Physicochemical Characterization of Hyaluronic Acid and Chitosan Liposome Coatings
Abstract
:1. Introduction
2. Materials and Methods
2.1. Materials
2.2. Synthesis of Coated Liposomes
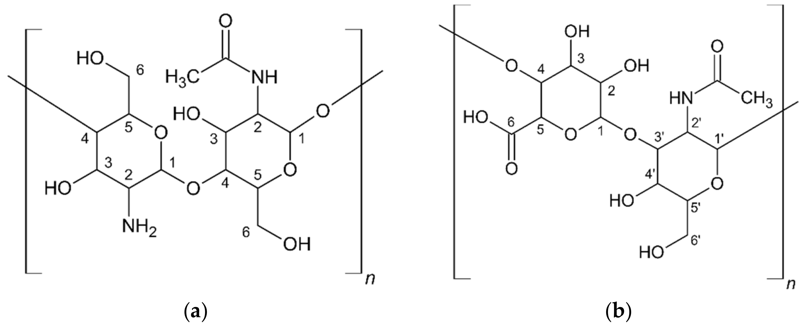
2.2.1. CH-Coated Liposomes
2.2.2. HA-Coated Liposomes
2.3. Purification of Liposomes
2.4. DLS Analysis
2.5. Nuclear Magnetic Resonance (NMR) Experiments
2.6. ATR-FTIR Analysis
2.7. Time-of-Flight Secondary Ion Mass Spectrometry (ToF-SIMS) Measurements
3. Results
3.1. Physicochemical Proprieties of the Coated Liposomes
3.1.1. Size Distribution and ζ-Potential
3.1.2. Nuclear Magnetic Resonance (NMR)
3.1.3. FTIR-ATR Analysis
3.1.4. Time-of-Flight Secondary Ion Mass Spectrometry (ToF-SIMS)
4. Conclusions
Author Contributions
Funding
Institutional Review Board Statement
Informed Consent Statement
Data Availability Statement
Conflicts of Interest
References
- Taylor, T.M.; Weiss, J.; Davidson, P.M.; Barry, D.; Bruce, B.D. Liposomal Nanocapsules in Food Science and Agriculture. Crit. Rev. Food Sci. Nutr. 2005, 45, 587–605. [Google Scholar] [CrossRef] [PubMed]
- Son, K.; Ueda, M.; Taguchi, K.; Maruyama, T.; Takeoka, S.; Ito, Y. Evasion of the accelerated blood clearance phenomenon by polysarcosine coating of liposomes. J. Control. Release 2020, 322, 209–216. [Google Scholar] [CrossRef] [PubMed]
- Knop, K.; Hoogenboom, R.; Fischer, D.; Schubert, U.S. Poly(ethylene glycol) in drug delivery: Pros and cons as well as potential alternatives. Angew. Chem. Int. Ed. 2010, 49, 6288–6308. [Google Scholar] [CrossRef] [PubMed]
- Elbassiouny, S.; Fadel, M.; Elwakil, T.; Elbasiouny, M.S. Photodynamic diagnosis of parathyroid glands with nano-stealth aminolevulinic acid liposomes. Photodiagnosis Photodyn. Ther. 2018, 21, 71–78. [Google Scholar] [CrossRef]
- Kushwah, V.; Jain, D.K.; Agrawal, A.K.; Jain, S. Improved antitumor efficacy and reduced toxicity of docetaxel using anacardic acid functionalized stealth liposomes. Colloids Surf. B Biointerfaces 2018, 172, 213–223. [Google Scholar] [CrossRef]
- Xi, L.; Li, C.; Wang, Y.; Gong, Y.; Su, F.; Li, S. Novel Thermosensitive Polymer-Modified Liposomes as Nano-Carrier of Hydrophobic Antitumor Drugs. J. Pharm. Sci. 2020, 109, 2544–2552. [Google Scholar] [CrossRef]
- Ramezanzade, L.; Hosseini, S.F.; Adergani, B.A.; Yaghmur, A. Cross-linked chitosan-coated liposomes for encapsulation of fish-derived peptide. LWT-Food Sci. Technol. 2021, 150, 112057–112065. [Google Scholar] [CrossRef]
- Hermal, F.; Frisch, B.; Specht, A.; Bourel-Bonnet, L.; Heurtault, B. Development and characterization of layer-by-layer coated liposomes withpoly(L-lysine) and poly(L-glutamic acid) to increase their resistance in biological media. Int. J. Pharm. 2020, 586, 119568–119579. [Google Scholar] [CrossRef] [PubMed]
