Influences of Single-Lane Automatic Driving Systems on Traffic Efficiency and CO2 Emissions on China’s Motorways
Abstract
:1. Introduction
2. Methodology
2.1. Driving Behavior Models of Vehicles
2.1.1. Longitudinal Driving Behavior Models of Vehicles
2.1.2. Lateral Driving Behavior Models of Vehicles
2.1.3. Distracted Driving Behavior Model
2.2. The Model of CO2 Emissions
3. Simulation Modeling
4. Results and Discussion
4.1. The Impact of SLADS on Traffic Efficiency and CO2 Emissions
4.1.1. The Impact of SLADS on Traffic Delay
4.1.2. The Impact of SLADS on Road Capacity
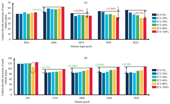
4.1.3. The Impact of SLADS on CO2 Emissions
4.2. Scenario Analysis: The Impact of SLADS under Different Driving Styles on Traffic Efficiency and CO2 Emissions
4.2.1. The Impact of SLADS on Traffic Delay under Different Driving Styles
4.2.2. The Impact of SLADS on Road Capacity under Different Driving Styles
4.2.3. The Impact of SLADS on CO2 Emissions under Different Driving Styles
5. Results and Suggestions
Author Contributions
Funding
Institutional Review Board Statement
Informed Consent Statement
Data Availability Statement
Conflicts of Interest
References
- Liu, Z. Zhao Fuquan’s Insights on the Automotive Industry (Volume Ⅱ); China Machine Press: Beijing, China, 2020. [Google Scholar]
- Li, K.; Dai, Y.; Li, S. State-of-the-art and technical trends of intelligent and connected vehicles. J. Automot. Saf. Energy 2017, 8, 1–14. [Google Scholar]
- Liu, Z.; Song, H.; Hao, H. Innovation and Development Strategies of China’s New-Generation Smart Vehicles Based on 4S Integration. Strateg. Study Chin. Acad. Eng. 2021, 23, 153–162. [Google Scholar]
- Kuang, X. Research on the Benefits and Business Models of Intelligent Connected Vehicles. Ph.D. Thesis, Tsinghua University, Beijing, China, 2019. [Google Scholar]
- Milakis, D.; Van Arem, B.; Van Wee, B. Policy and society related implications of automated driving: A review of literature and directions for future research. J. Intell. Transp. Syst. 2017, 21, 324–348. [Google Scholar] [CrossRef]
- He, S.; Guo, X.; Ding, F. Freeway traffic speed estimation of mixed traffic using data from connected and autonomous vehicles with a low penetration rate. J. Adv. Transp. 2020, 2020, 1–13. [Google Scholar] [CrossRef]
- Davis, L.C. Effect of adaptive cruise control systems on mixed traffic flow near an on-ramp. Phys. A: Stat. Mech. Its Appl. 2007, 379, 274–290. [Google Scholar] [CrossRef] [Green Version]
- Olia, A.; Razavi, S.; Abdulhai, B. Traffic capacity implications of automated vehicles mixed with regular vehicles. J. Intell. Transp. Syst. 2018, 22, 244–262. [Google Scholar] [CrossRef]
- Liu, P.; Fan, W. Exploring the impact of connected and autonomous vehicles on freeway capacity using a revised Intelligent Driver Model. Transp. Plan. Technol. 2020, 43, 279–292. [Google Scholar] [CrossRef]
- Ma, K.; Wang, H. Influence of exclusive lanes for connected and autonomous vehicles on freeway traffic flow. IEEE Access 2019, 7, 50168–50178. [Google Scholar] [CrossRef]
- Stogios, C.; Kasraian, D.; Roorda, M.J. Simulating impacts of automated driving behavior and traffic conditions on vehicle emissions. Transp. Res. Part D: Transp. Environ. 2019, 76, 176–192. [Google Scholar] [CrossRef]
- Tomás, R.F.; Fernandes, P.; Macedo, E. Assessing the emissions impacts of autonomous vehicles on metropolitan freeways. Transp. Res. Procedia 2020, 47, 617–624. [Google Scholar] [CrossRef]
