Effects of Environmental and Electrical Factors on Metering Error and Consistency of Smart Electricity Meters
Abstract
:1. Introduction
2. On-Site Operation Experiments and Results
2.1. The Schematic of On-Site Operation for SEMs
2.2. Environmental Data
2.3. On-Site Measurement Error Data of SEMs
3. Discussion
3.1. Effects of Current on Metering Error
3.2. Effects of Power Coefficient on Metering Error
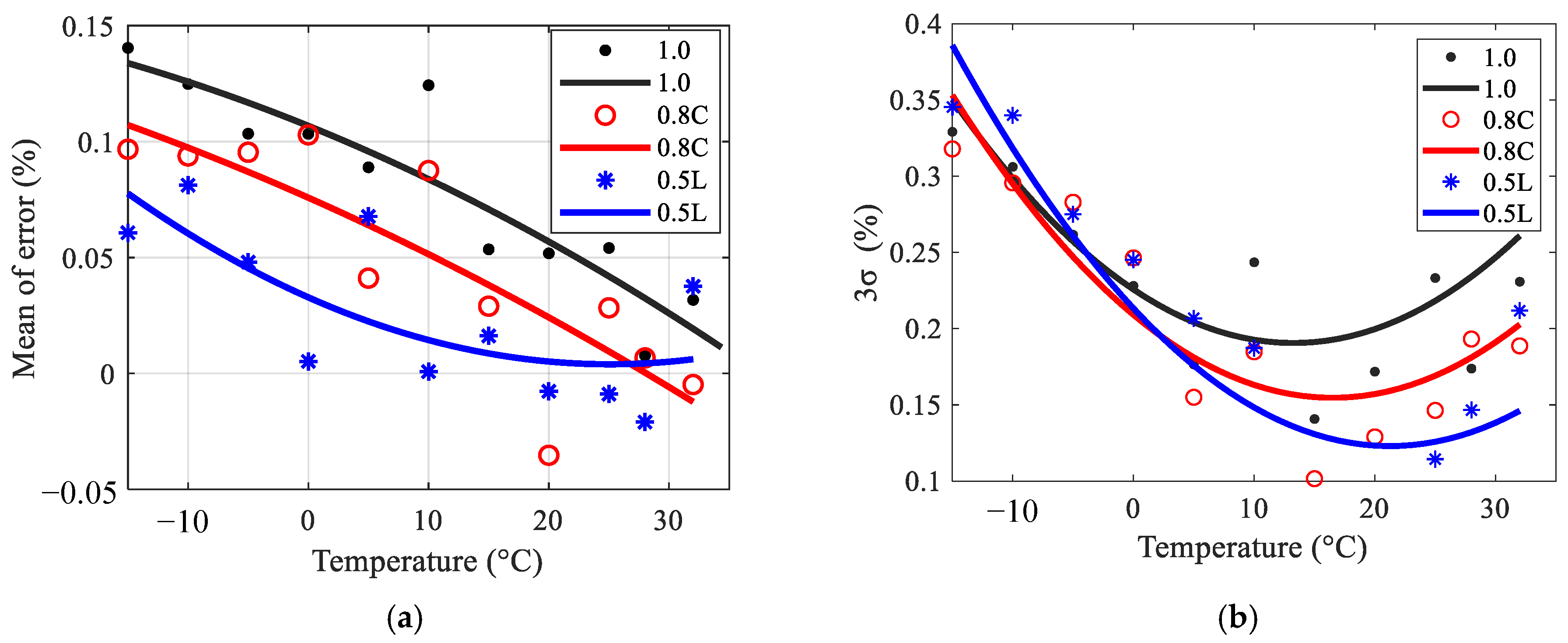
3.3. Effects of Temperature on Metering Error
3.4. Integrated Model of Metering Error under Current and Teperature
4. Conclusions
Author Contributions
Funding
Institutional Review Board Statement
Informed Consent Statement
Data Availability Statement
Acknowledgments
Conflicts of Interest
References
- Yao, L.; Zhang, J.M.; Hu, Y.J. Study on running reliability data processing method for smart electrical energy meters. Bull. Sci. Technol. 2018, 34, 125–129. [Google Scholar]
- Yang, Z.; Diao, D.C.; Lu, H.J.; Sun, Q.X.; Wu, S. Review and prospect of research on reliability test method of electric energy meters. Electr. Meas. Instrum. 2020, 57, 17–25. [Google Scholar]
- Bai, Y.D. The Stability Research of Electric Energy Meter Based on Accelerated Degradation Test. Master’s Thesis, National University of Defense Technology, Changsha, China, 2016. [Google Scholar]
- Yang, Z.; Chen, Y.X.; Li, Y.F.; Zio, E.; Kang, R. Smart Electricity Meter Reliability Prediction based on Accelerated Degradation Testing and Modeling. Int. J. Electr. Power Energy Syst. 2014, 56, 209–219. [Google Scholar] [CrossRef] [Green Version]
- Plenz, M.; Dong, C.; Grumm, F.; Meyer, M.F.; Schumann, M.; McCulloch, M.; Jia, H.; Schulz, D. Framework Integrating Lossy Compression and Perturbation for the Case of Smart Meter Privacy. Electronics 2020, 9, 465. [Google Scholar] [CrossRef] [Green Version]
- Apse-Apsitis, P.; Vitols, K.; Grinfogels, E.; Senfelds, A.; Avotins, A. Electricity meter sensitivity and precision measurements and research on influencing factors for the meter measurements. IEEE Electromagn. Compat. Mag. 2018, 7, 48–52. [Google Scholar] [CrossRef]
- Wang, X.W.; Wang, J.; Yuan, R.M.; Jiang, Z.Y. Orthogonal pseudo-random measurement dynamic test signal modeling and dynamic error indirect test method of likelihood function for electricity meter. Proc. CSEE 2019, 39, 6686–6699. [Google Scholar] [CrossRef]
