Next Article in Journal
Analysis of Hydrogeochemical Characteristics and Origins of Chromium Contamination in Groundwater at a Site in Xinxiang City, Henan Province
Next Article in Special Issue
A Fuzzy Logic Reinforcement Learning Control with Spring-Damper Device for Space Robot Capturing Satellite
Previous Article in Journal
Playful Metaphors for Narrative-Driven E-Learning
 
 
Font Type:
Arial Georgia Verdana
Font Size:
Aa Aa Aa
Line Spacing:
Column Width:
Background:
Article

Integrated Fixed Time Sliding Mode Control for Motion and Vibration of Space Robot with Fully Flexible Base–Link–Joint

1
School of Energy and Mechanical Engineering, Jiangxi University of Science and Technology, Nanchang 330013, China
2
School of Mechanical Engineering and Automation, Fuzhou University, Fuzhou 350108, China
*
Author to whom correspondence should be addressed.
Appl. Sci. 2021, 11(24), 11685; https://doi.org/10.3390/app112411685
Submission received: 5 November 2021 / Revised: 26 November 2021 / Accepted: 1 December 2021 / Published: 9 December 2021
(This article belongs to the Special Issue Mechanisms and Robotics in Astronautic and Deep Space Exploration)

Abstract

:
The dynamic modeling, motion control and flexible vibration active suppression of space robot under the influence of flexible base, flexible link and flexible joint are explored, and motion and vibration integrated fixed-time sliding mode control of fully flexible system is designed. The flexibility of the base and joints are equivalent to the vibration effect of linear springs and torsion springs. The flexible links are regarded as Euler–Bernoulli simply supported beams, which are analyzed by the hypothetical mode method, and the dynamic model of the fully flexible space robot is established by using the Lagrange equation. Then, the singular perturbation theory is used to decompose the model into slow subsystem including rigid motion and the link flexible vibrations, and fast subsystems including the base and the joint flexible vibrations. A fixed time sliding mode control based on hybrid trajectory is designed for the slow subsystem to ensure that the base and joints track the desired trajectory in a limited time while achieving vibration suppression on the flexible links. For the fast subsystem, linear quadratic optimal control is used to suppress the flexible vibration of the base and joints. The simulation results show that the controller proposed in the paper can make the system state converge within a fixed time, is robust to model uncertainty and external interference, and can effectively suppress the flexible vibration of the base, links, and joints.

1. Introduction

Space robots are rootless multi-body systems used to perform exploration, assembly, construction, service, repair, or assist astronauts in extravehicular missions in the special space environment, and play an integral role in the space exploration process, and have been the focus of research by space workers [1,2,3,4,5,6]. Space missions are complex and diverse, and space robots have different configurations [7]. For space robots with small size, low slow speed, and low control accuracy requirements, they are generally modelled and controlled according to multi-rigid body systems. In recent years, as the research on space robotics has intensified, various studies on space robotics under the assumption of rigid model have been relatively mature, and the obtained results can better solve various problems including system dynamics modelling, motion planning and trajectory tracking. However, the existing space robots are typical flexible multi-body systems, and their base, links and joints are subject to flexible vibration phenomena. For example, the joint device that drives the motion of the links of a space robot will be flexible due to reasons such as a lightweight drive motor [8]. The link is generally made of lightweight materials due to factors such as launch cost and structural design, and is designed as a slender rod-like structure, which is prone to vibration when performing tasks [9]. Moreover, the length of the space robot link is limited by constraints such as the size and structure of the launch vehicle. Moreover, due to the constraints of launch vehicle size and structure, the length of the space robot link is limited, so it is easy to fail to reach the working area during the construction or maintenance of large solar power panels, etc. Considering the space robot with the robot arm fixed to the base, the working range and operational flexibility are much less than the space robot with the robot arm sliding on the base in the same configuration, so the latter is more operable. A space robot arm which can slide on the base is mounted on the base truss rail to cover a larger working area by moving the arm, but the truss rail is prone to vibration under the influence of external forces [10].
From the above analysis, it is clear the space robot structure flexibility is mainly caused by the vibration of three types of components: the base, links and joints. In the non-damped space environment, once the flexible vibration is excited, the decay will be very slow, and the high-frequency tremor not only affects the normal rest and relaxation of astronauts, but also excites each other with the space robot base and joint motion, which in serious cases causes significant shaking of the base of the reserve liquid fuel and even damage to the joint device. In addition, because the space robot motor directly drives the base and joints, and the vibration of the flexible joints and the joint drive torque are coupled with each other, it is easy to cause the vibration of the base, which leads to the difficulty of controlling the base and joints, and then affects the control accuracy of the whole system, and even triggers the control failure. Therefore, considering the flexibility effect of space robot bases, arms, and joints and actively suppressing their vibration is of great importance in improving system control accuracy and ensuring reliability.
At present, scholars from various countries have accumulated a great deal of research experience in dealing with the flexibility of space robot arms [11]; they have also achieved certain results in the control and vibration suppression problems of flexible jointed robots [12]; they have also obtained stage results in dealing with the influence of the flexibility of a certain two types of components in the existence of bases, arms and joints of space robots [13]. Li et al. [14] discussed collision motion control of a flexible two-armed space robot capturing a rotating object. Fu et al. [15] studied the passive finite dimensional repetitive control and vibration suppression of flexible jointed space robots. Yang et al. [16] investigated adaptive output feedback control algorithms for flexible base robots. Yu et al. [17] investigated a hybrid trajectory-based terminal sliding mode control scheme for a flexible space robot arm under the influence of base vibration. However, research on motion control and vibration suppression of base, arm, and joint fully flexible space robots is not yet available and needs to be accumulated and improved further. The fully flexible space robot is a highly coupled and nonlinear time-varying system with rigid motion and triple-flexible vibration, which faces four outstanding difficulties: complicated dynamics modelling, difficulty of rigid-flexible decoupling, low accuracy of motion control and difficulty of triple-flexible simultaneous vibration suppression. Thus, this paper proposes a dynamics modeling method for elastic base, flexible arm and flexible joint space robots, as well as a rigid-flexible decoupling scheme based on the dual time-scale scaling method, and designs an integrated control scheme for the motion and vibration of fully flexible space robots based on the decomposed model.
Tracking control is particularly important for space robotics applications, where the goal is to enable the base and joints to track up the desired trajectory with the desired dynamic performance. In recent decades, various space robot control methods have emerged [18,19]. However, because the fully flexible space robot has time-varying, rigid-flexible strong coupling, highly nonlinear and other characteristics, traditional PID control, feedback control and other factors struggle to meet its high-precision requirements, and for the ordinary rigid motion controller, because it cannot suppress the system multiple flexible vibration, control failure of fully flexible system is easy to trigger. Although sliding mode control and adaptive control have high control accuracy, most of the stabilization is asymptotic stabilization, which takes an infinitely long time to converge to the equilibrium point of the system and the different initial states of the system can significantly affect the tracking performance. To address the above problems, this paper proposes a fixed-time sliding mode control for motion vibration integration, and uses Lyapunov theory to demonstrate that the system tracking error can converge in fixed time, while achieving the suppression of flexible vibration of the base, arm and joint. Simulation analysis was performed to verify the effectiveness of the proposed algorithm.
This paper is organized as follows. In Section 2, the base, arm, and joint fully flexible space robot dynamics models are developed. In Section 3, the rigid-flexible decomposition of the model is performed for the fully flexible spatial robot system based on the dual time-scale scaling principle. In Section 4, the motion vibration integrated fixed-time sliding mode control is proposed to achieve convergence of the base and joints to the desired trajectory in a fixed time and to suppress the base, arm, and joint flexible vibration simultaneously. In Section 5, numerical simulations are performed to verify this control strategy. Finally, conclusions are given in Section 6.