- Patra, J.K.; Das, G.; Fraceto, L.F.; Ramos Campos, E.V.; Rodriguez-Torres, M.; Acosta-Torres, L.S.; Diaz-Torres, L.A.; Grillo, R.; Swamy, M.K.; Sharma, S.; et al. Nano based drug delivery systems: Recent developments and future prospects. J. Nanobiotechnol. 2018, 16, 71–104. [Google Scholar] [CrossRef] [PubMed] [Green Version]
- Din, F.; Aman, W.; Ullah, I.; Qureshi, O.S.; Mustapha, O.; Shafique, S.; Alam Zeb, A. Effective use of nanocarriers as drug delivery systems for the treatment of selected tumors. Int. J. Nanomed. 2017, 12, 7291–7309. [Google Scholar] [CrossRef] [Green Version]
- Lane, R.-S.; Haller, F.M.; Chavaroche, A.A.E.; Almond, A.; DeAngelis, P.L. Heparosan-coated liposomes for drug delivery. Glycobiology 2017, 27, 1062–1074. [Google Scholar] [CrossRef]
- Rojas Ramirez, R.E.; Souza Orth, E.; Pires, C.; Zawadzki, S.F.; Alves de Freitas, R. DODAB-DOPE liposome surface coating using in-situ acrylic acid polymerization. J. Mol. Liq. 2021, 330, 115689. [Google Scholar] [CrossRef]
- Volodkin, D.; Mohwald, H.; Voegel, J.C.; Ball, V. Coating of negatively charged liposomes by polylysine: Drug release study. J. Control. Release 2007, 117, 111–120. [Google Scholar] [CrossRef] [PubMed]
- Gonzalez Rodriguez, M.L.; Barros, L.B.; Palma, J.; Gonzalez Rodriguez, P.L.; Rabasco, A.M. Application of statistical experimental design to study the formulation variables influencing the coating process of lidocaine liposomes. Int. J. Pharm. 2007, 337, 336–345. [Google Scholar] [CrossRef] [PubMed]
- Chaves, M.A.; Pinho, S.C. Curcumin-loaded proliposomes produced by the coating of micronized sucrose: Influence of the type of phospholipid on the physicochemical characteristics of powders and on the liposomes obtained by hydration. Food Chem. 2019, 291, 7–15. [Google Scholar] [CrossRef] [PubMed]
- Bonechi, C.; Lamponi, S.; Donati, A.; Tamasi, G.; Consumi, M.; Leone, G.; Rossi, C.; Magnani, A. Effect of resveratrol on platelet aggregation by fibrinogen protection. Biophys. Chem. 2017, 222, 41–48. [Google Scholar] [CrossRef]
- Liu, M.; Zhang, Y.; Wu, C.; Xiong, S.; Zhou, C. Chitosan/halloysite nanotubes bionanocomposites: Structure, mechanical properties and biocompatibility. Int. J. Biol. Macromol. 2012, 51, 566–575. [Google Scholar] [CrossRef]
- Huynh, A.; Priefer, R. Hyaluronic acid applications in ophthalmology, rheumatology, and dermatology. Carbohydr. Res. 2020, 489, 107950–107956. [Google Scholar] [CrossRef]
- Li, Y.; Ruan, S.; Wang, Z.; Feng, N.; Zhang, Y. Hyaluronic Acid Coating Reduces the Leakage of Melittin Encapsulated in Liposomes and Increases Targeted Delivery to Melanoma Cells. Pharmaceutics 2021, 13, 1235. [Google Scholar] [CrossRef] [PubMed]
- Wan, W.J.; Huang, G.; Wang, Y.; Tang, Y.; Li, H.; Jia, C.H.; Liu, Y.; You, B.G.; Zhang, X.N. Coadministration of iRGD peptide with ROS-sensitive nanoparticles co-delivering siFGL1 and siPD-L1 enhanced tumor immunotherapy. Acta Biomater. 2021, 136, 473–484. [Google Scholar] [CrossRef] [PubMed]
