self-healing biomineralization of tooth defects. Mater. Sci. Eng. C 2016, 67, 182–187. [Google Scholar] [CrossRef]
  6. Negara, B.; Kim, S.; Sohn, J.; Kim, J.-S.; Choi, J.-S. Application of high-frequency defrosting, superheated steam, and quick-freezing treatments to improve the quality of seafood home meal replacement products consisting of the Adductor Muscle of Pen Shells and Common Squid Meat. Appl. Sci. 2021, 11, 2926. [Google Scholar] [CrossRef]
  7. Tirtawijaya, G.; Kim, S.R.; Cho, W.H.; Sohn, J.H.; Kim, J.-S.; Choi, J.-S. Development of a Home Meal Replacement Product Containing Braised Mackerel (Scomber japonicus) with Radish (Raphanus sativus). Foods 2021, 10, 1135. [Google Scholar] [CrossRef] [PubMed]
  8. Cho, W.-H.; Yoon, S.-J.; Choi, J.-S. Optimization of Texture-Modified Yellowfin Sole (Pleuronectes aspera) by Enzymatic Treatment and Superheated Steam Treating to Improve Quality Characteristics. Processes 2021, 9, 763. [Google Scholar] [CrossRef]
  9. Yu, L.C.; Zzaman, W.; AkandaM, J.H.; Yang, T.A.; Easa, A.M. Influence of superheated steam cooking on proximate, fatty acid profile, and amino acid composition of catfish (Clarias batrachus) fillet. Turkish J. Fish. Aquat. Sci. 2017, 17, 1387–1395. [Google Scholar]
  10. Abdulhameed, A.A.; Yang, T.A.; Abdulkarim, A.A. Kinetics of Texture and Colour Changes in Chicken Sausage during Superheated Steam Cooking. Pol. J. Food Nutr. Sci. 2016, 66, 199–209. [Google Scholar] [CrossRef] [Green Version]
  11. Mohibbullah, M.; Won, N.E.; Jeon, J.H.; An, J.H.; Park, Y.; Kim, H.; Bashir, K.M.I.; Park, S.M.; Kim, Y.S.; Yoon, S.J.; et al. Effect of superheated steam roasting with hot smoking treatment on improving physicochemical properties of the adductor muscle of pen shell (Atrina pectinate). Food Sci. Nutr. 2018, 6, 1317–1327. [Google Scholar] [CrossRef]
  12. Sutikno, L.A.; Bashir, K.M.I.; Kim, H.; Park, Y.; Won, N.E.; An, J.H.; Jeon, J.H.; Yoon, S.J.; Park, S.M.; Sohn, J.H.; et al. Improvement in Physicochemical, Microbial, and Sensory Properties of Common Squid (Todarodes pacificus) by Superheated Steam Roasting in Combination with Smoking Treatment. J. Food Qual. 2019, 2019, 1–15. [Google Scholar] [CrossRef]
  13. Kauffman, R.G.; Eikelenboom, G.; van der Wal, P.G.; Merkus, G.; Zaar, M. The use of filter paper to estimate drip loss of porcine musculature. Meat Sci. 1986, 18, 191–200. [Google Scholar] [CrossRef]
  14. Association of Official Analytical Chemist. Official Methods of Analysis; Horwitz, W., Ed.; AOAC International: Washington, DC, USA, 2000. [Google Scholar]
  15. Venugopal, V. Seafood Processing Adding Value through Quick Freezing, Retortable Packaging, and Cook-Chilling; Taylor & Francis: New York, NY, USA, 2006; p. 485. [Google Scholar]
  16. Alizadeh, E.; Chapleau, N.; De Lamballerie, M.; LeBail, A. Effects of freezing and thawing processes on the quality of Atlantic salmon (Salmo salar) fillets. J. Food Sci. 2007, 72, 279–284. [Google Scholar] [CrossRef] [PubMed]
  17. Otto, G.; Roehe, R.; Looft, H.; Thoelking, L.; Kalm, E. Comparison of different methods for determination of drip loss and their relationships to meat quality and carcass characteristics in pigs. Meat Sci. 2004, 68, 401–409. [Google Scholar] [CrossRef]
  18. Beggs, K.L.H.; Bowers, J.A.; Brown, D. Sensory and physical characteristics of reduced-fat turkey frankfurters with modified corn starch and water. J. Food Sci. 1997, 62, 1240–1244. [Google Scholar] [CrossRef]
  19. Pappa, I.C.; Bloukas, J.G.; Arvanitoyannis, I.S. Optimisation of salt, olive oil and pectin for low-fat frankfurters produced by replacing pork backfat with olive oil. Meat Sci. 2000, 56, 81–88. [Google Scholar] [CrossRef]
  20. Yildiz, P.O. Effect of essential oils and packaging on hot smoked rainbow trout during storage. J. Food Process. Preserv. 2015, 39, 806–815. [Google Scholar] [CrossRef]
  21. Chen, H.Z.; Zhang, M.; Bhandari, B.; Yang, C.H. Development of a novel colorimetric food package label for monitoring lean pork freshness. LWT Food Sci. Technol. 2019, 99, 43–49. [Google Scholar] [CrossRef] [Green Version]
  22. Howgate, P. A critical review of total volatile bases and trimethylamine as indices of freshness of fish. Part 1. Determination. Electron. J. Environ. Agric. Food Chem. 2010, 9, 29–57. [Google Scholar]
  23. Servillo, L.; D’onofrio, N.; Giovane, A.; Casale, R.; Cautela, D.; Castaldo, D.; Iannaccone, F.; Neglia, G.; Campanile, G.; Balestrieri, M.L. Ruminant meat and milk contain delta-valerobetaine, another precursor of trimethylamine N-oxide (TMAO) like gamma-butyrobetaine. Food Chem. 2018, 260, 193–199. [Google Scholar] [CrossRef]