2. Dynamic Modeling of Fully Flexible Base–Link–Joint Space Robot

2.1. Fully Flexible Base–Link–Joint Space Robot Model

As shown in Figure 1, the floating flexible base–link–joint space robot consists of a carrier B 0 , a flexible link B 1 at the near the base, and a flexible link B 2 at the far base. O C 0 is the center of mass of base B 0 , O C is the total center of mass of the system, and O k is the geometric center of the joint hinge connecting B k 1 and B k ( k = 1 , 2 ) . The inertial coordinate system O X Y and each split contiguous coordinate system O k X k Y k ( k = 0 , 1 , 2 ) are established, where O 0 overlaps with O C 0 . r 0 and r C denote the position vectors of the base center of mass and the total center of mass of the system in the inertial coordinate system, respectively, and r k denotes the vector diameter of any point on the flexible link B k with respect to O ( k = 1 , 2 ) . q b is the base elastic deformation at the articulation of base and link B 1 , q 0 is the base attitude angle, q k is the relative rotation angle of link B k , and q m k is the rotation angle of the joint motor rotor ( k = 1 , 2 ) . x k is the arbitrary distance in the direction of the longitudinal axis X k of the flexible link B k , and v k ( x k , t ) is the transverse elastic deformation of the link B k at the x k cross section. The mass of the base is m 0 and the inertia is J 0 . The initial length of link B k is l k and the density is ρ k ( k = 1 , 2 ) . The inertia of the motor rotor at joint O k is J m k . In this paper, the elastic part of the base is equated to a massless linear telescopic spring, the stiffness factor k b is taken as a constant value, and the distance between O C 0 and O 1 is l 0 when the initial amplitude of the base is 0 m.

2.2. Flexible Joint Model

According to Spong’s assumption [20], the flexible coupling between the rotor of the drive motor mounted at joint O k ( k = 1 , 2 ) and the link B k can be simplified to a linear torsion spring without inertia, taking its stiffness factor k m k as a constant value. When the motor rotor turns through angle q m k , the actual angle of rotation of the driven link B k is q k due to the torsion spring elastic force. Therefore, the elastic force between the motor rotor and the link is k m k ( q m k q k ) . The flexible joint structure is shown in Figure 2.

2.3. Flexible Link Model

In this paper, the flexible link of the robot arm is equated to a simply supported beam, which is analyzed by using the Euler–Bernoulli beam correlation theory with the hypothetical modal method. Take its flexural stiffness E I k as a constant value, and the deformation of flexible link B k ( k = 1 , 2 ) as:
v k ( x k , t ) = j = 1 n k ϕ k j ( x k ) δ k j ( t ) ,   ( 0 x k l k ) ,
where ϕ k j , δ k j denotes the j order modal function of link B k and its corresponding modal coordinates, ϕ k j ( x k ) = sin ( j π l k x k ) , n k are the retained modal numbers, and since the large-amplitude vibration is mainly composed of the first few modal orders, this paper takes n k = 2 .

2.4. Fully Flexible Base–Link–Joint Space Robot Modeling

According to the geometric position of the system in the inertial coordinate system, we have:
{ r 0 = ( x 0 , y 0 ) T r 1 = r 0 + ( l 0 + q b ) e 0 + x 1 e 1 + v 1 ( x 1 , t ) e 1 r 2 = r 0 + ( l 0 + q b ) e 0 + l 1 e 1 + x 2 e 2 + v 2 ( x 2 , t ) e 2 ,
where ( x 0 , y 0 ) is the base center-of-mass coordinate, e k ( k = 0 , 1 , 2 ) is the unit vector in the direction of each split conjoined coordinate system X k , and e k ( k = 1 , 2 ) is the unit vector in the direction of transverse deformation of the flexible link B k , perpendicular to the longitudinal axis X k .
The total mass of the system is:
m = m 0 + k = 1 2 ρ k l k .
According to the definition of the center of mass, we have:
m 0 r 0 + k = 1 2 0 l k ρ k r k dx k = m r C .
From Equations (1) to (3), we obtain the expressions for the vector diameter of each component of the system as:
r k = r C + Γ k 0 ( l 0 + q b ) e 0 + Γ k 1 e 1 + ( Γ k 2 δ 11 ( t ) + Γ k 3 δ 12 ( t ) ) e 1 + Γ k 4 e 2 + ( Γ k 5 δ 21 ( t ) + Γ k 6 δ 22 ( t ) ) e 2 ,   ( k = 0 , 1 , 2 ) ,
where Γ 00 ~ Γ 26 is the inertial parameter combination function.
Let r ˙ C = 0 , Equation (5) take the derivative, then calculate the kinetic energy of each split of the system as:
{ T r 0 = 1 2 m 0 r ˙ 0 2 + 1 2 J 0 q ˙ 0 2 T r i = 1 2 0 l k ρ k r ˙ k 2 dx k , ( k = 1 , 2 ) T m k = 1 2 J m k q ˙ m k 2 ,   ( k = 1 , 2 ) ,
where T r 0 indicates the kinetic energy of the base, T r k indicates the kinetic energy of link B k , and T m k indicates the kinetic energy of the motor rotor at joint O k .
Neglecting the effect of weak gravity, the potential energy of each part of the system is as follows:
{ V b = 1 2 k b q b 2 V a k = 1 2 j = 1 2 k δ k j δ k j 2 , ( k = 1 , 2 ) V m k = 1 2 k m k ( q m k q k ) 2 , ( k = 1 , 2 ) ,
where V b represents the elastic potential energy of the base, V a k represents the potential energy of link B k , k δ k j = E I k 0 l k ( ϕ ¨ k j 2 ( x k ) ) dx k , V m k represent the potential energy of flexible joints O k .
The Lagrange function is defined as:
L = T r 0 + k = 1 2 ( T r k + T m k ) V b k = 1 2 ( V a k + V m k ) .
Substituting Equation (8) into the Lagrange equation, the carrier position uncontrolled, attitude controlled fully flexible space robot dynamics model as follows:
D ( q b , q , δ ) [ q ¨ b q ¨ δ ¨ ] + h ( q b , q , δ , q ˙ b , q ˙ , δ ˙ ) + [ k b q b 0 τ K δ δ ] = [ 0 τ 0 0 2 × 1 0 4 × 1 ] ,
J m q ¨ m + τ = τ m ,
τ = K m σ ,
where D ( q b , q , δ ) R 8 × 8 is the symmetric positive definite mass matrix, h ( q b , q , δ , q ˙ b , q ˙ , δ ˙ ) R 8 × 1 is the column vector of centrifugal and Koch forces, which can be written as the product of H ( q b , q , δ , q ˙ b , q ˙ , δ ˙ ) R 8 × 8 and [ q ˙ b T , q ˙ T , δ ˙ T ] T . q = [ q 0 , q j T ] T is the column vector of carrier attitude and joint angle, q j = [ q 1 , q 2 ] T . q m = [ q m 1 , q m 2 ] T , δ = [ δ 11 , δ 12 , δ 21 , δ 22 ] T , K δ = d i a g ( k δ 11 , k δ 12 , k δ 21 , k δ 22 ) is the diagonal matrix of flexible rod stiffness coefficients, J m = d i a g ( J m 1 , J m 2 ) , K m = d i a g ( k m 1 , k m 2 ) , σ = q m q j , τ m = [ τ m 1 , τ m 2 ] T is the motor rotor control torque.