- Fukushige, K.; Tagami, T.; Naito, M.; Goto, E.; Hirai, S.; Hatayama, N.; Yokota, H.; Yasui, T.; Baba, Y.; Ozeki, T. Developing spray-freeze-dried particles containing a hyaluronic acid-coated liposome-protamine-DNA complex for pulmonary inhalation. Int. J. Pharm. 2020, 583, 119338–119345. [Google Scholar] [CrossRef] [PubMed]
- Zhao, Z.; Zhao, Y.; Xie, C.; Chen, C.; Lin, D.; Wang, S.; Lin, D.; Cui, X.; Guo, Z.; Zhou, J. Dual-active targeting liposomes drug delivery system for bone metastatic breast cancer: Synthesis and biological evaluation. Chem. Phys. Lipids 2019, 223, 104785. [Google Scholar] [CrossRef] [PubMed]
- Jøraholmen, M.W.; Škalko-Basnet, N.; Acharya, G.; Basnet, P. Resveratrol-loaded liposomes for topical treatment of the vaginal inflammation and infections. Eur. J. Pharm. Sci. 2015, 79, 112–121. [Google Scholar] [CrossRef] [PubMed] [Green Version]
- Hunter, R.J. Zeta Potential in Colloid Science: Principles and Application, 1st ed.; Academic Press: London, UK, 1988. [Google Scholar]
- Langley, K.H. Developments in electrophoretic laser light scattering and some of biochemical applications. In Laser Light Scattering in Biochemistry; Harding, S.E., Sattelle, D.B., Bloomfield, V.A., Eds.; The Royal Society of Chemistry: Cambridge, UK, 1992; pp. 151–160. [Google Scholar]
- Leone, G.; Consumi, M.; Pepi, S.; Lamponi, S.; Bonechi, C.; Tamasi, G.; Donati, A.; Rossi, C.; Magnani, A. Alginate–Gelatin Formulation to Modify Lovastatin Release Profile from Red Yeast Rice for Hypercholesterolemia Therapy. Ther. Deliv. 2017, 8, 843–854. [Google Scholar] [CrossRef] [PubMed]
- Leone, G.; Consumi, M.; Lamponi, S.; Bonechi, C.; Tamasi, G.; Donati, A.; Rossi, C.; Magnani, A. Hybrid PVA-Xanthan Gum Hydrogels as Nucleus Pulposus Substitutes. Int. J. Polym. Mat. 2019, 68, 681–690. [Google Scholar] [CrossRef]
- Leone, G.; Consumi, M.; Lamponi, S.; Bonechi, C.; Tamasi, G.; Donati, A.; Rossi, C.; Magnani, A. Thixotropic PVA hydrogel enclosing a hydrophilic PVP core as nucleus pulposus substitute. Mater. Sci. Eng. C 2019, 98, 696–704. [Google Scholar] [CrossRef] [PubMed]
- Pinheiro, L.; Reis, L. Liposomes as drug delivery systems for the treatment of TB. Nanomedicine 2011, 6, 1413–1428. [Google Scholar] [CrossRef] [PubMed]
- Greenwood, R.; Kendall, K. Selection of suitable dispersants for aqueous suspensions of zirconia and titania powders using Acoustophoresis. J. Eur. Ceram. Soc. 1999, 19, 478–488. [Google Scholar] [CrossRef]
- Bonechi, C.; Ristori, S.; Martini, G.; Martini, S.; Rossi, C. Study of bradykinin conformation in the presence of model membrane by Nuclear Magnetic Resonance and molecular modelling. Biochim. Biophys. Acta 2009, 1788, 708–716. [Google Scholar] [CrossRef] [PubMed] [Green Version]
- Bonechi, C.; Ristori, S.; Martini, S.; Panza, L.; Martini, G.; Rossi, C.; Donati, A. Solution behavior of a sugar-based carborane for boron neutron capture therapy: A nuclear magnetic resonance investigation. Biophys. Chem. 2007, 125, 320–327. [Google Scholar] [CrossRef] [PubMed]