- Wang, Y.; Chen, Q.; Hong, T.; Kang, C. Review of smart meter data analytics: Applications, methodologies, and challenges. IEEE Trans. Smart Grid 2019, 10, 3125–3148. [Google Scholar] [CrossRef] [Green Version]
- Alahakoon, D.; Yu, X. Smart electricity meter data intelligence for future energy systems: A survey. IEEE Trans. Ind. Inform. 2016, 12, 425–436. [Google Scholar] [CrossRef]
- Cheng, X.Q.; Yu, M.Q.; Liu, M.H.; Huang, R.; Xie, L.J.; Tan, H.B. Research on comprehensive performance evaluation method of smart energy meter. In Proceedings of the 2018 3rd International Conference on Mechanical Control and Computer Engineering (ICMCCE), Harbin, China, 8–10 December 2018; pp. 450–455. [Google Scholar]
- Jiao, Y.; Li, H.B.; Hu, C.; Zhang, Z.; Zhang, C.J. Data-driven evaluation for error states of standard electricity meters on automatic verification assembly line. IEEE Trans. Ind. Inform. 2019, 15, 4999–5006. [Google Scholar] [CrossRef]
- Yin, X.; Lu, Y.B.; Gong, Y.; Han, D.; Sun, Y.; Liu, H.Y.; Liang, Y.H. The error model of the smart meter under influence of temperature. Electr. Meas. Instrum. 2017, 54, 85–88. [Google Scholar]
- Xu, Q.; Cheng, H.M.; Cai, Q.X.; Ji, F.; Li, J.; Gao, Y.X.; Li, X.R. Study on the influence of environmental factors on the basic error of single-phase electricity meters. Electr. Meas. Instrum. 2020, 57, 119–125. [Google Scholar]
- Zheng, J.; Chen, L.; Yuan, W.; Dong, S.F.; Wu, Y.H.; Zhang, L.P. Study on error of meter with environmental factors under high altitude typical environment. Electr. Meas. Instrum. 2019, 56, 135–140. [Google Scholar]
- Kong, X.; Zhang, X.; Li, G.; Dong, D.; Li, Y. An estimation method of smart meter errors based on DREM and DRLS. Energy 2020, 204, 117774. [Google Scholar] [CrossRef]
- Edgars, G.; Peteris, A.A.; Senfelds, A.; Avotins, A.; Porins, R. Electrical power measurement method comparison using statistical analysis. In Proceedings of the 2018 IEEE 59th International Scientific Conference on Power and Electrical Engineering of Riga Technical University (RTUCON), Riga, Latvia, 12–14 November 2018; pp. 1–4. [Google Scholar]
