Fuzzy Sliding Mode Control of Vehicle Magnetorheological Semi-Active Air Suspension
Abstract
:1. Introduction
2. Damping Performance Test and Mechanical Modeling of MR Damper
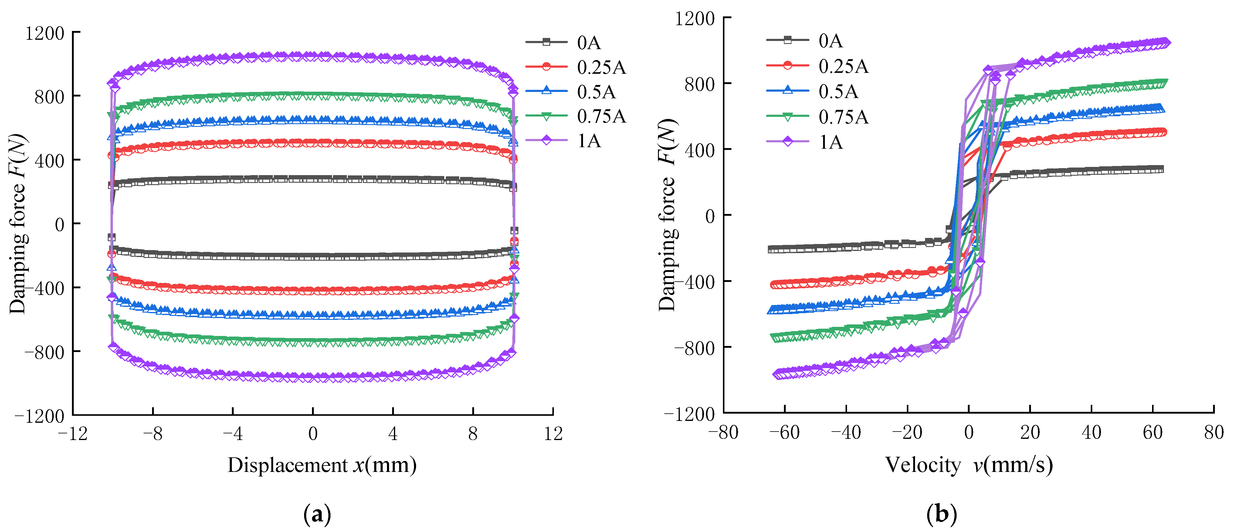
2.1. Damping Performance Test of MR Damper
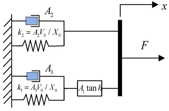
2.2. Improved Hyperbolic Tangent Model of MR Damper
2.3. Improved Parameter Identification of Hyperbolic Tangent Model
2.4. ANFIS Inverse Model of MR Damper
3. Modeling of Quarter Vehicle MR Semi-Active Air Suspension System
3.1. Elastic Model of Air Spring
3.2. Modeling of Quarter Vehicle MR Semi-Active Air Suspension System
4. Design of Sliding Mode Controller for MR Semi-Active Air Suspension
4.1. Reference Model of Sliding Mode Controller
4.2. Design of Sliding Mode Controller
4.3. Design of Fuzzy Sliding Mode Controller
5. Simulation Analysis of Fuzzy Sliding Mode Control
5.1. Random Road Excitation Response
5.2. Impacted Pavement Excitation Response
6. Conclusions
Author Contributions
Funding
Institutional Review Board Statement
Informed Consent Statement
Conflicts of Interest
References
- Nguyen, S.D.; Bao, D.L.; Ngo, V.H. Fractional-order sliding-mode controller for semi-active vehicle MRD suspensions. Nonlinear Dyn. 2020, 101, 795–821. [Google Scholar] [CrossRef]
- He, F.; Zhao, J.; Wang, H.Y. Study on control strategies of semi-active air suspension for heavy vehicles based on road-friendliness. Adv. Mater. Res. 2012, 452, 328–333. [Google Scholar] [CrossRef]
- Zhang, Z.; Wang, J.; Wu, W.; Huang, C. Semi-active control of air suspension with auxiliary chamber subject to parameter uncertainties and time-delay. Int. J. Robust. Nonlinear Control 2020, 30, 7130–7149. [Google Scholar] [CrossRef]
- Gokul, P.S.; Malar, M.K. A contemporary adaptive air suspension using LQR control for passenger vehicles. ISA Trans. 2019, 93, 244–254. [Google Scholar]
- Fan, S.Y.; Chuang, C.W.; Feng, C.C. Apply Novel Grey Model Integral Variable Structure Control to Air-Ball-Suspension System. Asian. J. Control 2016, 18, 1359–1364. [Google Scholar] [CrossRef]
- Elsaady, W.; Oyadiji, S.O.; Nasser, A. Magnetic circuit analysis and fluid flow modeling of an MR damper with enhanced magnetic characteristics. IEEE Trans. Magn. 2020, 56, 1–20. [Google Scholar] [CrossRef]
- Hu, G.; Yi, F.; Liu, H.; Zeng, L. Performance analysis of a novel magnetorheological damper with displacement self-sensing and energy harvesting capability. J. Vib. Eng. Technol. 2021, 9, 85–103. [Google Scholar] [CrossRef]
- Hu, G.; Yi, F.; Tong, W.; Yu, L. Development and evaluation of a MR damper with enhanced effective gap lengths. IEEE Access 2020, 8, 156347–156361. [Google Scholar] [CrossRef]
- Sun, S.S.; Ning, D.H.; Yang, J.; Du, H.; Zhang, S.W.; Li, W.H. A seat suspension with a rotary magnetorheological damper for heavy duty vehicles. Smart Mater. Struct. 2016, 25, 105032. [Google Scholar] [CrossRef]
- Wang, D.H.; Liao, W.H. Magnetorheological fluid dampers: A review of parametric modelling. Smart Mater. Struct. 2011, 20, 023001. [Google Scholar] [CrossRef]
- Mughal, U.N. State of the art review of semi active control for magnetorheological dampers. In Proceedings of the ICNPAA 2016 World Congress, La Rochelle, France, 4–8 July 2016; AIP Publishing LLC: New York, NY, USA, 2016; Volume 1798, p. 020101. [Google Scholar]