3. Model Decomposition of Fully Flexible Base–Link–Joint Space Robot

The outstanding difficulty of active control of motion vibration of fully flexible space robots lies in the existence of triple flexibility, and active suppression of the flexibility of one class of components will cause excitation of another class, which is difficult to control. To solve the above problem, the system flexibility is analyzed at different time scales using the singular perturbation method. The total controller of motor with joint flexibility compensation is designed as:
τ m = ( I + K c ) τ n K c τ ,
where I 2 × 2 is the unit matrix, K c 2 × 2 is the symmetric positive definite flexible compensation matrix, τ n 2 is the controller to be designed, and the expression is:
τ n = τ ns + τ nf ,
where τ ns 2 is the slow subsystem controller, τ nf 2 is the fast-variable subsystem controller.
Substituting Equation (12) into Equation (10), we have:
σ ¨ = J m 1 ( I + K c ) ( τ n τ ) q ¨ j .
Equation (9) is written in blocks as:
[ D bb D ba D ab D aa ] [ q ¨ b q ¨ δ ¨ ] + [ H bb H ba H ab H aa ] [ q ˙ b q ˙ δ ˙ ] + [ k b q b 0 τ K δ δ ] = [ 0 τ 0 0 2 × 1 0 4 × 1 ] ,
where D bb , H bb 1 × 1 , D ba , H ba 1 × 7 D ab , H ab 7 × 1 , D aa , H aa 7 × 7 , they are all submatrices corresponding to D ( q b , q , δ ) and H ( q b , q , δ , q ˙ b , q ˙ , δ ˙ ) .
Define the relation equation as follows:
N = [ N 11 N 12 N 21 N 22 ] = [ D bb D ba D ab D aa ] 1 ,
where N 11 1 × 1 , N 12 1 × 7 , N 21 7 × 1 , N 22 7 × 7 , they are all submatrices corresponding to N ( q b , q , δ ) .
Let q , δ be the slow sub-variant, q b , σ be the fast sub-variant, and μ = 1 / min ( k b , k m 1 , k m 2 ) be the singular perturbation factor.
Substituting Equation (16), τ = K m σ and μ = 0 into Equation (15), the kinetic equation of the slow subsystem is obtained as follows:
R ( q , δ ) [ q ¨ δ ¨ ] + S ( q , δ , q ˙ , δ ˙ ) [ q ˙ δ ˙ ] + [ 0 3 × 1 K δ δ ] = [ τ oj 0 4 × 1 ] ,
where R ( q , δ ) = D ¯ aa + [ 0 0 1 × 2 0 1 × 4 0 2 × 1 ( I + K c ) 1 J m 0 2 × 4 0 4 × 1 0 4 × 2 0 4 × 4 ] , S ( q , δ , q ˙ , δ ˙ ) = H ¯ aa , τ oj = [ τ 0 , τ ns T ] T , they are all submatrices corresponding to N ( q b , q , δ ) . Define to be an arbitrary matrix, then ¯ to be a new expression for when μ 0 .
Due to the coupling effect between the rigid motion of the slow-variable subsystem and the flexible vibration of the rod, which affects the operating accuracy. For this reason, before designing the trajectory tracking control algorithm, the slow subsystem needs to be decoupled, the R and S in Equation (17) are written in separate blocks as [ R 11 R 12 R 21 R 22 ] and [ S 11 S 12 S 21 S 22 ] , where R 11 , S 11 3 × 3 , R 12 , S 12 3 × 4 , R 21 , S 21 4 × 3 , R 22 , S 22 4 × 4 . Considering the external disturbance, the dynamic model of the fully driven rigid subsystem is obtained by decoupling Equation (17) as follows:
M ( δ , q ) q ¨ + C ( δ , δ ˙ , q , q ˙ ) q ˙ + c 1 ( δ , δ ˙ , q , q ˙ ) = τ oj + d ,
where M ( δ , q ) = R 11 R 12 R 22 1 R 21 , C ( δ , δ ˙ , q , q ˙ ) = S 11 R 12 R 22 1 S 21 is the column vector of centrifugal force and Coriolis force equivalent to the rigid subsystem, c 1 ( δ , δ ˙ , q , q ˙ ) = ( S 12 R 12 R 22 1 S 22 ) δ ˙ R 12 R 22 1 Κ δ δ is the nonlinear term of system dynamics, d is the external interference applied to the driving motor of the fully flexible space robot.
According to the principle of mutual independence of fast and slow time scales, the corresponding subsystem is found based on the fast time scale. Take fast time scale as t f = t / μ , fast subsystem state variable as q f = [ q f 1 , q f 2 , q f 3 T , q f 4 T ] T . q f 1 = q bf q ¯ bf , q f 2 = μ q ˙ bf , q f 3 = σ f σ ¯ f , q f 4 = μ σ ˙ f . The flexible deformation of the base and joint under the fast time scale are q bf and σ f respectively. Take the derivative of q f , the dynamics equation of the fast subsystem is as follows:
d q f / d t f = A f q f + B f τ nf ,
where A f = [ 0 1 0 1 × 2 0 1 × 2 N ¯ 11 k bf 0 N 12 K mf 0 1 × 2 0 2 × 1 0 2 × 1 0 2 × 2 I 2 × 2 0 2 × 1 0 2 × 1 J m 1 ( I + K c ) K mf 0 2 × 2 ] , B f = [ 0 1 × 2 T , 0 1 × 2 T , 0 2 × 2 , ( J m 1 ( I + K c ) ) T ] T , N 12 is the row vector consisting of the second and third elements of N ¯ 12 1 × 7 .