- Ramanathan, M.; Shrestha, L.K.; Mori, T.; Ji, Q.; Hill, J.P.; Ariga, K. Amphiphile nanoarchitectonics: From basic physical chemistry to advanced applications. Phys. Chem. Chem. Phys. 2013, 15, 10580–10611. [Google Scholar] [CrossRef] [PubMed]
- Mendes, M.; Cova, T.; Basso, J.; Ramos, M.L.; Vitorino, R.; Sousa, J.; Pais, A.; Vitorino, C. Hierarchical design of hyaluronic acid-peptide constructs for glioblastoma targeting: Combining insights from NMR and molecular dynamics simulations. J. Mol. Liq. 2020, 315, 113774. [Google Scholar] [CrossRef]
- Donati, A.; Magnani, A.; Bonechi, C.; Barbucci, R.; Rossi, C. Solution structure of hyaluronic acid oligomers by experimental and theoretical NMR, and molecular dynamics simulation. Biopolymers 2001, 59, 434–445. [Google Scholar] [CrossRef]
- Tuchtenhagen, J.; Ziegler, W.; Blume, A. Acyl Chain conformational ordering in liquid-crystalline bilayers: Comparative FT-IR and 2H-NMR studies of phospholipids differing in headgroup structure and chain length. Eur. Biophys. J. 1994, 23, 323–335. [Google Scholar] [CrossRef]






| Liposome Composition | Mean Diameter ± esd (nm) | Polydispersity Index (PDI) | ζ-Potential ± esd (mV) |
|---|---|---|---|
| DOPC/DOPE | 160.5 ± 3.3 a | 0.15 | 25.5 ± 9.4 a |
| DOPC/DOPE-HA | 264.4 ± 12.5 b | 0.20 | 4.9 ± 3.3 b |
| DOPC/DOPE-CH | 450.3 ± 16.7 c | 0.35 | 55.3 ± 8.2 c |
Publisher’s Note: MDPI stays neutral with regard to jurisdictional claims in published maps and institutional affiliations. |
© 2021 by the authors. Licensee MDPI, Basel, Switzerland. This article is an open access article distributed under the terms and conditions of the Creative Commons Attribution (CC BY) license (https://creativecommons.org/licenses/by/4.0/).
Share and Cite
Bonechi, C.; Tamasi, G.; Donati, A.; Leone, G.; Consumi, M.; Cangeloni, L.; Volpi, V.; Magnani, A.; Cappelli, A.; Rossi, C. Physicochemical Characterization of Hyaluronic Acid and Chitosan Liposome Coatings. Appl. Sci. 2021, 11, 12071. https://doi.org/10.3390/app112412071
Bonechi C, Tamasi G, Donati A, Leone G, Consumi M, Cangeloni L, Volpi V, Magnani A, Cappelli A, Rossi C. Physicochemical Characterization of Hyaluronic Acid and Chitosan Liposome Coatings. Applied Sciences. 2021; 11(24):12071. https://doi.org/10.3390/app112412071
Chicago/Turabian StyleBonechi, Claudia, Gabriella Tamasi, Alessandro Donati, Gemma Leone, Marco Consumi, Lorenzo Cangeloni, Vanessa Volpi, Agnese Magnani, Andrea Cappelli, and Claudio Rossi. 2021. "Physicochemical Characterization of Hyaluronic Acid and Chitosan Liposome Coatings" Applied Sciences 11, no. 24: 12071. https://doi.org/10.3390/app112412071
APA StyleBonechi, C., Tamasi, G., Donati, A., Leone, G., Consumi, M., Cangeloni, L., Volpi, V., Magnani, A., Cappelli, A., & Rossi, C. (2021). Physicochemical Characterization of Hyaluronic Acid and Chitosan Liposome Coatings. Applied Sciences, 11(24), 12071. https://doi.org/10.3390/app112412071