  24. Samples, S. The effects of storage and preservation technologies on the quality of fish products: A review. J. Food Process. Preserv. 2014, 39, 1206–1215. [Google Scholar] [CrossRef]
  25. Hergenreder, J.; Hosch, J.J.; Varnold, K.A.; Haack, A.L. Effects of freezing and thawing rates on tenderness and sensory quality of beef subprimals. J. Anim. Sci. 2013, 91, 483–490. [Google Scholar] [CrossRef] [PubMed]
  26. Reid, D.S. Overview of physical/chemical aspects of freezing. In Quality in Frozen Food, 1st ed.; Erickson, M.C., Hung, Y., Eds.; Springer: New York, NY, USA, 1997; pp. 10–28. [Google Scholar]
  27. Murthy, W.S.; Singh, S.N. Nutritional requirements for human adaptation in extreme environments. Proc. Indian Natn. Sci. Acad. 2003, 69, 485–506. [Google Scholar]
  28. US Food & Drug Administration. Daily Value on the New Nutrition and Supplement Facts Labels. Available online: https://www.fda.gov/food/new-nutrition-facts-label/daily-value-new-nutrition-and-supplement-facts-labels (accessed on 25 October 2021).
  29. Takahashi, T.; Eri, T.; Ram, B.S.; Meester, F.D.; Wilczynska, A.; Wilson, D.; Juneja, L.R. Essential and non-essential amino acids in relation to glutamate. Open Nutraceuticals J. 2011, 4, 205–212. [Google Scholar] [CrossRef]
  30. Swanson, D.; Block, R.; Mousa, S.A. Omega-3 fatty acids EPA and DHA: Health benefits throughout life. Adv. Nutr. 2012, 3, 1–7. [Google Scholar] [CrossRef]
  31. Simopoulos, A.P. The Importance of the Omega-6/Omega-3 Fatty Acid Ratio in Cardiovascular Disease and Other Chronic Diseases. Exp. Biol. Med. 2008, 233, 674–688. [Google Scholar] [CrossRef] [PubMed]
  32. Calder, P.C.; Yaqoob, P. Glutamine and the immune system. Amino Acids 1999, 17, 227–241. [Google Scholar] [CrossRef] [PubMed]
  33. Li, X.; Rezaei, R.; Li, P.; Wu, G. Composition of amino acids in feed ingredients for animal diets. Amino Acids 2011, 40, 1159–1168. [Google Scholar] [CrossRef] [PubMed]
  34. Li, P.; Wu, G. Composition of amino acids and related nitrogenous nutrients in feedstuffs for animal diets. Amino Acids 2020, 52, 523–542. [Google Scholar] [CrossRef] [PubMed] [Green Version]
  35. Akram, M.; Asif, H.M.; Uzair, M.; Akhtar, N.; Madni, A.; Shah, S.M.A.; Hasan, Z.U.; Ullah, A. Amino acids: A review article. J. Med. Plant. Res. 2011, 5, 3997–4000. [Google Scholar]
  36. Sarower, M.G.; Hasanuzzaman, A.F.M.; Biswas, B.; Abe, H. Taste producing components in fish and fisheries products: A review. IJFF 2012, 2, 113–121. [Google Scholar]
  37. Miguéis, S.; Santos, C.; Saraiva, C.; Esteves, A. Evaluation of ready to eat sashimi in northern Portugal restaurants. Food Control 2015, 47, 32–36. [Google Scholar] [CrossRef]
  38. Lee, D.H.; Kang, D.M.; Park, S.K.; Jeong, M.C.; Kang, M.G.; Jo, D.M.; Lee, J.H.; Lee, D.E.; Sim, Y.A.; Jeong, G.J.; et al. Shelf-life extension of Raw Oyster Crassostrea gigas by depuration process. Korean J. Fish. Aquat. Sci. 2020, 53, 842–850. [Google Scholar]
Figure 1. Process for developing abalone (Haliotis discus hannai) as an HMR product.
Figure 1. Process for developing abalone (Haliotis discus hannai) as an HMR product.
Applsci 11 12091 g001
Figure 2. Drip loss (%) of frozen abalone (Haliotis discus hannai) after thawing using high-frequency defrosting (HFD) and at air temperature (AT) and water temperature (WT). Data are the mean ± standard deviation of the mean. Means with different letters differ significantly between thawing methods (Duncan’s test, p < 0.05).
Figure 2. Drip loss (%) of frozen abalone (Haliotis discus hannai) after thawing using high-frequency defrosting (HFD) and at air temperature (AT) and water temperature (WT). Data are the mean ± standard deviation of the mean. Means with different letters differ significantly between thawing methods (Duncan’s test, p < 0.05).
Applsci 11 12091 g002
Figure 3. Three-dimensional response surface plots of abalone (Haliotis discus hannai): (a) hardness and (b) overall acceptance during the roasting process using RSM.
Figure 3. Three-dimensional response surface plots of abalone (Haliotis discus hannai): (a) hardness and (b) overall acceptance during the roasting process using RSM.
Applsci 11 12091 g003
Figure 4. (a) Overall acceptance score, (b) total bacteria count, (c) volatile basic nitrogen content, and (d) thiobarbituric acid-reactive substance content for the HMR product containing roasted abalone with honey butter sauce during storage at three different temperatures for 120 days. Data are the mean ± standard deviation of the mean. Means with different letters indicate a significant difference according to Duncan’s test (p < 0.05).