4. Integrated Fixed Time Sliding Mode Control for Motion and Vibration

4.1. Fixed Time Sliding Mode Control

For the fully driven slow rigid subsystem Equation (18), it is considered that the complete information of the model is difficult to obtain for practical applications, but a nominal model can usually be obtained. Let the nominal models of system Equation (18) be M 0 and C 0 , Δ M = M 0 M , Δ C = C 0 C . Then, Equation (18) can be rewritten as:
M 0 q ¨ + C 0 q ˙ = τ oj + ε ,
where ε = Δ M q ¨ + Δ C q ˙ c 1 + d .
Taking the state variable x 1 = q , x 2 = q ˙ . From Equation (20), we have:
{ x ˙ 1 = x 2 x ˙ 2 = Γ + Φ + h ,
where Γ = M 0 1 τ oj = [ Γ 1 , Γ 2 , Γ 3 ] T , Φ = M 0 1 ε = [ Φ 1 , Φ 2 , Φ 3 ] T , h = M 0 1 C 0 q ˙ = [ h 1 , h 2 , h 3 ] T .
Consider the nonlinear system as follows:
x ˙ ( t ) = f ( t , x ) ,   x ( t 0 ) = x 0 ,
where x ( t ) R n is the system state variable, f ( t , x ) is a smooth nonlinear function, and the origin is assumed to be the equilibrium point of the system (22).
Definition 1.
Suppose that system (22) is globally asymptotically stable if there exists a finite convergence time  t fc ( x 0 ) , which holds for all  t t fc satisfying  x ( t ) = 0 , then system (22) is globally finite time stable [21].
Definition 2.
The system (22) is globally fixed-time stable if it is globally finite-time stable while there exists a definite upper bound on the convergence time and the value of the upper bound is independent of the system state variables [22].
The following lemma gives a sufficient condition for the fixed time convergence of system (22).
Lemma 1.
If there is a continuous radial bounded positive definite function V , it satisfies the relationship as follows:
V ˙ κ 1 V p 1 ( x ) κ 2 V p 2 ( x ) ,
where κ 1 ,       κ 2 > 0 , p 1 > 1 , 0 < p 2 < 1 .
Then, the system (22) is globally fixed and time stable, and its convergence time satisfies the equation as follows [23]:
t fc t max : = 1 κ 1 ( p 1 1 ) + 1 κ 2 ( 1 p 2 ) .
For the dynamic model described in equation (21), the purpose of robot control is to make the base attitude angle and joint angle vector q track the desired trajectory q d = [ q d 0 , q d 1 , q d 2 ] T . The tracking error e = q q d is defined, e = [ e 0 , e 1 , e 2 ] T , where e 0 is the base attitude tracking error, and e 1 and e 2 are the trajectory tracking errors of 1 joint and 2 joint, respectively.
The switching function is selected as follows:
s i = e ˙ i + γ 1 e i a 1 + β 1 e i a 2 ,   i = 0 , 1 , 2 ,
where s 0 is the switching function of the base, s 1 and s 2 are the switching functions of 1 and 2 joints, respectively. a 1 = m 1 / n 1 , a 2 = p 1 / q 1 . γ 1 and β 1 are normal numbers, m 1 , n 1 , p 1 , q 1 are positive odd number and satisfies m 1 > n 1 and p 1 < q 1 < 2 p 1 .
The sliding mode reaching law is designed as follows:
s ˙ i = γ 2 2 ( s i 2 ) 2 a 3 1 β 2 2 ( s i 2 ) 2 a 4 1 ,   i = 0 , 1 , 2 ,
where a 3 = m 2 / n 2 , a 4 = p 2 / q 2 . γ 2 and β 2 are normal numbers, m 2 , n 2 , p 2 , q 2 are positive odd number and satisfies m 2 > n 2 and p 2 < q 2 .
Taking the derivative of Equation (25) and substituting Equation (21) into it, we have:
s ˙ i = e ¨ i + γ 1 a 1 e i a 1 1 e ˙ i + β 1 a 2 e i a 2 1 e ˙ i = Γ i + Φ i + h i q ¨ d i + γ 1 a 1 e i a 1 1 e ˙ i + β 1 a 2 e i a 2 1 e ˙ i , i = 0 , 1 , 2
Equation (26) is associated with Equation (27); we have:
Γ i = Φ i h i + q ¨ d i γ 1 a 1 e i a 1 1 e ˙ i β 1 a 2 e i a 2 1 e ˙ i γ 2 2 ( s i 2 ) 2 a 3 1 β 2 2 ( s i 2 ) 2 a 4 1 , i = 0 , 1 , 2
The fixed time sliding mode controller is as follows:
τ oj = M 0 Γ ,
where the elements of Γ are shown in Equation (28).
Theorem 1.
For system (21), the system is globally stable and the tracking error e converges to zero in a fixed time when the switching function (25) and the controller (28) are elected.
Proof 1.
Selecting Lyapunov function as:
V i = 1 2 s i 2 .
Taking the derivative of V i and substituting Equation (26) into it, we have:
V ˙ i = s ˙ i s i = γ 2 2 ( s i 2 ) 2 a 3 1 s i β 2 2 ( s i 2 ) 2 a 4 1 s i = γ 2 V i a 3 β 2 V i a 4
According to the lemma, the reaching time of the system is as follows:
t fc 1 t max 1 : = 1 γ 2 ( a 3 1 ) + 1 β 2 ( 1 a 4 ) .
When the system reaches the sliding surface, according to Equation (25), we have:
e ˙ i = γ 1 e i a 1 β 1 e i a 2 .
According to lemma and Equation (33), the sliding mode motion time of the system is as follows:
t fc 2 t max 2 : = 1 γ 1 ( a 1 1 ) + 1 β 1 ( 1 a 2 ) .
Because of V i 0 , V ˙ i 0 , the system is globally stable and the convergence time is as follows:
T fc = t max 1 + t max 2 = 1 γ 2 ( a 3 1 ) + 1 β 2 ( 1 a 4 ) + 1 γ 1 ( a 1 1 ) + 1 β 1 ( 1 a 2 )

4.2. Fixed Time Sliding Mode Control Based on Hybrid Trajectory

Since the fixed time sliding mode control designed in the previous section only ensures that the base and joints track the desired trajectory, but not the flexible links modes can be suppressed. Therefore, this section uses the virtual force concept to generate a hybrid trajectory q h that reflects both the rigid desired trajectory and the modal vibration1 and designs a fixed time sliding mode control based on the hybrid trajectory to achieve control of the base joint motion and suppression of the links vibration. Let e h = q h q d , virtual force F R 3 × 1 be generated by the generator as follows:
e ¨ h + K 1 e ˙ h + K 2 e ˙ h = F ,
where K 1 , K 2 3 × 3 are constant diagonal matrices.
Let the hybrid error be e r = q h q and the hybrid switching function be ( s i ) r = e ˙ i r + γ 1 e i r a 1 + β 1 e i r a 2 , i = 0 , 1 , 2 . Then, the fixed time sliding mode controller based on the hybrid trajectory is as follows:
( τ oj ) r = M 0 Γ r ,
Γ i r = Φ i h i + q ¨ r i γ 1 a 1 e i r a 1 1 e ˙ i r                       β 1 a 2 e i r a 2 1 e ˙ i r γ 2 2 ( s i r 2 ) 2 a 3 1 β 2 2 ( s i r 2 ) 2 a 4 1 , i = 0 , 1 , 2
Substituting the controller Equations (37) and (38) into the rigid subsystem Equation (18), we have:
e ¨ r + K 1 e ˙ r + K 2 e r = G ,
where G = q ¨ h M 1 [ C q ˙ c 1 + ( τ oj ) r + d ] + K 1 e ˙ r + K 2 e ˙ r + b e r .
Equation (36) is added to Equation (39), we have:
e ¨ + K 1 e ˙ + K 2 e = F + G .
Defining state variable q s = [ δ T , e T , δ ˙ T , e ˙ T ] T , according to Equations (37)–(40), we have:
q ˙ s = A s q s + B s F + L s .
where A s , B s , L s are the known coefficient matrices.
The virtual force F [24] is designed as follows:
F = R s 1 B s T P s q s ,
where R s is the weighting matrix corresponding to F in the performance index function, P s is the solution of the corresponding Riccati equation.

