The Spatial Structure of Passively Simulated Atmospheric Boundary Layer Turbulence
Abstract
:Featured Application
Abstract
1. Introduction
2. Theoretical Considerations
3. Experimental Setup
4. Results and Discussion
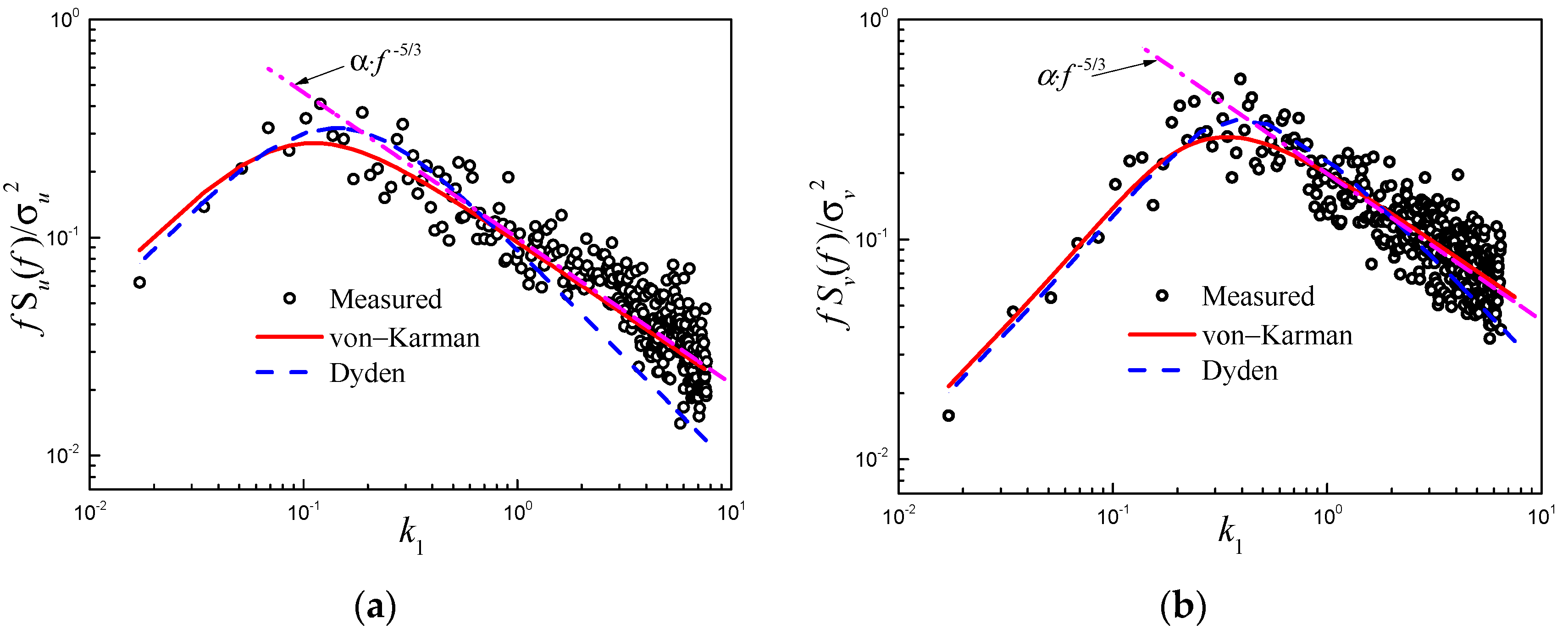
4.1. Statistical Parameters of Turbulence
4.2. Lateral Spatial Structure
4.3. Vertical Spatial Structure
5. Conclusions
- (1)
- The passively simulated atmospheric turbulence can be approximately regarded as conforming to the assumption of horizontal average isotropic turbulence, but the vertical turbulence component is more significantly disturbed by the nonisotropic component and cannot be ignored.
- (2)
- Isotropic turbulence theory sufficiently describes the horizontal and lateral spatial structures of the along-wind turbulence component, but the vertical component deviates slightly. The modified theoretical coherence model can better describe the distribution of the lateral coherence of the vertical component due to improvements to the theoretical coherence model.
- (3)
- The vertical spatial structure that passively simulated atmospheric turbulence was discussed. Due to the influence of turbulent friction, isotropic turbulence theory cannot accurately describe the vertical spatial structure of atmospheric boundary layer turbulence simulated by wind tunnels. Through the improvement of the theoretical model, a modified vertical coherence model of different turbulence velocity components was obtained.