Figure 4. (a) Overall acceptance score, (b) total bacteria count, (c) volatile basic nitrogen content, and (d) thiobarbituric acid-reactive substance content for the HMR product containing roasted abalone with honey butter sauce during storage at three different temperatures for 120 days. Data are the mean ± standard deviation of the mean. Means with different letters indicate a significant difference according to Duncan’s test (p < 0.05).
Applsci 11 12091 g004aApplsci 11 12091 g004b
Table 1. Ingredients of the honey butter sauce used to produce the test home meal replacement (HMR) product.
Table 1. Ingredients of the honey butter sauce used to produce the test home meal replacement (HMR) product.
NoIngredientRatio (%)
1Acacia honey0.70
2Butter10.50
3Butter scotch powder6.20
4Butter flavor0.10
5Black pepper0.20
6Citric acid0.15
7Dextrin7.30
8Food Starch Modified0.20
9Food coloring0.50
10Garlic powder18.25
11Grapefruit seed extract0.05
12High fructose corn syrup5.00
13Monosodium L-glutamate0.10
14Purified water27.78
15Refined salt2.60
16Soy sauce2.80
17Starch corn syrup8.80
18Sugar8.77
Table 2. Response surface model equations for the abalone (Haliotis discus hannai) roasting process.
Table 2. Response surface model equations for the abalone (Haliotis discus hannai) roasting process.
VariablesQuadratic Polynomial Model EquationsR2
Hardness5,303,250 − 48,443 X1 − 95,850 X2 + 128.0 X12 + 180,818 X22 − 2860 X1×298
Overall acceptance−217.8 + 1.888 X1 + 27.40 X2 − 0.004054 X12 − 2.32 X22 − 0.0885 X1X297
Table 3. Effect of roasting process on the chemical characteristics of abalone (Haliotis discus hannai).
Table 3. Effect of roasting process on the chemical characteristics of abalone (Haliotis discus hannai).
ParametersTreatment
RawRoasted
pH6.02 ± 0.046.68 ± 0.06
VBN9.13 ± 1.537.26 ± 0.20
TBARS0.59 ± 0.200.38 ± 0.03
Note: VBN, volatile basic nitrogen; TBARS, thiobarbituric acid-reactive substances. Data are the mean ± standard deviation.
Table 4. Sensory characteristics of the test HMR product before freezing and after quick freezing and slow freezing.
Table 4. Sensory characteristics of the test HMR product before freezing and after quick freezing and slow freezing.
TreatmentColorAromaFlavorTextureOverall Acceptance
Fresh product8.75 ± 0.10 a8.81 ± 0.02 a8.82 ± 0.07 a8.82 ± 0.05 a8.83 ± 0.01 a
Quick freezing8.73 ± 0.04 a8.78 ± 0.05 a8.75 ± 0.06 a8.79 ± 0.04 a8.81 ± 0.04 a
Slow freezing8.67 ± 0.04 a8.74 ± 0.04 a8.48 ± 0.12 b8.42 ± 0.13 b8.80 ± 0.04 a
Note: Data are the mean ± standard deviation. The means of each sensory property denoted with different superscript letters are significantly different according to Duncan’s test (p < 0.05).
Table 5. Nutritional composition of the HMR product containing roasted abalone with honey butter sauce.
Table 5. Nutritional composition of the HMR product containing roasted abalone with honey butter sauce.
CompositionsUnitContentDaily Value a
Calorieskcal/100 g123.61-
Carbohydratesg/100 g14.02275
Sugarg/100 g2.2750
Trans fatg/100 g1.132
Saturated fatg/100 g0.6320
Sodiumg/100 g0.502.3
Cholesterolmg/100 g150300
Crude fatg/100 g1.9078
Proteing/100 g14.3450
Calciummg/100 g12.031300
Potassiummg/100 g12.394700
Dietary fiberg/100 g1.5528
Ironmg/100 g1.2418
Note: a according to Nutrition Facts Labeling Requirements, US Food and Drug Administration [28].
Table 6. Fatty acid profile of the HMR product containing roasted abalone with honey butter sauce.
Table 6. Fatty acid profile of the HMR product containing roasted abalone with honey butter sauce.
Fatty Acids%
Capric acid (10:0)1.72
Lauric acid (12:0)2.61
Myristic acid (14:0)8.62
Pentadecanoic acid (15:0)1.13
Palmitic acid (16:0)29.71
Heptadecanoic acid (17:0)0.82
Stearic acid (18:0)10.51
Behenic acid (20:0)0.43
Ʃ SFA55.55
Myristoleic acid (14:1)0.51
Pentadecenoic acid (15:1)0.74
Oleic acid (18:1)19.05
Eicosenoic acid (20:1)0.60
Ʃ MUFA20.90
Linoleic acid (18:2)10.09
Linolenic acid (18:3)1.12
Eicosadienoic acid (20:4)0.40
Ʃ ω611.61
Palmitoleic acid (16:1)1.61
Stearidonic acid (18:4)0.66
Eicosatrienoic acid (20:1)2.69
EPA (20:5)3.38
DPA (22:5)1.32
DHA (22:6)2.29
Ʃ ω311.94
Ʃ PUFA23.55
Note: SFA: saturated fatty acids; MUFA: monounsaturated fatty acids; PUFA: polyunsaturated fatty acids.
Table 7. Amino acid profile of the HMR product containing roasted abalone with honey butter sauce.
Table 7. Amino acid profile of the HMR product containing roasted abalone with honey butter sauce.
Amino Acids%
Alanine6.77
Aspartic acid10.48
Cysteine1.58
Glutamate16.98
Glycine7.24
Proline4.64
Serine5.10
Tyrosine2.78
Ʃ Nonessential amino acids55.57
Arginine8.07
Histidine1.76
Isoleucine3.34
Leucine7.79
Lysine7.70
Methionine2.88
Phenylalanine3.71
Threonine4.36
Tryptophan1.02
Valine3.80
Ʃ Essential amino acids44.43
Publisher’s Note: MDPI stays neutral with regard to jurisdictional claims in published maps and institutional affiliations.