4.3. Base and Joint Flexible Vibration Suppression Control

In the fast subsystem, the state equation of variable q f representing flexible vibration under fast time scale t f is shown in Equation (19). Performance indicator functions are constructed as follows:
J qf = 1 2 0 ( q f T Q f q f + τ nf T R f τ nf ) d t f ,
where symmetric weight matrix Q f 0 , R f > 0 .
For any matrix , satisfying T = Q f , if the solution P of Riccati Equation (44) is symmetric and positive definite, then the matrix pair { A f , } is completely observable.
P A f + A f T P P B f R f 1 B f P + Q f = 0 .
Because the array pair { A f , B f } is completely controllable, there is an optimal control in Equation (19) as follows:
τ nf = R f 1 B f T P q f .
The optimal performance index function is as follows:
J qf = 1 2 q f T ( 0 ) P q f ( 0 ) ,
where P is the unique solution of Equation (44).
According to the above analysis, we have that the integrated fixed time sliding mode control for motion and vibration (IFSM) proposed in this paper is mainly composed of fixed time sliding mode controller based on hybrid trajectory (37), (38), virtual force (42), fast controller (45), controller to be designed (13) and motor general controller (12).

5. Simulation Analysis

The fully flexible base–link–joint space robot system shown in Figure 1 is used as an example for simulation and analysis. Fully flexible space robot base size l 0 = 1.5   m , base mass m 0 = 40   kg , base rotational inertia J 0 = 30   kg m 2 , base elasticity coefficient k b = 500   N / m . Link density ρ 1 = 3.5   kg / m , ρ 2 = 1.1   kg / m , link length l k = 1.5   m , link bending stiffness E I k = 100   N / m 2 . Motor rotor moment of inertia J m k = 0.1   kg m 2 , joint elasticity coefficient k m k = 50   N m / rad , k = 1 , 2 .
The simulation validation is implemented in MATLAB software, mainly using the 4th order Runge-Kutta method, taking a step size of 0.01 s. Let 0 s be the initial simulation time. Before the controller is turned on, the base and joints of the fully flexible space robot do not move, and the base, links and joints do not vibrate. Its initial configuration q b = 0   m , q = [ 0.5 , 0.3 , 0.9 ] T ( rad ) , δ = [ 0 , 0 , 0 , 0 ] T ( m ) , q m = [ 0.3 , 0.9 ] T ( rad ) . q ˙ b = 0   m / s , q ˙ = [ 0 , 0 , 0 ] T ( rad / s ) , δ ˙ = [ 0 , 0 , 0 , 0 ] T ( m / s ) , q ˙ m = [ 0 , 0 ] T ( rad / s ) . Assume that a space mission requires a fully flexible space robot base attitude and joints to track the following desired trajectory q d = [ q d 0 , q d 1 , q d 2 ] T :
{ q d 0 = cos ( π 5 t ) 1 q d 1 = sin ( π 5 t ) q d 2 = cos ( π 5 t ) .
In order to control the fully flexible space robot base and joints to track the preset desired trajectory to accomplish the space mission, the following simulation is conducted. Turn on the IFSM proposed in this paper at 0 s, and observe the movement of the system base and joint, as well as the vibration of the base, link and joint. The control parameters are selected as γ 1 = 40 , β 1 = 3 , m 1 = 7 , n 1 = 5 , p 1 = 7 , q 1 = 9 , γ 2 = 3 , β 2 = 5 , m 2 = 7 , n 2 = 5 , p 2 = 7 , q 2 = 9 , because the design purpose of IFSM controller is to suppress multiple vibration of fully flexible space robot and realize motion control. The common rigid controller has low reliability in controlling the fully flexible space robot, and it is easy to cause control failure. In order to verify this problem, and verify the effectiveness of the flexible vibration suppressor in the IFSM controller, the flexible vibration suppressor is closed in IFSM, and the IFSM without vibration suppression (IFSM-NV) is used to re-simulate. IFSM-NV is composed of Equations (28) and (29) and τ m = ( I + K c ) τ ns K c τ . The control parameters during simulation are the same as IFSM. In addition, compared with the traditional motion and vibration integrated sliding mode controller (ISM), IFSM has the functions of fixed time convergence and resisting external interference. In order to verify the advantages of IFSM control, ISM is used for comparative simulation. ISM is composed of traditional sliding mode controller and flexible vibration suppressor proposed in this paper, where switching function s r = e ˙ r + λ e r , sliding mode controller based on hybrid trajectory ( τ oj ) r = M ( q ¨ h λ e ˙ r ε sgn s r ) + C q ˙ . The control parameters are selected as ε = 2 , λ = 1 . At the same time, the flexible vibration suppressor is closed in ISM (ISM-NV) for simulation, and the control effect of ISM-NV is observed on the fully flexible system.
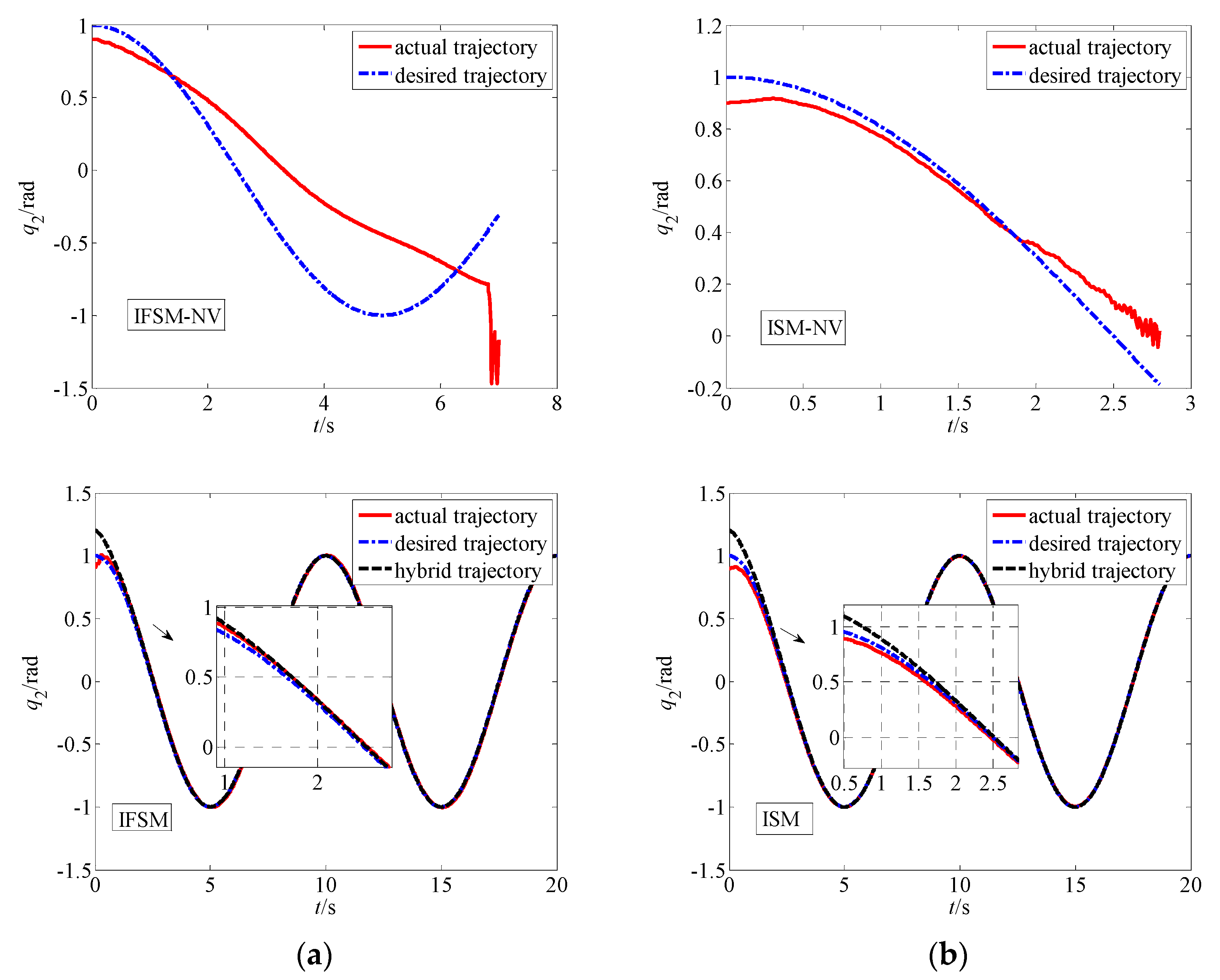
Therefore, for the fully flexible space robot system, the control schemes mainly include the following two categories: (1) IFSM control and IFSM-NV control and (2) ISM control and ISM-NV control. Figure 3 shows the base attitude trajectory tracking curve of the fully flexible space robot under two control conditions, and Figure 4 shows the 1 joint trajectory tracking curve of the fully flexible space robot under two control conditions. Figure 5 is the 2 joint trajectory tracking curve of fully flexible space robot under two control conditions.
From Figure 3a, it can be seen that with IFSM, the error between the base attitude angle and the desired base attitude angle of the fully flexible space robot is 0.0199 rad at 3.2 s, while with IFSM-NV, the desired trajectory can be tracked by 6.8 s, but the base trajectory has a tendency of irregular motion at 7 s. As can be seen from Figure 4a and Figure 5a, with IFSM, the error between the actual trajectory of the 1 joint and the desired trajectory is 0.0199 rad at 3 s, the error of the 2 joint is 0.0199 rad at 2.2 s; When IFSM-NV is used, both 1 joint and 2 joint tend to track the desired trajectory, but the tracking trend of 2 joint is not obvious, and both joints deviate from the desired trajectory at 7 s. As can be seen from Figure 3b, Figure 4b and Figure 5b, with ISM, the base attitude and joints of the fully flexible space robot can accurately track the desired trajectory. When the convergence time of the base and joint are 4 s, 3.3 s and 2.5 s, respectively, the error reaches 0.0199 rad; When ISM-NV is used, the base tends to track the desired trajectory before 2.5 s and the joint tends to track the desired trajectory before 2 s, but the joint deviates from the desired trajectory after 2 s. The simulation results show that both IFSM and ISM can control the base attitude and joint movement of the fully flexible space robot according to the expected trajectory. IFSM-NV and ISM-NV can only make the fully flexible space robot move according to the desired trajectory, or track the desired trajectory for a short time, and finally all diverge. It is verified that the rigid controller controls the fully flexible system with low control accuracy and easy to cause control failure. In addition, under IFSM control, the system convergence time is less than 5.6 s, while under ISM control, the system convergence time is less than 6 s. According to Equation (35), the fixed time of IFSM convergence is 3.8958 s; therefore, compared with ISM, the controller proposed in this paper meets the requirements of convergence in a fixed time.
