Comparative Study of Dynamic Stall between an Aircraft Airfoil and a Wind Turbine Airfoil in an Air–Particle Flow
Abstract
:1. Introduction
2. Computational Model
2.1. Numerical Method
2.2. Numerical Validation
3. Results
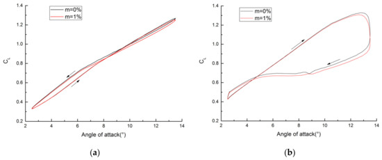
3.1. Hysteresis Loops at Different Reduced Frequencies
3.2. Hysteresis Loops at Different Mean Angles of Attack
4. Conclusions
- (1)
- The reduced frequency has little effect on the value of the maximum increment of the lift coefficient caused by particles, but a larger one can enhance the hysteresis effect and change the angle of attack, at which the maximum increment is obtained, from the up stroke to the down stroke. The increment of the lift coefficient and its difference between two airfoils at a larger reduced frequency are smaller and larger during up and down strokes, respectively.
- (2)
- Compared to that of NACA0012 airfoil, the relative increments of S809 airfoil are obviously greater at three mean angles of attack, especially at 8°, which is the commonly used operating angle.
- (3)
- The angle of attack, at which the maximum lift coefficient is obtained, can be significantly changed by particles in two regions: one is under the effect of deep stall, the other is under the effect of light deep at a low reduced frequency.
Author Contributions
Funding
Institutional Review Board Statement
Informed Consent Statement
Data Availability Statement
Conflicts of Interest
References
- Ham, N.D.; Young, M.I. Torsional Oscillation of Helicopter Blades Due to Stall. J. Aircr. 1966, 3, 218–224. [Google Scholar] [CrossRef]
- Madden, P.A. Angle-of Attack Distribution of a High-Speed Helicopter Rotor. J. Am. Helicopter Soc. 1967, 12, 41–49. [Google Scholar] [CrossRef]
- Carta, F.O. An Analysis of the Stall Flutter Instability of Helicopter Rotor Blades. J. Am. Helicopter Soc. 1967, 12, 1–18. [Google Scholar] [CrossRef]
- Ham, N.D. Stall Flutter of Helicopter Rotor Blades: A Special Case of the Dynamic Stall Phenomenon. J. Am. Helicopter Soc. 1967, 12, 19–21. [Google Scholar] [CrossRef]
- Ham, N.D.; Garelick, M.S. Dynamic Stall Considerations in Helicopter Rotors. J. Am. Helicopter Soc. 1968, 13, 49–55. [Google Scholar] [CrossRef]
- McCroskey, W.; Carr, L.; McAlister, K. Dynamic Stall Experiments on Oscillating Airfoils. AIAA J. 1976, 14, 57–63. [Google Scholar] [CrossRef]
- Mcalister, K.W.; Pucci, S.L.; Mccroskey, W.J.; Carr, L.W. An Experimental Study of Dynamic Stall on Advanced Airfoil Section. Volume 2: Pressure and Force Data. NASA Tech. Memo. 1982, 84245, 1–639. [Google Scholar]
- Leishman, J.G.; Beddoes, T.S. A Semi-Empirical Model for Dynamic Stall. J. Am. Helicopter Soc. 1989, 34, 3–17. [Google Scholar]
- Tuncer, I.H.; Wu, J.C.; Wang, C.M. Theoretical and Numerical Studies of Oscillating Airfoils. AIAA J. 1990, 28, 1615–1624. [Google Scholar] [CrossRef]
- Raffel, M.; Kompenhans, J.; Wernert, P. Investigation of the Unsteady Flow Velocity Field above an Airfoil Pitching under Deep Dynamic Stall Conditions. Exp. Fluids 1995, 19, 103–111. [Google Scholar] [CrossRef]