- Qin, Y.; Hu, X.; He, Z. Longitudinal emissions evaluation of mixed (cooperative) adaptive cruise control traffic flow and its relationship with stability. J. Air Waste Manag. Assoc. 2020, 70, 670–686. [Google Scholar] [CrossRef] [PubMed]
- Rios-Torres, J.; Malikopoulos, A.A. Impact of connected and automated vehicles on traffic flow. In Proceedings of the 2017 IEEE 20th International Conference on Intelligent Transportation Systems (ITSC), Yokohama, Japan, 16–20 October 2017; pp. 1–6. [Google Scholar]
- Mahdinia, I.; Arvin, R.; Khattak, A.J. Safety, energy, and emissions impacts of adaptive cruise control and cooperative adaptive cruise control. Transp. Res. Rec. 2020, 2674, 253–267. [Google Scholar] [CrossRef]
- Strategic Advisory Committee of Energy-Saving and New Energy Vehicle Technology Roadmap, China Society of Automotive Engineering. Technology Roadmap for Energy Saving and New Energy Vehicles 2.0; China Machine Press: Beijing, China, 2020. [Google Scholar]
- Road Vehicles-Advanced Driver Assistance Systems-Terms and Definitions; GB/T 39263-2020; Standards Press of China: Beijing, China, 2020.
- Intelligent Transportation Systems-Adaptive Cruise Control Systems-Performance Requirements and Test Procedures; GB/T 20608-2006; Standards Press of China: Beijing, China, 2006.
- Performance Requirements and Test Procedures for Advanced Emergency Braking System for Commercial Vehicle; JT/T 1242-2019; Standards Press of China: Beijing, China, 2019.
- The Theory of Urban Traffic Flow; Beijing Jiaotong University Press: Beijing, China, 2016.
- Meneni, S.; Sun, C. Analysis of Wiedemann75 and 99 Driver Behavior Parameter; University of Missouri Columbia: Columbia, MO, USA, 2008. [Google Scholar]
- Kuang, X.; Zhao, F.; Hao, H. Intelligent Vehicles’ Effects on Chinese Traffic: A Simulation Study of Cooperative Adaptive Cruise Control and Intelligent Speed Adaption. In Proceedings of the 2018 21st International Conference on Intelligent Transportation Systems (ITSC), Maui, HI, USA, 4–7 November 2018; pp. 368–373. [Google Scholar]
- Department for Transportation. Research on the Impacts of Connected and Autonomous Vehicles (CAV) on Traffic Flow; Atkins: Epsom, UK, 2016. [Google Scholar]
- He, Q.; Tu, H.; Wei, H. Analyzing car following driving ethogram based on driving simulator. J. Wuhan Univ. Technol. (Transp. Sci. Eng.) 2021, 45, 419–423. [Google Scholar]
- Song, H.; Zhao, F.; Hao, H. A Research Review on Vehicle Lane Changing Models Considering Intelligent Connected Vehicle and Distracted Driving Behaviours. In Proceedings of the China SAE Congress 2020, Shanghai, China, 27–29 October 2020. [Google Scholar]
- Luo, Y.; Yang, G.; Xu, M. Cooperative lane-change maneuver for multiple automated vehicles on an expressway. Automot. Innov. 2019, 2, 157–168. [Google Scholar] [CrossRef] [Green Version]
- Xiao, Y. Analzing and Modeling of the Influence of Driving Distraction on Traffic Safety and Traffic Efficiency. Ph.D. Thesis, Tsinghua University, Beijing, China, 2016. [Google Scholar]
- Yang, X. On-site Observation of Driver Distracted Driving Behavior. China Transp. Rev. 2020, 42, 55–60. [Google Scholar]
- Ma, Y.; Fu, Y.; Yuan, Y. Rating driving distraction tasks based on distraction impact on drivers. J. Transp. Inf. Saf. 2014, 32, 47–51. [Google Scholar]