In order to visually observe the flexible vibration suppression effect of the flexible vibration suppressor proposed in this paper on the system base and joint, the following simulation is carried out. Figure 6 is the flexible vibration curve of the base of the fully flexible space robot under two control conditions, and Figure 7 is the flexible vibration curve of the 1 joint of the fully flexible space robot under two control conditions. Figure 8 shows the flexible vibration curves of 2 joints of fully flexible space robot under two control conditions.
According to Figure 6a,b, the flexible vibration of the base can be suppressed within 0.015 m by using IFSM and ISM controllers. For space robots with large volume and heavy load, the vibration of the base truss guide rail meets the scope of aerospace applications. When the flexible vibration suppressor proposed in this paper is closed and controlled by IFSM-NV, the amplitude of the base gradually increases from 0.015 m and diverges beyond the actual value at 7 s. When ISM-NV control is adopted, the amplitude of the base reaches 0.05 m at 2.5 s, and the vibration tends to be irregular and uncontrollable. From Figure 7 and Figure 8, the IFSM and ISM controllers can suppress the amplitudes of the 1 and 2 joints of the fully flexible Space robot to within 0.2 rad and 0.05 rad, respectively. Using IFSM-NV controller, the amplitude of 1 joint reaches 0.5 rad at 4.5 s, and the amplitudes of 1 joint and 2 joint diverge around 7 s. With the IFSM-NV controller, both joint 1 and joint 2 vibrated violently at 2.5 s and finally caused control failure. The simulation results show the effectiveness of the flexible damper for the flexible suppression of the base and joint of the fully flexible space robot.
In order to further investigate the vibration suppression effect of the controller on the flexible link vibration of the fully flexible space robot, the following simulation is carried out. Among them, Figure 9 shows the first-order modal vibration curve of the link B1 of the fully flexible space robot under two control conditions; Figure 10 shows the second-order modal vibration curve of the link B1 of the fully flexible space robot under two control conditions; Figure 11 shows the first-order modal vibration curve of the link B2 of the fully flexible space robot under two control conditions; Figure 12 shows the second-order modal vibration curve of the link B2 of the fully flexible space robot under two control conditions.
From Figure 9 and Figure 10, it can be seen that by using IFSM and ISM controllers, the first-order mode of the link B1 can be suppressed within 2 mm and 5 mm, respectively, and the second-order mode of the link B1 can be suppressed within 0.05 mm and 0.4 mm, respectively. If the flexible vibration suppressor proposed in this paper is closed, under the control of IFSM-NV, the initial amplitude of the first mode of the link B1 is 0.01 m, reaching 0.4 m at 7 s, and the initial amplitude of the second mode of the link B1 is 0.2 mm, reaching 0.15 m at 7 s. Under ISM-NV control, the initial amplitude of the first mode of the link B1 is 0.02 m, reaching 0.04 m at 2 s, and the initial amplitude of the second mode of the link B1 reaches 6 mm at 2.7 s. From Figure 11 and Figure 12, it can be seen that by using IFSM and ISM controllers, the first-order mode of the link B2 can be suppressed within 1 mm and 2 mm, respectively, and the second-order mode of the link B2 can be suppressed within 0.02 mm and 0.2 mm, respectively. If the flexible vibration suppressor proposed in this paper is closed, under the control of IFSM-NV, the initial amplitude of the first mode of the link B2 is 2 mm and reaches 0.6 m in 7 s, the initial amplitude of the second-order mode of the link B2 reaches 0.06 m at 7 s. Under ISM-NV control, the first modal amplitude of the link B2 is 0.04 m, and the initial amplitude of the second modal of the link B2 reaches 0.04 m at 2.7 s. The simulation results show that the flexible vibration suppressor proposed in this paper can suppress the flexible vibration of the flexible link of the manipulator.
In addition, in order to compare and verify the robustness of IFSM to external interference, external disturbance is introduced to make d = diag ( 5 , 5 , 5 ) . Simulations were carried out separately using IFSM and ISM to observe the error convergence rates of the two control algorithms in the presence of the effect of d . Error conversion rates are calculated by log q q d , the unit is log ( rad ) . Therefore, the smaller the error convergence rate, the higher the control accuracy of the controller.
From Figure 13a, it can be seen that the total error convergence rate of the fully flexible space robot base, links and joint is within [−2.5, −1.6], when no external perturbation d is considered under the IFSM controller condition, and within [−2.5, −1.6] when the effect of the perturbation d is considered, the disturbance d can hardly affect the system control accuracy under IFSM control. From Figure 13b, it can be seen that the total error convergence rate of the fully flexible space robot base, links and joints is within [−1.7, −1.6] when the external disturbance d is not considered under the ISM controller condition; when the effect of the disturbance d is considered, the error convergence rate is within [−1.5, −2] and the control accuracy is significantly reduced, the disturbance d significantly degrades the system control accuracy under ISM control. The simulation results show that the IFSM controller is robust to external disturbances.