- Khalid, M.; Yusof, R.; Joshani, M.; Selamat, H.; Joshani, M. Nonlinear identification of a magneto-rheological damper based on dynamic neural networks. Comput.-Aided Civ. Inf. 2014, 29, 221–233. [Google Scholar] [CrossRef]
- Kwok, N.M.; Ha, Q.P.; Nguyen, T.H.; Li, J.; Samali, B. A novel hysteretic model for MR fluid dampers and parameter identification using particle swarm optimization. Sens. Actuators A Phys. 2006, 132, 441–451. [Google Scholar] [CrossRef]
- Guo, S.; Yang, S.; Pan, C. Dynamic modeling of MR damper behaviors. J. Intell. Mat. Syst. Struct. 2006, 17, 3–14. [Google Scholar] [CrossRef]
- Choi, S.B.; Choi, J.H.; Lee, Y.S.; Han, M.S. Vibration control of an er seat suspension for a commercial vehicle. J. Dyn. Syst. Meas. Control 2003, 125, 60–68. [Google Scholar] [CrossRef]
- Pang, H.; Shang, Y.; Yang, J. An adaptive sliding mode–based fault-tolerant control design for half-vehicle active suspensions using T–S fuzzy approach. J. Vib. Control 2020, 26, 1411–1424. [Google Scholar] [CrossRef]
- Wang, G.; Chadli, M.; Basin, M.V. Practical terminal sliding mode control of nonlinear uncertain active suspension systems with adaptive disturbance observer. IEEE/ASME Trans. Mechatron. 2020, 26, 789–797. [Google Scholar] [CrossRef]
- Fei, J.; Xin, M. Robust adaptive sliding mode controller for semi-active vehicle suspension system. Int. J. Innov. Comput. Inf. Control 2012, 8, 691–700. [Google Scholar]
- Du, M.; Zhao, D.; Yang, B.; Wang, L. Terminal sliding mode control for full vehicle active suspension systems. J. Mech. Sci. Technol. 2018, 32, 2851–2866. [Google Scholar] [CrossRef]
- Nguyen, S.D.; Lam, B.D.; Choi, S.B. Smart dampers-based vibration control-Part 2: Fractional-order sliding control for vehicle suspension system. Mech. Syst. Signal. Pract. 2021, 148, 107145. [Google Scholar] [CrossRef]
- Zheng, L.; Li, Y.N.; Baz, A. Fuzzy-sliding mode control of a full car semi-active suspension systems with MR dampers. Smart Struct. Syst. 2009, 5, 261–277. [Google Scholar] [CrossRef]
- Wang, R.; Liu, W.; Ding, R.; Meng, X.; Sun, Z.; Yang, L.; Sun, D. Switching control of semi-active suspension based on road profile estimation. Veh. Syst. Dyn. 2021, 1–21. [Google Scholar] [CrossRef]
- Pang, H.; Liu, F.; Xu, Z. Variable universe fuzzy control for vehicle semi-active suspension system with MR damper combining fuzzy neural network and particle swarm optimization. Neurocomputing 2018, 306, 130–140. [Google Scholar] [CrossRef]
- Hu, G.; Liu, Q.; Ding, R.; Li, G. Vibration control of semi-active suspension system with magnetorheological damper based on hyperbolic tangent model. Adv. Mech. Eng. 2017, 9, 1687814017694581. [Google Scholar] [CrossRef]
- Huang, Y.; Na, J.; Wu, X.; Gao, G.; Guo, Y. Robust adaptive control for vehicle active suspension systems with uncertain dynamics. Trans. Inst. Meas. Control 2018, 40, 1237–1249. [Google Scholar] [CrossRef]
- Ming, L.; Yibin, L.; Xuewen, R.; Shuaishuai, Z.; Yanfang, Y. Semi-active suspension control based on deep reinforcement learning. IEEE Access 2020, 8, 9978–9986. [Google Scholar] [CrossRef]
- Ye, H.; Zheng, L. Comparative study of semi-active suspension based on LQR control and H2/H∞ multi-objective control. In Proceedings of the 2019 Chinese Automation Congress (CAC), Hangzhou, China, 22–24 November 2019; pp. 3901–3906. [Google Scholar]
- Rath, J.J.; Veluvolu, K.C.; Defoort, M. Adaptive super-twisting observer for estimation of random road excitation profile in automotive suspension systems. Sci. World J. 2014, 2014, 203416. [Google Scholar] [CrossRef]