- Lu, M.D. Analysis and Optimization of Metering Accuracy Consistency of Smart Power Meter Considering Temperature Effect. Master’s Thesis, Harbin Ind. Univ., Harbin, China, 2018. [Google Scholar]
- Yuan, R.M.; Lv, Y.G.; Jiang, Z.Y.; Li, W.W.; Ye, X.R.; Yang, H.Z.; Zhou, S.G.; Liu, L.; Xie, X.Y.; Zhai, G.F. Analysis and optimization design of intelligent meter measurement error consistency. Electr. Energy Manag. Technol. 2017, 17, 26–30. [Google Scholar]
- Cai, H.; Chen, H.; Ye, X.; Zhang, X.; Wen, H.; Li, J.; Guo, Q. An on-line state evaluation method of smart meters based on information fusion. IEEE Access 2019, 7, 163665–163676. [Google Scholar] [CrossRef]
- Avancini, D.B.; Rodrigues, J.J.P.C.; Martins, S.G.B.; Rabêlo, R.A.L.; Al-Muhtadi, J.; Solic, P. Energy meters evolution in smart grids: A review. J. Clean. Prod. 2019, 217, 702–715. [Google Scholar] [CrossRef]
- Kong, X.; Ma, Y.; Zhao, X.; Li, Y.; Teng, Y. A recursive least squares method with double-parameter for online estimation of electric meter errors. Energies 2019, 12, 805. [Google Scholar] [CrossRef] [Green Version]
- Abate, F.; Carratù, M.; Liguori, C.; Paciello, V. A low-cost smart power meter for IoT. Measurement 2019, 136, 59–66. [Google Scholar] [CrossRef]
- Kemal, M.; Sanchez, R.; Olsen, R.; Iov, F.; Schwefel, H.P. On the trade-off between timeliness and accuracy for low voltage distribution system grid monitoring utilizing smart meter data. Int. J. Electr. Power Energy Syst. 2020, 121, 106090. [Google Scholar] [CrossRef]
- Liu, X.L.; Cui, W.J.; Li, J.M. Electric Energy Meter Online Detection Method. WIPO Patent Application WO/2012/174693, 27 December 2012. [Google Scholar]
- Nakutis, Ž.; Saunoris, M.; Ramanauskas, R.; Daunoras, V.; Lukočius, R.; Marčiulionis, P. A method for remote estimation of wattmeter’s adjustment gain. IEEE Trans. Instrum. Meas. 2018, 68, 713–721. [Google Scholar] [CrossRef]
- Nakutis, Ž.; Kaškonas, P.; Saunoris, M.; Daunoras, V.; Jurčević, M. A framework for remote in-service metrological surveillance of energy meters. Measurement 2021, 168, 108438. [Google Scholar] [CrossRef]










| No. | Current | Power Coefficient | No. | Current | Power Coefficient |
|---|---|---|---|---|---|
| 1 | 1 | 8 | 0.8C | ||
| 2 | 0.8C | 9 | 0.5L | ||