Author Contributions
Funding
Institutional Review Board Statement
Informed Consent Statement
Data Availability Statement
Acknowledgments
Conflicts of Interest
References
- von Kármán, T. Progress in the statistical theory of turbulence. Proc. Natl. Acad. Sci. USA 1948, 34, 530–539. [Google Scholar] [CrossRef] [Green Version]
- Davenport, A.G. Rationale for determining design wind velocities. J. Struct. Div. 1960, 86, 39–68. [Google Scholar] [CrossRef]
- Panofsky, H.A.; Dutton, J.A. Atmospheric Turbulence; John Wiley & Sons: New York, NY, USA, 1984. [Google Scholar]
- Hunt, J.C.R.; Carruthers, D.J. Rapid distortion theory and the ‘problems’ of turbulence. J. Fluid Mech. 1990, 212, 497–532. [Google Scholar] [CrossRef] [Green Version]
- Kaimal, J.C.; Wyngaard, J.C.; Izumi, Y.; Cote, O.R. Spectral characteristics of surface-layer turbulence. Q. J. R. Meteorol. Soc. 1972, 98, 563–589. [Google Scholar] [CrossRef]
- Solari, G. Mathematical model to predict 3-D wind loading on buildings. J. Eng. Mech. 1985, 111, 254–276. [Google Scholar] [CrossRef]
- Kareem, A. Structure of wind field over the ocean. In Proceedings of the International Workshop on Offshore Winds and Icing, Halifax, NS, Canada, 7–11 October 1986; Environment Canada, Atmospheric Service: Toronto, ON, Canada, 1986. [Google Scholar]
- Mann, J. The spatial structure of neutral atmospheric surface-layer turbulence. J. Fluid Mech. 1994, 273, 141–168. [Google Scholar] [CrossRef]
- Simiu, E.; Scanlan, R.H. Wind Effects on Structures: Fundamentals and Applications to Design, 3rd ed.; John Wiley & Sons: New York, NY, USA, 1996. [Google Scholar]
- Li, Q.S.; Zhi, L.; Fei, H. Boundary layer wind structure from observations on a 325 m tower. J. Wind Eng. Indust. Aerodyn. 2010, 98, 818–832. [Google Scholar] [CrossRef]
- Cao, S.Y.; Tamura, Y.; Kikuchi, N.; Saito, M.; Nakayama, I.; Matsuzaki, Y. A case study of gust factor of a strong typhoon. J. Wind Eng. Indust. Aerodyn. 2015, 138, 52–60. [Google Scholar] [CrossRef]
- Fenerci, A.; Oiseth, O.; Ronnquist, A. Long-term monitoring of wind field characteristics and dynamic response of a long-span suspension bridge in complex terrain. Eng. Struct. 2017, 147, 269–284. [Google Scholar] [CrossRef]
- Zhao, L.; Cui, W.; Ge, Y.J. Measurement, modeling and simulation of wind turbulence in typhoon outer region. J. Wind Eng. Indust. Aerodyn. 2019, 195, 104021. [Google Scholar] [CrossRef]
- Tao, T.Y.; Xu, Y.L.; Huang, Z.F.; Zhan, S.; Wang, H. Buffeting analysis of long-span bridges under typhoon winds with time-varying spectra and coherences. J. Struct. Eng. 2020, 146, 04020255. [Google Scholar] [CrossRef]
- Fang, G.S.; Pang, W.C.; Zhao, L.; Cui, W. Extreme typhoon wind speed mapping for coastal region of China: Geographically weighted regression–based circular subregion algorithm. J. Struct. Eng. 2021, 147, 04021146. [Google Scholar] [CrossRef]
- Roberts, J.B.; Surry, D. Coherence of grid-generated turbulence. J. Eng. Mech. Div. 1973, 99, 1227–1245. [Google Scholar] [CrossRef]
- Maronga, B.; Li, D. An investigation of the grid sensitivity in large-eddy simulations of the stable boundary layer. Bound. Layer Meteorol. 2021, 180, 1–23. [Google Scholar] [CrossRef]
- Kristensen, L.; Jensen, N.O. Lateral coherence in isotropic turbulence and in the natural wind. Bound. Layer Meteorol. 1979, 17, 353–373. [Google Scholar] [CrossRef]
- Townsend, A.A. The Structure of Turbulent Shear Flow, 2nd ed.; Cambridge University Press: London, UK, 1976. [Google Scholar]
