Improvement of Multi-Hole Airflow Impingement on Flow and Heat Transfer Characteristics Inside a Turbine Vane Cavity
Abstract
:1. Introduction
2. Simulation Model and Method
2.1. Simulation Model
2.2. Governing Equation
2.3. Boundary Condition
2.4. Parameter Definition
3. Results and Discussion
3.1. Verification of Numerical Simulation Method
3.2. Flow Field Distribution
3.3. Effect of Impingement Hole
3.3.1. Effect of Impingement Hole Diameter
3.3.2. Effect of Impingement Hole Number
3.4. Effect of Pin Fin
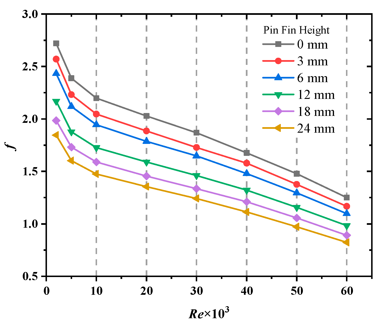
3.4.1. Effect of Pin Fin Height
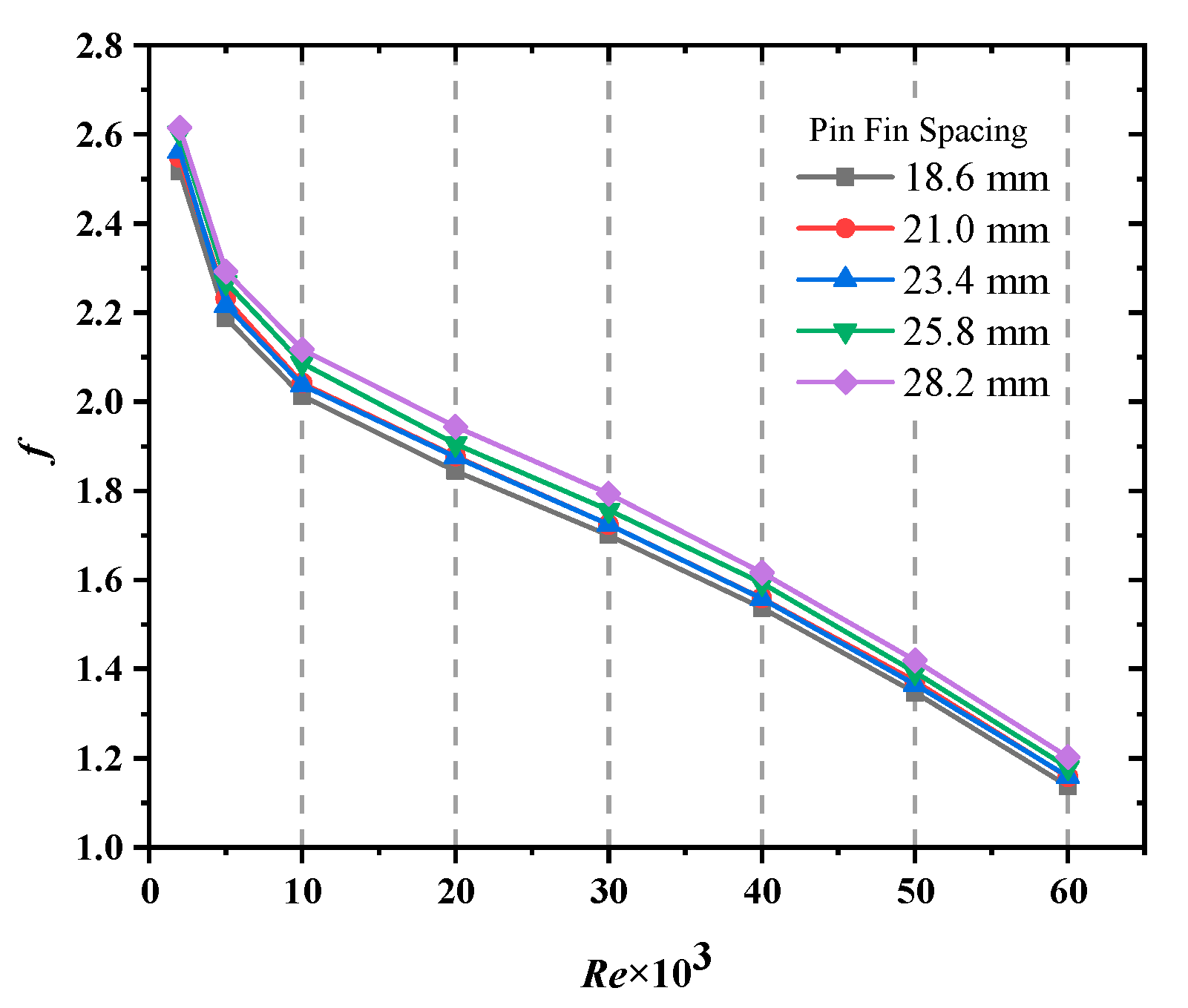
3.4.2. Effect of Pin Fin Spacing
3.4.3. Effect of Pin Fin Shape
3.5. Entropy Generation in Impingement Cooling
4. Conclusions
- The larger the Re, the larger the average Nusselt number of the upper and lower surfaces, and the average Nusselt number of the lower surface is larger than that of the upper surface.