- Chang, F.J.; Chang, Y.T. Adaptive neuro-fuzzy inference system for prediction of water level in reservoir. Adv. Water Resour. 2006, 29, 1–10. [Google Scholar] [CrossRef]
- Kim, H.; Lee, H.; Kim, H. Asynchronous and synchronous load leveling compensation algorithm in airspring suspension. In Proceedings of the 2007 International Conference on Control, Automation and Systems, Seoul, Korea, 17–20 October 2007; pp. 367–372. [Google Scholar]
- Liu, H.; Lee, J.C. Model development and experimental research on an air spring with auxiliary reservoir. Int. J. Automot. Technol. 2011, 12, 839–847. [Google Scholar] [CrossRef]
- Karnopp, D.; Crosby, M.J.; Harwood, R.A. Vibration control using semi-active force generators. J. Eng. Ind. 1974, 96, 619–626. [Google Scholar] [CrossRef]






















| Applied Current/(A) | Parameter Values | ||||
|---|---|---|---|---|---|
| a1 | a2 | k | a3 | f0 | |
| 0 | 165.94 | 3890.24 | 0.3006 | 849.617 | 35.68 |
| 0.25 | 366.04 | 3859.98 | 0.3001 | 1548.13 | 39.69 |
| 0.5 | 483.51 | 3895.93 | 0.3004 | 2045.21 | 35.06 |
| 0.75 | 615.02 | 3859.26 | 0.3000 | 2573.25 | 35.07 |
| 1.0 | 805.25 | 3866.50 | 0.3001 | 3301.38 | 35.09 |
| SC | NB | NM | NS | ZE | PS | PM | PB | ||
|---|---|---|---|---|---|---|---|---|---|
| C | |||||||||
| S | |||||||||
| NB | NB | NB | NM | NM | NS | NS | ZE | ||
| NM | NB | NB | NM | NS | NS | NS | ZE | ||
| NS | NM | NM | NS | ZE | ZE | ZE | ZE | ||
| ZE | NM | NM | NS | ZE | ZE | PS | PS | ||
| PS | NS | NS | ZE | ZE | PS | PS | PM | ||
| Parameters | Symbol | Unit | Values |
|---|---|---|---|
| Sprung mass | mb | kg | 400 |
| Unsprung mass | mw | kg | 40 |
| Tire damping | Kt | N/m | 170,000 |
| Damping coefficient | Cb1 | N/(m/s) | 3550 |
| Damping coefficient | Cw1 | N/(m/s) | 3550 |
| Suspension stiffness | K | N/m | 17,000 |
| Initial volume of air spring | V0 | m3 | 0.0078 |
| Initial area of air spring | A0 | m2 | 0.0381 |
| Initial pressure of air spring | P0 | MPa | 0.382 |
| Control Strategies | Body Acceleration | Suspension Stroke | Tire Dynamic Load |
|---|---|---|---|
| Passive suspension | 0.857 | 7.73 | 307.5 |
| SMC control | 0.721 | 6.42 | 284.6 |
| FSMC control | 0.634 | 5.46 | 282.1 |
Publisher’s Note: MDPI stays neutral with regard to jurisdictional claims in published maps and institutional affiliations. |
© 2021 by the authors. Licensee MDPI, Basel, Switzerland. This article is an open access article distributed under the terms and conditions of the Creative Commons Attribution (CC BY) license (https://creativecommons.org/licenses/by/4.0/).
Share and Cite
Li, G.; Ruan, Z.; Gu, R.; Hu, G. Fuzzy Sliding Mode Control of Vehicle Magnetorheological Semi-Active Air Suspension. Appl. Sci. 2021, 11, 10925. https://doi.org/10.3390/app112210925
Li G, Ruan Z, Gu R, Hu G. Fuzzy Sliding Mode Control of Vehicle Magnetorheological Semi-Active Air Suspension. Applied Sciences. 2021; 11(22):10925. https://doi.org/10.3390/app112210925
Chicago/Turabian StyleLi, Gang, Zhiyong Ruan, Ruiheng Gu, and Guoliang Hu. 2021. "Fuzzy Sliding Mode Control of Vehicle Magnetorheological Semi-Active Air Suspension" Applied Sciences 11, no. 22: 10925. https://doi.org/10.3390/app112210925
APA StyleLi, G., Ruan, Z., Gu, R., & Hu, G. (2021). Fuzzy Sliding Mode Control of Vehicle Magnetorheological Semi-Active Air Suspension. Applied Sciences, 11(22), 10925. https://doi.org/10.3390/app112210925