- Emeis, S. Observational techniques to assist the coupling of CWE/CFD models and meso-scale meteorological models. J. Wind Eng. Indust. Aerodyn. 2015, 144, 24–30. [Google Scholar] [CrossRef]
- Arolla, S.K.; Durbin, P.A. LES of spatially developing turbulent boundary layer over a concave surface. J. Turbul. 2015, 16, 81–99. [Google Scholar] [CrossRef] [Green Version]
- Fernando, H.J.S.; Weil, J.C. Whither the stable boundary layer? A shift in the research agenda. Am. Meteorol. Soc. 2010, 91, 1475–1484. [Google Scholar] [CrossRef] [Green Version]
- Zhong, Y.Z.; Li, M.S.; Ma, C.M. Aerodynamic admittance of truss girder in homogeneous turbulence. J. Wind Eng. Indust. Aerodyn. 2018, 172, 152–163. [Google Scholar] [CrossRef]
- Huo, T.; Tong, L.W.; Mashiri, F.R. Turbulent wind field simulation of wind turbine structures with consideration of the effect of rotating blades. Adv. Steel Constr. 2019, 15, 82–92. [Google Scholar] [CrossRef]
- Cao, S.Y.; Nishi, A.; Hirano, K.; Ozono, S.; Miyagi, H.; Kikugawa, H.; Matsuda, Y.; Wakasugi, Y. An actively controlled wind tunnel and its application to the reproduction of the atmospheric boundary layer. Bound. Layer Meteorol. 2001, 101, 61–76. [Google Scholar] [CrossRef]
- Hui, M.; Larsen, A.; Xiang, H.F. Wind turbulence characteristics study at the Stonecutters Bridge site: Part II: Wind power spectra, integral length scales and coherences. J. Wind Eng. Indust. Aerodyn. 2009, 97, 48–59. [Google Scholar] [CrossRef]
- Hancock, P.E.; Hayden, P. Wind-tunnel simulation of weakly and moderately stable atmospheric boundary layers. Bound. Layer Meteorol. 2018, 168, 29–57. [Google Scholar] [CrossRef] [Green Version]
- Krug, D.; Baars, W.J.; Hutchins, N.; Marusic, I. Vertical coherence of turbulence in the atmospheric surface layer: Connecting the hypotheses of townsend and davenport. Bound. Layer Meteorol. 2019, 172, 199–214. [Google Scholar] [CrossRef] [Green Version]
- Batchelor, G.K. The Theory of Homogeneous Turbulence; The Syndics of the Cambridge University Press: London, UK, 1956. [Google Scholar]
- Ruderich, R.; Fernholz, H.H. An experimental investigation of a turbulent shear flow with separation, reverse flow, and reattachment. J. Fluid Mech. 1986, 163, 283–322. [Google Scholar] [CrossRef]
- Li, S.P.; Li, M.S.; Liao, H.L. The lift on an aerofoil in grid-generated turbulence. J. Fuild Mech. 2015, 771, 16–35. [Google Scholar] [CrossRef]
- Krenk, S. Wind field coherence and dynamic wind forces. In IUTAM Symposium on Advances in Nonlinear Stochastic Mechanics; Springer: Dordrecht, The Netherlands, 1996; pp. 269–278. [Google Scholar]
- Hansen, S.O.; Krenk, S. Dynamic along-wind response of simple structures. J. Wind Eng. Indust. Aerodyn. 1999, 82, 147–171. [Google Scholar] [CrossRef]
- Engineering Sciences Data Unit (ESDU). Characteristic of Atmospheric Turbulence Near the Ground: III. Variations in Space and Time for Strong Winds (Neutral Atmosphere); ESDU 86010; ESDU: London, UK, 1986. [Google Scholar]
- Chougule, A.; Mann, J.; Kelly, M.; Sun, J.; Lenschow, D.H.; Patton, E.G. Vertical cross-pectral phases in natural atmospheric flow. J. Turbul. 2012, 13, 1–13. [Google Scholar] [CrossRef]
- Architectural Industry Press of China. Load Code for Design of Building Structures; GB 50009-2012; Architectural Industry Press of China: Beijing, China, 2012. [Google Scholar]
- Huang, D.M.; Zhu, L.D.; Ding, Q.S. Experimental research on vertical coherence function of wind velocities in atmospheric boundary layer wind field. J. Exp. Fluid Mech. 2009, 23, 34–40. [Google Scholar]