- Lyu, A.; Ma, Y.; Li, T. Analysis of stress response characteristics of driver with cognitive distraction. China Saf. Sci. J. 2018, 28, 7–12. [Google Scholar]
- Li, P.H.; Hu, M.X.; Zhang, W.H. Influence of Distraction on Driver’s Reaction Time to Traffic Conflicts. China J. Expressway Transp. 2018, 31, 36–42. [Google Scholar]
- Rakha, H.; Ahn, K.; Trani, A. Development of VT-Micro model for estimating hot stabilized light duty vehicle and truck emissions. Transp. Res. Part D: Transp. Environ. 2004, 9, 49–74. [Google Scholar] [CrossRef]
- He, K.; Huo, H.; Wang, Q. The Technical Methods and Applications of Road Vehicle Emissions Models; Science Press: Beijing, China, 2014. [Google Scholar]
- Ma, X.; Lei, W.; Andréasson, I. An evaluation of microscopic emissions models for traffic pollution simulation using on-board measurement. Environ. Modeling Assess. 2012, 17, 375–387. [Google Scholar] [CrossRef]
- Manual, H.C. Transportation Research Board; National Research Council: Washington, DC, USA, 2010; p. 1207. [Google Scholar]
- Technical Standard of Expressway Engineering; JTG B01-2014; China Communications Press Co., Ltd.: Beijing, China, 2015.
- Rios-Torres, J.; Malikopoulos, A.A. Energy impact of different penetration rates of connected and automated vehicles: A preliminary assessment. In Proceedings of the 9th ACM SIGSPATIAL International Workshop on Computational Transportation Science, Burlingame, CA, USA, 31 October 2016; pp. 1–6. [Google Scholar]









| Model Parameter | Meaning | Unit | Explanation |
|---|---|---|---|
| CC0 | Standstill distance | meter | The desired distance between stopped vehicles |
| CC1 | Headway time | s | The time gap that a vehicle keeps |
| CC2 | Following variation | m | The distance in addition to the allowed safety distance that is permissible before the vehicle-drive unit moves closer to the preceding vehicle |
| CC3 | Following entering threshold | - | The threshold for entering the car following state, which controls whether the vehicle starts to decelerate |
| CC4 | Negative following threshold | - | Control negative speed differences during car following |
| CC5 | Positive following threshold | - | Control positive speed differences during car following |
| CC6 | Speed dependence of oscillation | - | Influence of distance on speed oscillation |
| CC7 | Oscillation acceleration | m/s² | Influence of vehicle acceleration during car following oscillation |
| CC8 | Standstill acceleration | m/s² | Desired acceleration when starting from standstill |
| CC9 | Acceleration at 80 km/h | m/s² | Desired acceleration from a speed of 80 km/h |
| Parameters | Aggressive ICVs | Unaggressive ICVs | Aggressive HVs | Unaggressive HVs |
|---|---|---|---|---|
| CC0 | 0.50 | 2.17 | 0.50 | 2.17 |
| CC1 | 0.50 | 1.70 | 0.50 | 1.70 |
| CC2 | 1.00 | 1.00 | 4.00 | 4.00 |
| CC3 | −1.00 | −3.33 | −8.00 | −8.00 |
| CC4 | 0.00 | 0.00 | −0.35 | −0.35 |
| CC5 | 0.00 | 0.00 | 0.35 | 0.35 |
| CC6 | 0.00 | 0.00 | 11.44 | 11.44 |
| CC7 | 0.45 | 0.12 | 0.45 | 0.12 |
| CC8 | 3.50 | 3.50 | 3.50 | 3.50 |
| CC9 | 1.50 | 1.50 | 1.50 | 1.50 |
| Parameters | Meaning | Value |
|---|---|---|
| Maximum deceleration | The upper limit of the deceleration of the driver or preceding vehicle | Overtaking other vehicles: −4.00 m/s² |
| Overtaken by other vehicles: −3.00 m/s² | ||