- Wernert, P.; Geiler, W.; Raffel, M.; Kompenhans, J. Experimental and Numerical Investigations of Dynamic Stall on a Pitching NACA 0012 Airfoil. AIAA J. 1996, 34, 982–989. [Google Scholar] [CrossRef]
- Spentzos, A.; Barakos, G.; Badcock, K.; Richards, B.; Wernert, P.; Schreck, S.; Raffel, M. Investigation of Three-Dimensional Dynamic Stall Using Computational Fluid Dynamics. AIAA J. 2005, 43, 1023–1033. [Google Scholar] [CrossRef] [Green Version]
- Liu, J.; Luo, K.; Sun, H.; Huang, Y.; Liu, Z.; Xiao, Z. Dynamic Response of Vortex Breakdown Flows to a Pitching Double-Delta Wing. Aerosp. Sci. Technol. 2018, 72, 564–577. [Google Scholar] [CrossRef]
- Liu, J.; Chen, J.; Ren, H.; Zhang, Y.; He, X.; Xiao, Z. Correlations of Unsteady Vortex Burst Point and Dynamic Stability over a Pitching Double-delta Wing. Aerosp. Sci. Technol. 2020, 107, 106256. [Google Scholar] [CrossRef]
- Yi, Y.; Hu, T.; Liu, P.; Qu, Q.; Eitelberg, G.; Akkermans, R.A. Dynamic Lift Characteristics of Nonslender Delta Wing in Large-amplitude-pitching. Aerosp. Sci. Technol. 2020, 105, 105937. [Google Scholar] [CrossRef]
- Hu, T.; Zhao, Y.; Liu, P.; Qu, Q.; Guo, H.; Akkermans, R.A. Investigation on Lift Characteristics of a Double-delta Wing Pitching in Various Reduced Frequencies. Proc. Inst. Mech. Eng. Part. G J. Aerosp. Eng. 2021. [Google Scholar] [CrossRef]
- Butterfield, C.P.; Simms, D.; Scott, G.; Hansen, A.C. Dynamic Stall on Wind Turbine Blades. In Proceedings of the American Wind Energy Association Conference: Windpower ‘91, Palm Springs, CA, USA, 1 December 1991; pp. 24–27. [Google Scholar]
- Shipley, D.E.; Miller, M.S.; Robinson, M.C. Dynamic Stall Occurrence on a Horizontal Axis Wind Turbine Blade; Office of Scientific & Technical Information Technical Reports; National Renewable Energy Laboratory: Golden, CO, USA, 1995. [Google Scholar]
- Ramsay, R.F.; Hoffman, M.J.; Gregorek, G.M. Effects of Grit Roughness and Pitch Oscillations on the S809 Airfoil; Office of Scientific & Technical Information Technical Reports; National Renewable Energy Laboratory: Golden, CO, USA, 1995. [Google Scholar]
- Ekaterinaris, J.A.; Platzer, M.F. Computational Prediction of Airfoil Dynamic Stall. Prog. Aerosp. Sci. 1998, 33, 759–846. [Google Scholar] [CrossRef]
- Larsen, J.W.; Nielsen, S.R.K.; Krenk, S. Dynamic Stall Model for Wind Turbine Airfoils. J. Fluids Struct. 2007, 23, 959–982. [Google Scholar] [CrossRef]
- Sheng, W.; Galbraith, R.A.; Coton, F.N. A Modified Dynamic Stall Model for Low Mach Numbers. J. Sol. Energy Eng. 2007, 130, 653. [Google Scholar]
- Pruski, B.J.; Bowersox, R. Leading-Edge Flow Structure of a Dynamically Pitching NACA 0012 Airfoil. Aiaa J. 2013, 51, 1042–1053. [Google Scholar] [CrossRef] [Green Version]
- Liu, X.; Liang, S.; Li, G.; Godbole, A.; Lu, C. An Improved Dynamic Stall Model and Its Effect on Wind Turbine Fatigue Load Prediction. Renew. Energy 2020, 156, 117–130. [Google Scholar] [CrossRef]