6. Conclusions

For space robot systems under the influence of full flexibility of base, arm and joint, based on the dynamics modeling and model singular regression decomposition, a motion vibration integration fixed-time sliding mode control scheme is proposed.
Simulation results show that for fully flexible space robot systems, the control accuracy of rigid motion controllers is low, and even control failures are easily triggered. The motion-vibration integrated fixed-time sliding-mode controller proposed in this paper can suppress vibrations of the base, links and joints of the fully flexible space robot within 0.015 m, 0.2 rad and 0.001 m. Meanwhile, the controller enables the base and joints to move according to the desired trajectory. Compared with the traditional integrated motion-vibration control consisting of sliding-mode control, this controller is suitable for systems with uncertain models, fixed-time convergence, and resistance to external disturbances.
In the future, we will also apply the designed control scheme to the semi physical simulation experimental platform to provide theoretical guidance and simulation verification for the actual operation of motion control and vibration suppression of fully flexible space robot. At the same time, the capture operation of non-cooperative spacecraft using fully flexible space robot is also the content of our further research.

Author Contributions

Conceptualization, X.F.; methodology, X.F. and H.A.; software, X.F. and L.C.; investigation, X.F. and H.A.; writing—original draft preparation, X.F.; writing—review and editing, X.F. and H.A.; supervision, H.A. and L.C.; funding acquisition, H.A. and L.C. All authors have read and agreed to the published version of the manuscript.

Funding

This work was supported by the National Natural Science Foundation of China (Grant No. 51741502, 11372073), Science and Technology Project of the Education Department of Jiangxi Province (Grant No. GJJ200864), Jiangxi University of Science and Technology PhD Research Initiation Fund (Grant No. 205200100514).

Institutional Review Board Statement

Not applicable.

Informed Consent Statement

Informed consent was obtained from all subjects involved in the study.

Data Availability Statement

Not applicable.

Conflicts of Interest

The authors declare no conflict of interest.