| −1 m/s² per distance | The maximum deceleration is reduced with increasing distance from the emergency stop position | Overtaking other vehicles: 200.00 m/s² |
| Overtaken by other vehicles: 200.00 m/s² | ||
| Accepted deceleration | The initial deceleration taken by the driver or preceding vehicle | Overtaking other vehicles: −1.00 m/s² |
| Overtaken by other vehicles: −0.50 m/s² | ||
| Waiting time to dissipate | The maximum time the vehicle waits for the appearance of lane change clearance in the emergency parking position | 60.00 s |
| Minimum headway distance | The minimum headway distance required for the vehicle behind to successfully overtake the vehicle in front | 0.50 m |
| Safety distance reduction factor | The ratio of the safety distance when changing lanes to the original safety distance | 0.60 |
| Maximum deceleration for cooperative braking | The maximum accepted deceleration taken by the driver when another vehicle changing to the current lane he (or she) is driving on | −3.00 m/s² |
| Acceleration Working Condition | Deceleration Working Condition | ||
|---|---|---|---|
| Correlation Coefficient | Value | Correlation Coefficient | Value |
| L0,0 | −0.67 | M0,0 | −0.67 |
| L0,1 | 0.2974 | M0,1 | 0.0166 |
| L0,2 | −0.017 | M0,2 | −0.0086 |
| L0,3 | −0.0019 | M0,3 | −0.0007 |
| L1,0 | 0.0121 | M1,0 | 0.0258 |
| L2,0 | 0.0004 | M2,0 | −0.0002 |
| L3,0 | −0.00000376 | M3,0 | −0.00000227 |
| L1,1 | 0.0283 | M1,1 | 0.0043 |
| L2,1 | −0.0009 | M2,1 | 0.00043 |
| L3,1 | 0.00000944 | M3,1 | −0.00000462 |
| L1,2 | −0.0077 | M1,2 | 0.0007 |
| L2,2 | 0.0003 | M2,2 | −0.0000561 |
| L3,2 | −0.00000373 | M3,2 | −0.000000511 |
| L1,3 | 0.0007 | M1,3 | −0.0000339 |
| L2,3 | −0.0000265 | M2,3 | −0.00000128 |
| L3,3 | −0.000000338 | M3,3 | −0.000000000761 |
| Road Type | Traffic Volume Input (pcu/h) | ||||
|---|---|---|---|---|---|
| Free Condition | Congested Condition | Forced Condition | |||
| First Service Level | Third Service Level | Saturated Service Level | Oversaturated 20% Service Level | Oversaturated 40% Service Level | |
| Expressway | 2003 | 4406 | 5874 | 7049 | 8224 |
| Secondary motorway | 420 | 1120 | 2800 | 3360 | 3920 |
Publisher’s Note: MDPI stays neutral with regard to jurisdictional claims in published maps and institutional affiliations. |
© 2021 by the authors. Licensee MDPI, Basel, Switzerland. This article is an open access article distributed under the terms and conditions of the Creative Commons Attribution (CC BY) license (https://creativecommons.org/licenses/by/4.0/).
Share and Cite
Song, H.; Zhao, F.; Liu, Z. Influences of Single-Lane Automatic Driving Systems on Traffic Efficiency and CO2 Emissions on China’s Motorways. Appl. Sci. 2021, 11, 11032. https://doi.org/10.3390/app112211032
Song H, Zhao F, Liu Z. Influences of Single-Lane Automatic Driving Systems on Traffic Efficiency and CO2 Emissions on China’s Motorways. Applied Sciences. 2021; 11(22):11032. https://doi.org/10.3390/app112211032
Chicago/Turabian StyleSong, Haokun, Fuquan Zhao, and Zongwei Liu. 2021. "Influences of Single-Lane Automatic Driving Systems on Traffic Efficiency and CO2 Emissions on China’s Motorways" Applied Sciences 11, no. 22: 11032. https://doi.org/10.3390/app112211032
APA StyleSong, H., Zhao, F., & Liu, Z. (2021). Influences of Single-Lane Automatic Driving Systems on Traffic Efficiency and CO2 Emissions on China’s Motorways. Applied Sciences, 11(22), 11032. https://doi.org/10.3390/app112211032
