Preliminary Evaluation of Pentacene Field Effect Transistors with Polymer Gate Electret as Ionizing Radiation Dosimeters
Abstract
:1. Introduction
2. Materials and Methods
2.1. Fabrication of Pentacene Transistors
2.2. Electrical Characterization
2.3. Irradiation Experiments
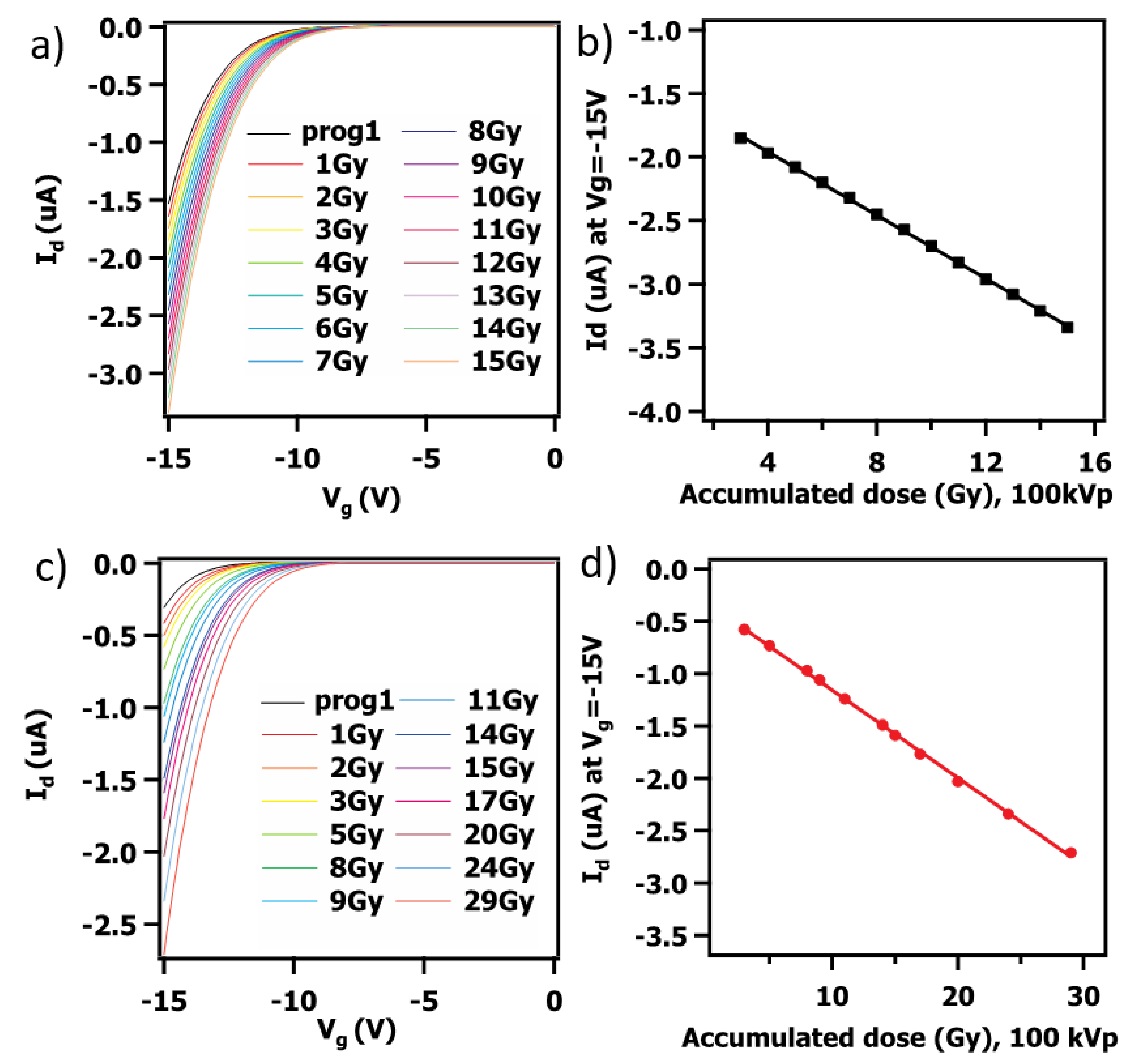
3. Results
3.1. Electrical Characterisation
3.2. Programming and Stability
3.3. Irradiation Response and Linearity
4. Discussion
5. Conclusions
Author Contributions
Funding
Data Availability Statement
Conflicts of Interest
References
- Boroumand, F.A.; Zhu, M.; Dalton, A.B.; Keddie, J.L.; Sellin, P.J.; Gutierrez, J.J. Direct X-ray detection with conjugated polymer devices. Appl. Phys. Lett. 2007, 9, 33509. [Google Scholar] [CrossRef] [Green Version]
- Ciavatti, A.; Capria, E.; Fraleoni-Morgera, A.; Tromba, G.; Dreossi, D.; Sellin, P.J.; Cosseddu, P.; Bonfiglio, A.; Fraboni, B. Toward Low-Voltage and Bendable X-ray Direct Detectors Based on Organic Semiconducting Single Crystals. Adv. Mater. 2015, 27, 7213–7220. [Google Scholar] [CrossRef]
- Fraboni, B.; Ciavatti, A.; Merlo, F.; Pasquini, L.; Cavallini, A.; Quaranta, A.; Bonfiglio, A.; Fraleoni-Morgera, A. Organic Semiconducting Single Crystals as Next Generation of Low-Cost, Room-Temperature Electrical X-ray Detectors. Adv. Mater. 2012, 24, 2289–2293. [Google Scholar] [CrossRef] [PubMed]
- Fraboni, B.; Ciavatti, A.; Basirico, L.; Fraleoni-Morgera, A. Organic semiconducting single crystals as solid-state sensors for ionizing radiation. Faraday Discuss. 2014, 174, 219–234. [Google Scholar] [CrossRef] [Green Version]
- Intaniwet, A.; Mills, C.A.; Shkunov, M.; Sellin, P.J.; Keddie, J.L. High Z nanoparticles for enhanced sensitivity insemiconducting polymer X-ray detectors. Nanotechnology 2012, 23, 235502–235509. [Google Scholar] [CrossRef] [Green Version]
- Isa, N.M.; Baharin, R.; Majid, R.A.; Rahman, W.A. Optical properties of conjugated polymer: Review of its change mechanism for ionizing radiation sensor. Polym. Adv. Technol. 2017, 28, 1559–1571. [Google Scholar] [CrossRef]
- Mills, C.A.; Intaniwet, A.; Shkunov, M.; Keddie, J.L.; Sellin, P.J. Flexible radiation dosimeters incorporating semiconducting polymer thick films. Int. Soc. Opt. Photonics 2009, 7449, 74491I. [Google Scholar] [CrossRef] [Green Version]
- Mills, C.A.; Chan, Y.F.; Intaniwet, A.; Shkunov, M.; Nisbet, A.; Keddie, J.L.; Sellin, P.J. Direct detection of 6 MV X-rays from a medical linear accelerator using a semiconducting polymer diode. Phys. Med. Biol. 2013, 58, 4471–4482. [Google Scholar] [CrossRef]
- Mills, C.A.; Al-Otaibi, H.; Intaniwet, A.; Shkunov, M.; Pani, S.; Keddie, J.L.; Sellin, P.J. Enhanced X-ray detection sensitivity in semiconducting polymer diodes containing metallic nanoparticles. J. Phys. D Appl. Phys. 2013, 46, 275102–275111. [Google Scholar] [CrossRef] [Green Version]