References

  1. Li, H.; Liang, J.; Wu, S.; Liu, Q.; Zhang, W. Dynamics modeling and experiment of a flexible capturing mechanism in a space manipulator. Lixue Xuebao Chin. J. Theor. Appl. Mech. 2020, 52, 1465–1474. [Google Scholar]
  2. Sands, T. Development of deterministic artificial intelligence for unmanned underwater vehicles (UUV). J. Mar. Sci. Eng. 2020, 8, 578. [Google Scholar] [CrossRef]
  3. Han, Y.; Guo, W.; Gao, F.; Yang, J. A new dimension design method for the cantilever-type legged lander based on truss-mechanism transformation. Mech. Mach. Theory 2019, 142, 103611. [Google Scholar] [CrossRef]
  4. Ai, H.; Zhu, A.; Wang, J.; Yu, X.; Chen, L. Buffer compliance control of space robots capturing a non-cooperative spacecraft based on reinforcement learning. Appl. Sci. 2021, 11, 5783. [Google Scholar] [CrossRef]
  5. Meng, Q.; Liang, J.; Ma, O. Identification of all the inertial parameters of a non-cooperative object in orbit. Aerosp. Sci. Technol. 2019, 91, 571–582. [Google Scholar] [CrossRef]
  6. Cocuzza, S.; Pretto, I.; Debei, S. Least-Squares-Based Reaction Control of Space Manipulators. J. Guid. Control Dyn. 2012, 35, 976–986. [Google Scholar] [CrossRef]
  7. Fu, X.; Ai, H.; Chen, L. Repetitive learning sliding mode stabilization control for a flexible-base, flexible-link and flexible-joint space robot capturing a satellite. Appl. Sci. 2021, 11, 2076. [Google Scholar] [CrossRef]
  8. Liu, L.; Yao, W.; Guo, Y. Prescribed performance tracking control of a free-flying flexible-joint space robot with disturbances under input saturation. J. Frankl. Inst. 2021, 358, 4571–4601. [Google Scholar] [CrossRef]
  9. Huang, X.; Chen, L. Finite-time control and vibration suppression of two-flexible-link space robots with dead-zone. Zhongguo Jixie Gongcheng 2019, 30, 1212–1218. [Google Scholar]
  10. Evans, L. Canadian Space Robotics on Board the International Space. In Proceedings of the CCToMM Symposium on Mechanism, Machines, and Mechatronics, Montreal, QC, Canada, 26–27 May 2005; Canadian Space Agency: Montreal, QC, Canada; pp. 26–27. [Google Scholar]
  11. Liang, J.; Chen, L.; Liang, P. Neural network adaptive control and vibration hierarchical fuzzy control of flexible arm space robot. Jisuanji Jicheng Zhizao Xitong/Comput. Integr. Manuf. Syst. CIMS 2012, 18, 1930–1937. [Google Scholar]
  12. Gorial, I. Sliding mode controller design for flexible joint robot. Eng. Technol. J. 2018, 36, 733–741. [Google Scholar]
  13. Zhang, Q.; Liu, X.; Cai, G. Dynamics and control of a flexible-link flexible-joint space robot with joint friction. Int. J. Aeronaut. Space Sci. 2021, 22, 415–432. [Google Scholar] [CrossRef]
  14. Li, X.; Wu, L. Impact motion control of a flexible dual-arm space robot for capturing a spinning object. Int. J. Adv. Robot. Syst. 2019, 16, 1–7. [Google Scholar] [CrossRef]
  15. Fu, X.; Chen, L. Passive finite-dimensional repetitive control based on singular perturbation method of free-floating space robotic manipulators system with two flexible joints. In Proceedings of the International Astronautical Congress, IAC, Bremen, Germany, 1–5 October 2018; pp. 1–5. [Google Scholar]
  16. Yang, B.; Calise, A.; Craig, J. Adaptive output feedback control of a flexible base manipulator. J. Guid. Control Dyn. 2007, 30, 1068–1080. [Google Scholar] [CrossRef]
  17. Yu, Y. Hybrid-trajectory based terminal sliding mode control of a flexible space manipulator with an elastic base. Robotica 2020, 38, 550–563. [Google Scholar] [CrossRef]
  18. Giordano, M.; Calzolari, D.; Stefano, M.; Mishra, H.; Christian, O.; Albu-Schaffer, A. Compliant floating-base control of space robots. IEEE Robot. Autom. Lett. 2021, 6, 7485–7492. [Google Scholar] [CrossRef]
  19. Shi, B.; Wu, H. Space robot motion path planning based on fuzzy control algorithm. J. Intell. Fuzzy Syst. 2021, 2, 1–8. [Google Scholar] [CrossRef]
  20. Spong, M. Modeling and control of elastic joint robots. J. Dyn. Syst. Meas. Control 1987, 109, 310–319. [Google Scholar] [CrossRef]
  21. Zuo, Z.; Tian, B.; Defoort, M.; Ding, Z. Fixed-time consensus tracking for multiagent systems with high-order integrator dynamics. IEEE Trans. Autom. Control. 2018, 63, 563–570. [Google Scholar] [CrossRef] [Green Version]
  22. Polyakov, A. Nonlinear feedback design for fixed-time stabilization of linear control systems. IEEE Trans. Autom. Control. 2012, 57, 2106–2110. [Google Scholar] [CrossRef] [Green Version]
  23. Zuo, Z.; Han, Q.; Ning, B.; Ge, X.; Zhang, X. An overview of recent advances in fixed-time cooperative control of multiagent. IEEE Trans. Ind. Inform. 2018, 14, 2322–2334. [Google Scholar]
  24. Lee, S.; Lee, C. Hybrid control scheme for robust tracking of two-link flexible manipulator. J. Intell. Robot. Syst. 2002, 34, 431–452. [Google Scholar] [CrossRef]
Figure 1. Fully flexible base–link–joint space robot structure diagram.
Figure 1. Fully flexible base–link–joint space robot structure diagram.
Applsci 11 11685 g001
Figure 2. Flexible joint structure diagram.
Figure 2. Flexible joint structure diagram.
Applsci 11 11685 g002
Figure 3. Trajectory tracking curve of the fully flexible space robot base attitude under t controls. (a) IFSM, (b) ISM.
Figure 3. Trajectory tracking curve of the fully flexible space robot base attitude under t controls. (a) IFSM, (b) ISM.
Applsci 11 11685 g003
Figure 4. Trajectory tracking curve of the fully flexible space robot, 1 joint under two controls. (a) IFSM, (b) ISM.
Figure 4. Trajectory tracking curve of the fully flexible space robot, 1 joint under two controls. (a) IFSM, (b) ISM.
Applsci 11 11685 g004
Figure 5. Trajectory tracking curve of the fully flexible space robot, 2 joint under two controls. (a) IFSM, (b) ISM.
Figure 5. Trajectory tracking curve of the fully flexible space robot, 2 joint under two controls. (a) IFSM, (b) ISM.
Applsci 11 11685 g005
Figure 6. Elastic vibration curve of the fully flexible space robot base under two controls. (a) IFSM, (b) ISM.
Figure 6. Elastic vibration curve of the fully flexible space robot base under two controls. (a) IFSM, (b) ISM.
Applsci 11 11685 g006
Figure 7. Elastic vibration curve of fully flexible space robot 1 joint under two controls. (a) IFSM, (b) ISM.
Figure 7. Elastic vibration curve of fully flexible space robot 1 joint under two controls. (a) IFSM, (b) ISM.
Applsci 11 11685 g007
Figure 8. Elastic vibration curve of fully flexible space robot 2 joint under two controls. (a) IFSM, (b) ISM.
Figure 8. Elastic vibration curve of fully flexible space robot 2 joint under two controls. (a) IFSM, (b) ISM.
Applsci 11 11685 g008
Figure 9. The first mode coordinates of the flexible link B1 under two controls. (a) IFSM, (b) ISM.
Figure 9. The first mode coordinates of the flexible link B1 under two controls. (a) IFSM, (b) ISM.
Applsci 11 11685 g009
Figure 10. The second mode coordinates of the flexible link B1 under two controls. (a) IFSM, (b) ISM.
Figure 10. The second mode coordinates of the flexible link B1 under two controls. (a) IFSM, (b) ISM.
Applsci 11 11685 g010
Figure 11. The first mode coordinates of the flexible link B2 under two controls. (a) IFSM, (b) ISM.
Figure 11. The first mode coordinates of the flexible link B2 under two controls. (a) IFSM, (b) ISM.
Applsci 11 11685 g011
Figure 12. The second mode coordinates of the flexible link B2 under two controls. (a) IFSM, (b) ISM.
Figure 12. The second mode coordinates of the flexible link B2 under two controls. (a) IFSM, (b) ISM.
Applsci 11 11685 g012
Figure 13. Error convergence rate under two controls. (a) IFSM, (b) ISM.
Figure 13. Error convergence rate under two controls. (a) IFSM, (b) ISM.
Applsci 11 11685 g013
Publisher’s Note: MDPI stays neutral with regard to jurisdictional claims in published maps and institutional affiliations.

Share and Cite

MDPI and ACS Style

Fu, X.; Ai, H.; Chen, L. Integrated Fixed Time Sliding Mode Control for Motion and Vibration of Space Robot with Fully Flexible Base–Link–Joint. Appl. Sci. 2021, 11, 11685. https://doi.org/10.3390/app112411685

AMA Style

Fu X, Ai H, Chen L. Integrated Fixed Time Sliding Mode Control for Motion and Vibration of Space Robot with Fully Flexible Base–Link–Joint. Applied Sciences. 2021; 11(24):11685. https://doi.org/10.3390/app112411685

Chicago/Turabian Style

Fu, Xiaodong, Haiping Ai, and Li Chen. 2021. "Integrated Fixed Time Sliding Mode Control for Motion and Vibration of Space Robot with Fully Flexible Base–Link–Joint" Applied Sciences 11, no. 24: 11685. https://doi.org/10.3390/app112411685

APA Style

Fu, X., Ai, H., & Chen, L. (2021). Integrated Fixed Time Sliding Mode Control for Motion and Vibration of Space Robot with Fully Flexible Base–Link–Joint. Applied Sciences, 11(24), 11685. https://doi.org/10.3390/app112411685

Note that from the first issue of 2016, this journal uses article numbers instead of page numbers. See further details here.

Article Metrics

Back to TopTop