Share and Cite

MDPI and ACS Style

Negara, B.F.S.P.; Gong, H.-J.; Sohn, J.-H.; Kim, J.-S.; Choi, J.-S. Development of a Convenient Home Meal Replacement Product Containing Roasted Abalone (Haliotis discus hannai) with Honey Butter Sauce. Appl. Sci. 2021, 11, 12091. https://doi.org/10.3390/app112412091

AMA Style

Negara BFSP, Gong H-J, Sohn J-H, Kim J-S, Choi J-S. Development of a Convenient Home Meal Replacement Product Containing Roasted Abalone (Haliotis discus hannai) with Honey Butter Sauce. Applied Sciences. 2021; 11(24):12091. https://doi.org/10.3390/app112412091

Chicago/Turabian Style

Negara, Bertoka Fajar Surya Perwira, Hee-Jin Gong, Jae-Hak Sohn, Jin-Soo Kim, and Jae-Suk Choi. 2021. "Development of a Convenient Home Meal Replacement Product Containing Roasted Abalone (Haliotis discus hannai) with Honey Butter Sauce" Applied Sciences 11, no. 24: 12091. https://doi.org/10.3390/app112412091

APA Style

Negara, B. F. S. P., Gong, H.-J., Sohn, J.-H., Kim, J.-S., & Choi, J.-S. (2021). Development of a Convenient Home Meal Replacement Product Containing Roasted Abalone (Haliotis discus hannai) with Honey Butter Sauce. Applied Sciences, 11(24), 12091. https://doi.org/10.3390/app112412091

Note that from the first issue of 2016, this journal uses article numbers instead of page numbers. See further details here.

Article Metrics

Back to TopTop