- Martinat, G.; Hoarau, Y.; Braza, M.; Vos, J.; Harran, G. Numerical Simulation of the Dynamic Stall of a NACA 0012 Airfoil Using DES and Advanced OES/URANS modelling. In Advances in Hybrid RANS-LES Modelling; Springer: Berlin/Heidelberg, Germany, 2008; Volume 97, pp. 271–278. [Google Scholar]
- Martinat, G.; Braza, M.; Hoarau, Y.; Harran, G. Turbulence Modelling of the Flow Past a Pitching NACA0012 Airfoil at Formula Not Shown and Formula Not Shown Reynolds Numbers. J. Fluids Struct. 2008, 24, 1294–1303. [Google Scholar] [CrossRef] [Green Version]
- Guntur, S.; Schreck, S.; Sorensen, N.N.; Schreck, S.; Bergami, L. Modeling Dynamic Stall on Wind Turbine Blades Under Rotationally Augmented Flow Fields; Technical Report; National Renewable Energy Laboratory: Golden, CO, USA, 2015. [Google Scholar]
- Zhu, C.; Wang, T.; Zhong, W. Combined Effect of Rotational Augmentation and Dynamic Stall on a Horizontal Axis Wind Turbine. Energies 2019, 12, 1434. [Google Scholar] [CrossRef] [Green Version]
- Li, G.; Zhang, W.; Jiang, Y.; Pengyu, Y. Experimental Investigation of Dynamic Stall Flow Control for Wind Turbine Airfoils Using a Plasma Actuator. Energy 2019, 185, 90–101. [Google Scholar]
- Li, G.; Yi, S. Large Eddy Simulation of Dynamic Stall Flow Control for Wind Turbine Airfoil Using Plasma Actuator. Energy 2020, 212, 118753. [Google Scholar]
- Zhu, C.; Chen, J.; Wu, J.; Wang, T. Dynamic Stall Control of the Wind Turbine Airfoil via Single-row and Double-row Passive Vortex Generators. Energy 2019, 189, 116272. [Google Scholar] [CrossRef]
- Zhu, C.; Qiu, Y.; Wang, T. Dynamic Stall of the Wind Turbine Airfoil and Blade Undergoing Pitch Oscillations: A Comparative Study. Energy 2021, 222, 120004. [Google Scholar] [CrossRef]
- He, T. Study the Dynamic Stall Characteristics of Wind Turbine Airfoil under Sand-wind Environment; Lanzhou University of Technology: Lanzhou, China, 2017. [Google Scholar]
- Guo, T.; Jin, J.; Lu, Z.; Zhou, D.; Wang, T. Aerodynamic Sensitivity Analysis for a Wind Turbine Airfoil in an Air-Particle Two-Phase Flow. Appl. Sci. 2019, 9, 3909. [Google Scholar] [CrossRef] [Green Version]
- Menter, F.R. Two-equation Eddy-viscosity Turbulence Models for Engineering Applications. AIAA J. 1994, 32, 1598–1605. [Google Scholar] [CrossRef] [Green Version]
- Menter, F.R.; Langtry, R.B.; Likki, S.R.; Suzen, Y.B.; Huang, P.G.; Völker, S. A Correlation-Based Transition Model Using Local Variables-Part I: Model Formulation. J. Turbomach. 2006, 128, 413–422. [Google Scholar] [CrossRef]
- Zhu, C.; Wang, T. Comparative Study of Dynamic Stall under Pitch Oscillation and Oscillating Freestream on Wind Turbine Airfoil and Blade. Appl. Sci. 2018, 8, 1242–1262. [Google Scholar] [CrossRef] [Green Version]
- ANSYS Inc. FLUENT Theory Guide, Release 16.0; ANSYS Inc.: Canonsburg, PA, USA, 2015. [Google Scholar]
- Morsi, S.A.; Alexander, A.J. An Investigation of Particle Trajectories in Two-Phase Flow Systems. J. Fluid Mech. 1972, 55, 193–208. [Google Scholar] [CrossRef]
- Hand, M.M.; Simms, D.A.; Fingersh, L.J.; Jager, D.W.; Cotrell, J.R.; Schreck, S.; Larwood, S.M. Unsteady Aerodynamics Experiment Phase VI: Wind Tunnel Test Configurations and Available Data Campaigns; National Renewable Energy Laboratory: Golden, CO, USA, 2001. [Google Scholar]