| 3 | 0.5L | 10 | 1 | ||
| 4 | 1 | 11 | 0.8C | ||
| 5 | 0.8C | 12 | 0.5L | ||
| 6 | 0.5L | 13 | 1 | ||
| 7 | 1 |
| Ω | ψ | τ | aΩ,ψ,τ,2 | aΩ,ψ,τ,1 | aΩ,ψ,τ,0 | R2 |
|---|---|---|---|---|---|---|
| Ω = 0, Mean | 1.0 | 1 | 0.1898 | −0.1367 | 0.0716 | 0.8600 |
| 2 | 0.1233 | −0.1154 | 0.0727 | 0.5964 | ||
| 3 | 0.1039 | −0.1039 | 0.0570 | 0.4012 | ||
| 0.8C | 1 | 0.1751 | −0.1682 | 0.0737 | 1.0000 | |
| 2 | 0.0878 | −0.0951 | 0.0590 | 1.0000 | ||
| 3 | 0.0955 | −0.1101 | 0.0309 | 1.0000 | ||
| 0.5L | 1 | 0.0635 | −0.0675 | 0.0496 | 1.0000 | |
| 2 | −0.0533 | 0.0655 | −0.0051 | 1.0000 | ||
| 3 | −0.0683 | 0.0743 | 0.0178 | 1.0000 | ||
| Ω = 1, 3σ | 1.0 | 1 | −0.1175 | 0.1535 | 0.2778 | 0.6302 |
| 2 | −0.1201 | 0.1776 | 0.1648 | 0.9273 | ||
| 3 | −0.1703 | 0.2527 | 0.0789 | 0.9940 | ||
| 0.8C | 1 | 0.0120 | −0.0176 | 0.3215 | 1.0000 | |
| 2 | 0.0028 | −0.0005 | 0.1950 | 1.0000 | ||
| 3 | 0.0754 | −0.0835 | 0.1339 | 1.0000 | ||
| 0.5L | 1 | 0.0347 | −0.0789 | 0.3885 | 1.0000 | |
| 2 | 0.3434 | −0.5009 | 0.3758 | 1.0000 | ||
| 3 | 0.1229 | −0.1887 | 0.2203 | 1.0000 |
| Ω | ψ | pΩ,ψ,2 | pΩ,ψ,1 | pΩ,ψ,0 | SSE | R2 |
|---|---|---|---|---|---|---|
| Ω = 0, Mean | 1.0 | −1.9780 × 10−5 | −0.0021 | 0.1068 | 0.0032 | 0.8291 |
| 0.8C | −1.4090 × 10−5 | −0.0023 | 0.0758 | 0.0068 | 0.7098 | |
| 0.5L | 4.5830 × 10−5 | −0.0023 | 0.0328 | 0.0057 | 0.5346 | |
| Ω = 1, 3σ | 1.0 | 0.0002 | −0.0053 | 0.2257 | 0.0084 | 0.7523 |
| 0.8C | 0.0002 | −0.0066 | 0.2091 | 0.0086 | 0.8345 | |
| 0.5L | 0.0002 | −0.0085 | 0.2133 | 0.0160 | 0.8234 |
| Power Coefficient | Current | Mean Values of Metering Error (%) | ||||||||||
|---|---|---|---|---|---|---|---|---|---|---|---|---|
| −15 °C | −10 °C | −5 °C | 0 °C | 5 °C | 10 °C | 15 °C | 20 °C | 25 °C | 28 °C | 32 °C | ||
| 1 | Ib | 0.1404 | 0.1248 | 0.1034 | 0.1033 | 0.0889 | 0.1243 | 0.0535 | 0.0518 | 0.0541 | 0.0077 | 0.0317 |
| 0.5Ib | 0.0620 | 0.0671 | 0.0604 | 0.0739 | 0.0490 | 0.0536 | 0.0278 | 0.0188 | 0.0518 | 0.0092 | 0.0287 | |
| 0.1Ib | 0.0731 | 0.0477 | 0.0198 | 0.0501 | 0.0219 | 0.0683 | 0.0495 | 0.0287 | 0.0107 | 0.0280 | 0.0140 | |
| 0.05Ib | 0.0771 | 0.0821 | 0.0799 | 0.0774 | 0.0884 | 0.0785 | 0.0649 | 0.0704 | 0.0598 | 0.0583 | 0.0542 | |