- With the increase in the impingement hole diameter, the average Nusselt numbers of the upper and lower surfaces are both increased, and the minimum Nu of the lower surface is reduced, where may produce local ablation. The higher the number of impingement holes, the larger the average Nusselt number of the lower surface, the more uniform the Nu distribution. It is recommended to use 14 impingement holes with a hole diameter of 7.2 mm.
- The geometric parameters of the pin fin have less effect on heat transfer and pressure drop. Compared with the pin fin height is 24 mm, the average Nusselt number of the lower surface only improved by 11.2% when the pin fin height is 3 mm. The average Nusselt number of the lower surface with the circular pin fin is larger than that of the elliptical pin fin, and its flow resistance is smaller. It is recommended to use the circular pin fin with a height of 3 mm and spacing of 25.8 mm.
- The jet flow in cavity is closely related to the heat transfer. The heat transfer near the impingement holes is better, while the heat transfer in the vortex area is poor. Due to the turbulence effect of the pin fins, the air flow turbulence intensity increases rapidly, and heat transfer is enhanced.
Author Contributions
Funding
Institutional Review Board Statement
Informed Consent Statement
Conflicts of Interest
References
- Musa, M.N.; Khalid, M. Jet Impingement Cooling System on the Pressure Side of Turbine Vane. Appl. Mech. Mater. 2015, 695, 503–507. [Google Scholar] [CrossRef]
- Kumar, S.; Amano, R.S. An Investigation in the Numerical Approach to Solve the Heat Transfer Phenomenon in Gas Turbine. J. Energy Resour. Technol. 2021, 143, 1–23. [Google Scholar] [CrossRef]
- Patill, C.R.; Dandotiya, D.; Pal, B.; Banker, N. Numerical Investigation of Heat Transfer in Aircraft Engine Vane Using k-ε and SST k-ω Model. IOP Conf. Ser. Mater. Sci. Eng. 2021, 1013, 012027. [Google Scholar] [CrossRef]
- Ortega-Casanova, J.; Granados-Ortiz, F.J. Numerical simulation of the heat transfer from a heated plate with surface variations to an impinging jet. Int. J. Heat Mass Transf. 2014, 76, 128–143. [Google Scholar] [CrossRef]
- Tejero, F.; Flaszyński, P.; Szwaba, R.; Telega, J. Unsteady conjugate heat transfer analysis for impinging jet cooling. J. Phys. Conf. Ser. 2016, 760, 012034. [Google Scholar] [CrossRef] [Green Version]
- Xi, L.; Gao, J.M.; Xu, L.; Zhao, Z. Numerical Study on Flow and Heat Transfer Characteristics of Jet Array Impingement Cooling in Turbine Vane Leading Edge. J. Eng. Thermophys. 2021, 42, 430–437. [Google Scholar]
- Haider, S.A.; Yan, X.T. Jet Diameter Effect on Impingement Jet Cooling on the Leading Edge of a Turbine Vane. In Proceedings of the 54th AIAA Aerospace Sciences Meeting, San Diego, CA, USA, 4–8 January 2016; p. 0905. [Google Scholar]
- Zhou, J.F.; Wang, X.F.; Li, J. Influences of effusion hole diameter on impingement/effusion cooling performance at turbine vane leading edge. Int. J. Heat Mass Transf. 2019, 134, 1101–1118. [Google Scholar] [CrossRef]