- Hupman, M.A.; Valitova, I.; Hill, I.G.; Syme, A. Radiation induced photocurrent in the active volume of P3HT/PCBM BHJ photodiodes. Org. Electron. 2020, 85, 105890. [Google Scholar] [CrossRef]
- Hupman, M.A.; Monajemi, T.; Valitova, I.; Hill, I.G.; Syme, A. Fabrication and characterization of a stemless plastic scintillation Detector. Med. Phys. 2020, 47, 5882–5889. [Google Scholar] [CrossRef]
- Valitova, I.; Hupman, M.A.; Hill, I.G.; Syme, A. Poly(3-hexylthiophene-2,5-diyl) based diodes for ionizing radiation dosimetry applications. Org. Electron. 2021, 88, 105981. [Google Scholar] [CrossRef]
- Raval, H.N.; Tiwari, S.P.; Navan, R.R.; Rao, V.R. Determining ionizing radiation using sensors based on organic semiconducting material. Appl. Phys. Lett. 2009, 94, 123304. [Google Scholar] [CrossRef] [Green Version]
- Raval, H.N.; Sutar, D.S.; Nair, P.R.; Ramgopal Rao, V. Investigation of effects of ionizing radiation exposure on material properties of organic semiconducting oligomer—Pentacene. Org. Electron. 2013, 14, 1467–1476. [Google Scholar] [CrossRef]
- Raval, H.N.; Sutar, D.S.; Ramgopal, R.V. Copper(II) phthalocyanine based organic electronic devices for ionizing radiation dosimetry applications. Org. Electron. 2013, 14, 1281–1290. [Google Scholar] [CrossRef]
- Hupman, M.A.; Hill, I.G.; Syme, A. Preliminary characterization of the response of an organic field effect transistor to ionizing radiation. Radiat. Meas. 2018, 118, 31–35. [Google Scholar] [CrossRef]
- Kim, J.J.; Ha, J.M.; Lee, H.M.; Raza, H.S.; Park, J.W.; Cho, S.O. Effect of Electron-Beam Irradiation on Organic Semiconductor and Its Application for Transistor-Based Dosimeters. ACS Appl. Mater. Interfaces 2016, 8, 19192–19196. [Google Scholar] [CrossRef]
- Basiricò, L.; Basile, A.F.; Cosseddu, P.; Gerardin, S.; Cramer, T.; Bagatin, M.; Ciavatti, A.; Paccagnella, A.; Bonfiglio, A.; Fraboni, B. Space Environment Effects on Flexible, Low-Voltage Organic Thin-Film Transistors. ACS Appl. Mater. Interfaces 2017, 9, 35150–35158. [Google Scholar] [CrossRef] [PubMed]
- Jain, S.; Surya, S.G.; Suggisetti, P.K.; Gupta, A.; Rao, V.R. Sensitivity improvement of medical dosimeters using solution processed TIPS-Pentacene FETs. IEEE Sens. J. 2019, 19, 4428–4434. [Google Scholar] [CrossRef]
- Mahato, A.K.; Bharti, D.; Varun, I.; Saxena, P.; Raghuwanshi, V.; Tiwari, S.P. UV assisted non-volatile memory behaviour using Copper (II) phthalocyanine based organic field-effect transistors. Org. Electron. 2021, 94, 106174. [Google Scholar] [CrossRef]
- Hsu, J.C.; Lee, W.Y.; Wu, H.C.; Sugiyama, K.; Hirao, A.; Chen, W.C. Nonvolatile memory based on pentacene organic field-effect transistors with polystyrenepara-substituted oligofluorene pendent moieties as polymer electrets. J. Mater. Chem. 2012, 22, 5820–5827. [Google Scholar] [CrossRef]