- Zeng, J.D.; Li, Z.G.; Li, M.S. Coherence of simulated atmospheric boundary-layer turbulence. Fluid Dyn. Res. 2017, 49, 065504. [Google Scholar] [CrossRef] [Green Version]

















| Time history of wind velocity | |
| Correlation function | |
| , , | Correlation coefficients |
| Distance at lateral and vertical directions | |
| , , | Corresponding structural axis |
| , | Span-wise distance of two directions |
| , , | Velocity components of turbulence |
| , , , | Spectrum |
| a, | Shape and length scale factor |
| , , , | Integral length scale |
| , , | Turbulence intensity |
| , | Root mean square values |
| , , | Average wind velocity |
| , , | Wave number |
| Frequency | |
| , | Coherence function |
| , | Bessel function of the first kind |
| Gamma function | |
| , , , , , | Bessel function of the second kind |
| , , , , , , , , , , , | Coefficients of the theoretical coherence model |
| , , | Decay factor of coherence model |
| , , , | Correction parameters in empirical coherence models |
| , , , , , , , | Fitted await parameters in empirical coherence models |
| Probe Layout | 1# | 2# | 3# | 4# | 5# | 6# | 7# | 8# | 9# | 10# | 11# |
|---|---|---|---|---|---|---|---|---|---|---|---|
| Lateral direction | 0 | 0.45 | 0.6 | 0.65 | 0.73 | 0.95 | 1.3 | - | - | - | - |
| Vertical direction | 0 | 0.05 | 0.25 | 0.48 | 0.71 | 0.91 | 0.96 | 1.11 | 1.14 | 1.31 | 1.62 |
| Wind Field Type | Integral Length Scale | Turbulence Intensity | ||||
|---|---|---|---|---|---|---|
| Lu (m) | Lv (m) | Lw (m) | Iu (%) | Iv (%) | Iw (%) | |
| BL1 | 1.216 | 0.376 | 0.301 | 12.8 | 10.7 | 8.4 |
| BL2 | 1.158 | 0.351 | 0.268 | 20.8 | 18.2 | 16.7 |
| BL3 | 1.027 | 0.324 | 0.232 | 27.1 | 22.1 | 18.3 |
| Wind Field Type | Von Kármán Model | Dryden Model | |||
|---|---|---|---|---|---|
| BL1 | 0.6 | 0.489 | 1.535 | 0.512 | 1.978 |
| 0.9 | 0.493 | 1.52 | 0.568 | 2.013 | |
| 1.2 | 0.527 | 1.587 | 0.582 | 2.075 | |
| BL2 | 0.6 | 0.491 | 1.591 | 0.547 | 1.993 |
| 0.9 | 0.513 | 1.632 | 0.528 | 2.043 | |
| 1.2 | 0.524 | 1.643 | 0.574 | 2.123 | |
| BL3 | 0.6 | 0.466 | 1.665 | 0.533 | 1.96 |
| 0.9 | 0.507 | 1.653 | 0.577 | 2.01 | |
| 1.2 | 0.52 | 1.727 | 0.583 | 2.085 | |
Publisher’s Note: MDPI stays neutral with regard to jurisdictional claims in published maps and institutional affiliations. |
© 2021 by the authors. Licensee MDPI, Basel, Switzerland. This article is an open access article distributed under the terms and conditions of the Creative Commons Attribution (CC BY) license (https://creativecommons.org/licenses/by/4.0/).
Share and Cite
Zeng, J.; Zhang, Z.; Li, M.; Li, Z. The Spatial Structure of Passively Simulated Atmospheric Boundary Layer Turbulence. Appl. Sci. 2021, 11, 11934. https://doi.org/10.3390/app112411934
Zeng J, Zhang Z, Li M, Li Z. The Spatial Structure of Passively Simulated Atmospheric Boundary Layer Turbulence. Applied Sciences. 2021; 11(24):11934. https://doi.org/10.3390/app112411934
Chicago/Turabian StyleZeng, Jiadong, Zhitian Zhang, Mingshui Li, and Zhiguo Li. 2021. "The Spatial Structure of Passively Simulated Atmospheric Boundary Layer Turbulence" Applied Sciences 11, no. 24: 11934. https://doi.org/10.3390/app112411934
APA StyleZeng, J., Zhang, Z., Li, M., & Li, Z. (2021). The Spatial Structure of Passively Simulated Atmospheric Boundary Layer Turbulence. Applied Sciences, 11(24), 11934. https://doi.org/10.3390/app112411934