| 0.8C | Ib | 0.0967 | 0.0938 | 0.0954 | 0.1029 | 0.0411 | 0.0875 | 0.0290 | −0.0353 | 0.0283 | 0.0067 | −0.0048 |
| 0.5Ib | 0.0501 | 0.0548 | 0.0343 | 0.0342 | 0.0153 | 0.0757 | 0.0162 | 0.0182 | −0.0216 | 0.0394 | −0.0057 | |
| 0.1Ib | 0.0559 | 0.0592 | 0.0435 | 0.0712 | 0.0551 | 0.0634 | −0.0194 | 0.0594 | 0.0359 | 0.0007 | −0.0268 | |
| 0.5L | Ib | 0.0607 | 0.0812 | 0.0480 | 0.0052 | 0.0677 | 0.0008 | 0.0162 | −0.0077 | −0.0089 | −0.0210 | 0.0376 |
| 0.5Ib | 0.0295 | 0.0370 | 0.0200 | −0.0213 | 0.0618 | −0.0218 | 0.0277 | 0.0112 | 0.0364 | −0.0373 | 0.0369 | |
| 0.1Ib | 0.0435 | 0.0861 | 0.0429 | −0.0146 | 0.0437 | −0.0185 | 0.0205 | 0.0695 | 0.0186 | −0.0442 | 0.0301 | |
| Power Coefficient | Current | 3σ of Metering Error (%) | ||||||||||
|---|---|---|---|---|---|---|---|---|---|---|---|---|
| −15 °C | −10 °C | −5 °C | 0 °C | 5 °C | 10 °C | 15 °C | 20 °C | 25 °C | 28 °C | 32 °C | ||
| 1 | Ib | 0.3291 | 0.3061 | 0.2616 | 0.2281 | 0.1765 | 0.2435 | 0.1407 | 0.1718 | 0.2332 | 0.1738 | 0.2308 |
| 0.5Ib | 0.3259 | 0.3213 | 0.2896 | 0.3060 | 0.1876 | 0.1923 | 0.1599 | 0.1144 | 0.2460 | 0.1786 | 0.2279 | |
| 0.1Ib | 0.3329 | 0.2973 | 0.2736 | 0.2249 | 0.1722 | 0.1850 | 0.2218 | 0.0989 | 0.1361 | 0.1680 | 0.1663 | |
| 0.05Ib | 0.2777 | 0.2616 | 0.2439 | 0.2018 | 0.2499 | 0.1455 | 0.0569 | 0.0730 | 0.0994 | 0.1283 | 0.1256 | |
| 0.8C | Ib | 0.3179 | 0.2956 | 0.2829 | 0.2464 | 0.1550 | 0.1848 | 0.1016 | 0.1290 | 0.1464 | 0.1932 | 0.1887 |
| 0.5Ib | 0.3198 | 0.3164 | 0.2672 | 0.2141 | 0.1835 | 0.2348 | 0.0807 | 0.1239 | 0.1380 | 0.2521 | 0.1826 | |
| 0.1Ib | 0.3193 | 0.2916 | 0.2688 | 0.2810 | 0.1604 | 0.1592 | 0.3250 | 0.1252 | 0.1605 | 0.1835 | 0.2166 | |
| 0.5L | Ib | 0.3453 | 0.3400 | 0.2750 | 0.2451 | 0.2068 | 0.1873 | 0.0590 | 0.0900 | 0.1144 | 0.1466 | 0.2118 |
| 0.5Ib | 0.3226 | 0.3109 | 0.2793 | 0.2544 | 0.2226 | 0.2143 | 0.0783 | 0.0789 | 0.1556 | 0.1776 | 0.1915 | |
| 0.1Ib | 0.3546 | 0.3122 | 0.3021 | 0.3557 | 0.2131 | 0.3593 | 0.0799 | 0.0925 | 0.2031 | 0.3854 | 0.1881 | |
| Ω | Parameters | Power Coefficient | ||
|---|---|---|---|---|
| 1.0 | 0.8C | 0.5L | ||
| Ω = 0, Mean | wa,0 | 0.1450 | 0.1284 | 0.0747 |
| ua,0 | −0.1095 | −0.1214 | −0.0787 | |
| va,0 | 0.0719 | 0.0688 | 0.0368 | |
| wb,0 | −0.0010 | −0.0024 | −0.0057 | |