- Chou, Y.H.; Chang, H.C.; Liu, C.L.; Chen, W.C. Polymeric charge storage electrets for non-volatile organic field effect transistor memory devices. Polym. Chem. 2015, 6, 341–352. [Google Scholar] [CrossRef]
- Kassabov, J.; Nedev, N.; Smirnov, N. Radiation dosimeter based on floating gate MOS transistor. Radiat. Eff. Defects Solids 1991, 116, 155–158. [Google Scholar] [CrossRef]
- Pretzsch, G.; Dörschel, B.; Leuschner, A. Investigation of Teflon electret detectors for gamma dosimetry. Radiat. Prot. Dosim. 1983, 4, 79–84. [Google Scholar]
- Miki, T.; Ikeya, M. Theoretical response of electret dosimeter to ionizing radiation. Jpn. J. Appl. Phys. 1985, 24, 496. [Google Scholar] [CrossRef]
- Fallone, B.G.; MacDonald, B.A.; Ryner, L.R. Characteristics of a radiation-charged electret dosimeter. IEEE Trans. Electr. Insul. 1993, 28, 143–148. [Google Scholar] [CrossRef]
- Miki, T.; Ikeya, M.; Matsuyama, M.; Watanabe, K. Tritium detection using electret dosimeter. Jpn. J. Appl. Phys. 1984, 23, L931. [Google Scholar] [CrossRef]
- Sessler, G.M. Introduction and Physical Principles of Electrets; Springer: New York, NY, USA, 1980. [Google Scholar]







| Dose Rates | Sensitivity (nA/s) at Vds = −15 V; Vgs = −15 V |
|---|---|
| 600 cGy/min | 8.1 |
| 400 cGy/min | 5.7 |
| 300 cGy/min | 4.2 |
| 200 cGy/min | 2.8 |
| 60 cGy/min | 1.0 |
Publisher’s Note: MDPI stays neutral with regard to jurisdictional claims in published maps and institutional affiliations. |
© 2021 by the authors. Licensee MDPI, Basel, Switzerland. This article is an open access article distributed under the terms and conditions of the Creative Commons Attribution (CC BY) license (https://creativecommons.org/licenses/by/4.0/).
Share and Cite
Valitova, I.; Mitchell, A.; Hupman, M.A.; Hill, I.G.; Syme, A. Preliminary Evaluation of Pentacene Field Effect Transistors with Polymer Gate Electret as Ionizing Radiation Dosimeters. Appl. Sci. 2021, 11, 11368. https://doi.org/10.3390/app112311368
Valitova I, Mitchell A, Hupman MA, Hill IG, Syme A. Preliminary Evaluation of Pentacene Field Effect Transistors with Polymer Gate Electret as Ionizing Radiation Dosimeters. Applied Sciences. 2021; 11(23):11368. https://doi.org/10.3390/app112311368
Chicago/Turabian StyleValitova, Irina, Alexandria Mitchell, Michael A. Hupman, Ian G. Hill, and Alasdair Syme. 2021. "Preliminary Evaluation of Pentacene Field Effect Transistors with Polymer Gate Electret as Ionizing Radiation Dosimeters" Applied Sciences 11, no. 23: 11368. https://doi.org/10.3390/app112311368
APA StyleValitova, I., Mitchell, A., Hupman, M. A., Hill, I. G., & Syme, A. (2021). Preliminary Evaluation of Pentacene Field Effect Transistors with Polymer Gate Electret as Ionizing Radiation Dosimeters. Applied Sciences, 11(23), 11368. https://doi.org/10.3390/app112311368