- Somers, D.M. Design and Experimental Results for the S809 Airfoil; National Renewable Energy Laboratory: Golden, CO, USA, 1997; pp. 1–97. [Google Scholar]
- Luo, K.; Chen, S.; Cai, D.Y.; Fan, J.R.; Cen, K.F. Experimental Study of Flow Characteristics in the Near Field of Gas-Solid Two-Phase Circular Cylinder Wakes. Proc. Chin. Soc. Electr. Eng. 2006, 26, 116–120. [Google Scholar]














| Re × 106 | αm (°) | αA (°) | f (Hz) | ωred |
|---|---|---|---|---|
| 1.01 | 8 | 5.5 | 1.85 | 0.077 |
| Case Number | Stokes Number (St) | Re × 106 | αm (°) | αA (°) | f (Hz) | ωred | Mean Computation Time of a Pitching Period in the Air–Particle Flow (hour) |
|---|---|---|---|---|---|---|---|
| Case 1 | 0.053 | 1.01 | 8 | 5.5 | 0.37 | 0.0154 | 60 |
| Case 2 | 1.85 | 0.0770 | 15 | ||||
| Case 3 | 3.33 | 0.1386 | 8 |
| Case Number | Stokes Number (St) | Re × 106 | αm (°) | αA (°) | f (Hz) | ωred |
|---|---|---|---|---|---|---|
| Case 4 | 0.053 | 1.01 | 4 | 5.5 | 1.85 | 0.0770 |
| Case 2 | 8 | 1.85 | 0.0770 | |||
| Case 5 | 11 | 1.85 | 0.0770 |
| Particle Mass Concentration | Maximum Lift Coefficient Angle (°) | |
|---|---|---|
| NACA0012 | S809 | |
| 0% | 9.5 | 9.5 |
| 1% | ||
| 3% | ||
| 5% | ||
| Particle Mass Concentration | Maximum Lift Coefficient Angle (°) | |
|---|---|---|
| NACA0012 | S809 | |
| 0% | 13.5 | 12.8 |
| 1% | 12.6 | |
| 3% | 12.3 | |
| 5% | 12 | |
| Particle Mass Concentration | Maximum Lift Coefficient Angle (°) | |
|---|---|---|
| NACA0012 | S809 | |
| 0% | 16.2 | 14.3 |
| 1% | 16 | 13.6 |
| 3% | 15.8 | 13 |
| 5% | 15.5 | 12.4 |
Publisher’s Note: MDPI stays neutral with regard to jurisdictional claims in published maps and institutional affiliations. |
© 2021 by the authors. Licensee MDPI, Basel, Switzerland. This article is an open access article distributed under the terms and conditions of the Creative Commons Attribution (CC BY) license (https://creativecommons.org/licenses/by/4.0/).
Share and Cite
Jin, J.; Lu, Z.; Guo, T.; Zhou, D.; Li, Q. Comparative Study of Dynamic Stall between an Aircraft Airfoil and a Wind Turbine Airfoil in an Air–Particle Flow. Appl. Sci. 2021, 11, 10920. https://doi.org/10.3390/app112210920
Jin J, Lu Z, Guo T, Zhou D, Li Q. Comparative Study of Dynamic Stall between an Aircraft Airfoil and a Wind Turbine Airfoil in an Air–Particle Flow. Applied Sciences. 2021; 11(22):10920. https://doi.org/10.3390/app112210920
Chicago/Turabian StyleJin, Junjun, Zhiliang Lu, Tongqing Guo, Di Zhou, and Qiaozhong Li. 2021. "Comparative Study of Dynamic Stall between an Aircraft Airfoil and a Wind Turbine Airfoil in an Air–Particle Flow" Applied Sciences 11, no. 22: 10920. https://doi.org/10.3390/app112210920
APA StyleJin, J., Lu, Z., Guo, T., Zhou, D., & Li, Q. (2021). Comparative Study of Dynamic Stall between an Aircraft Airfoil and a Wind Turbine Airfoil in an Air–Particle Flow. Applied Sciences, 11(22), 10920. https://doi.org/10.3390/app112210920