| ub,0 | −0.0007 | 0.0006 | 0.0054 | |
| vb,0 | −0.0003 | −0.0005 | −0.0020 | |
| wc,0 | −5.4070 × 10−5 | −0.0001 | 7.5650 × 10−5 | |
| uc,0 | 5.2410 × 10−5 | 0.0002 | −6.7290 × 10−5 | |
| vc,0 | −1.8450 × 10−5 | −6.9960 × 10−5 | 3.7470 × 10−5 | |
| SSE | 0.0134 | 0.0176 | 0.0269 | |
| R-square | 0.6863 | 0.6161 | 0.2803 | |
| Ω = 1, 3σ | wa,1 | −0.1093 | 0.0631 | 0.1031 |
| ua,1 | 0.1346 | −0.1017 | −0.1729 | |
| va,1 | 0.1999 | 0.2477 | 0.2813 | |
| wb,1 | 0.0015 | 0.0051 | 0.0001 | |
| ub,1 | −0.0010 | −0.0081 | −0.0037 | |
| vb,1 | −0.0058 | −0.0037 | −0.0049 | |
| wc,1 | −0.0001 | −0.0003 | 7.4560 × 10−5 | |
| uc,1 | 0.0002 | 0.0004 | 1.1790 × 10−5 | |
| vc,1 | 8.9980 × 10−5 | 6.0890 × 10−5 | 0.0001 | |
| SSE | 0.0534 | 0.0584 | 0.1234 | |
| R-square | 0.7646 | 0.6514 | 0.5888 | |
Publisher’s Note: MDPI stays neutral with regard to jurisdictional claims in published maps and institutional affiliations. |
© 2021 by the authors. Licensee MDPI, Basel, Switzerland. This article is an open access article distributed under the terms and conditions of the Creative Commons Attribution (CC BY) license (https://creativecommons.org/licenses/by/4.0/).
Share and Cite
Xiong, S.; Zhang, J.; Zhang, B.; Sun, G.; Chen, Z.; Qi, J.; Sun, Y. Effects of Environmental and Electrical Factors on Metering Error and Consistency of Smart Electricity Meters. Appl. Sci. 2021, 11, 11457. https://doi.org/10.3390/app112311457
Xiong S, Zhang J, Zhang B, Sun G, Chen Z, Qi J, Sun Y. Effects of Environmental and Electrical Factors on Metering Error and Consistency of Smart Electricity Meters. Applied Sciences. 2021; 11(23):11457. https://doi.org/10.3390/app112311457
Chicago/Turabian StyleXiong, Suqin, Jiahai Zhang, Baoliang Zhang, Guodong Sun, Zhen Chen, Jia Qi, and Yongquan Sun. 2021. "Effects of Environmental and Electrical Factors on Metering Error and Consistency of Smart Electricity Meters" Applied Sciences 11, no. 23: 11457. https://doi.org/10.3390/app112311457
APA StyleXiong, S., Zhang, J., Zhang, B., Sun, G., Chen, Z., Qi, J., & Sun, Y. (2021). Effects of Environmental and Electrical Factors on Metering Error and Consistency of Smart Electricity Meters. Applied Sciences, 11(23), 11457. https://doi.org/10.3390/app112311457