- Zhou, J.F.; Wang, X.F.; Li, J.; Li, Y.D. Effects of film cooling hole locations on flow and heat transfer characteristics of impingement/effusion cooling at turbine vane leading edge. Int. J. Heat Mass Transf. 2018, 126 Pt. B, 192–205. [Google Scholar] [CrossRef]
- Xie, G.; Liu, C.L.; Ye, L.; Wang, R.; Niu, J.J.; Zhai, Y.N. Effects of impingement gap and hole arrangement on overall cooling effectiveness for impingement/effusion cooling. Int. J. Heat Mass Transf. 2020, 152, 119449. [Google Scholar] [CrossRef]
- Abdulla, R.; Al, A.; Isam, J. Numerical Simulation of Turbine Vane Cooling via Jet Impingement. Energy Procedia 2015, 75, 3220–3229. [Google Scholar]
- Zhu, X.W.; Zhu, L.; Zhao, J.Q. An in-depth analysis of conjugate heat transfer process of impingement jet. Int. J. Heat Mass Transf. 2017, 104, 1259–1267. [Google Scholar] [CrossRef]
- Prasanth, A.K.L.; Prakash, K.A. A numerical investigation and design optimization of impingement cooling system with an array of air jets. Int. J. Heat Mass Transf. 2017, 108 Pt A, 880–900. [Google Scholar]
- Yan, H.J.; Chen, G.J.; Rao, Y. Experiment on Flow and Heat Transfer of Impingement-Film Cooling for Leading Edge of Turbine Vane. J. Eng. Thermophys. 2020, 41, 2970–2976. [Google Scholar]
- Neil, J.C.; Wright, L.M.; Crites, D.C. Impingement Heat Transfer on a Cylindrical, Concave Surface with Varying Jet Geometries. J. Heat Transf. 2016, 138, 122202. [Google Scholar] [CrossRef]
- Harrington, J.; Hossain, J.; Wang, W.P.; Kapat, J.; Maurer, M.; Thorpe, S. Effect of Target Wall Curvature on Heat Transfer and Pressure drop From Jet Array Impingement. J. Turbomach. 2017, 139, 051004. [Google Scholar] [CrossRef]
- Rim, B.K.; Sabra, H.; Nejla, M.S.; Hervé, B.; Georges, L.P. Parametric analysis of a round jet impingement on a heated plate. Int. J. Heat Fluid Flow 2016, 57, 11–23. [Google Scholar]
- Hamed, S.; Shahab, M.; Moham-madkazem, S.; Mehdi, A. Experimental and numerical study on heat transfer characterist-ics of various geometrical arrangement of impinging jet arrays. Int. J. Therm. Sci. 2016, 102, 26–38. [Google Scholar]
- Antonio, A.; Lorenzo, C.; Bruno, F.; Lorenzo, M.; Alessio, P. Experimental and numerical investigation on the role of holes arrangement on the heat transfer in impingement/effusion cooling schemes. Int. J. Heat Mass Transf. 2018, 127 Pt A, 645–659. [Google Scholar]
- Dushyant, S.; Premachandran, B.; Sangeeta, K. Experimental and numerical investigation of jet impingement cooling of a circular cylinder. Int. J. Heat Mass Transf. 2013, 60, 672–688. [Google Scholar]
- Han, J.C.; Dutta, S.; Ekkad, S. Gas Turbine Heat Transfer and Cooling Technology; CRC Press: Boca Raton, FL, USA, 2012. [Google Scholar] [CrossRef]
- Lu, X.F.; Li, W.H.; Li, X.Y.; Ren, J.; Jiang, H.D. Influences of Micro Pin-Fin on Jet Array Impingement Heat Transfer. J. Eng. Thermophys. 2018, 39l, 1447–1452. [Google Scholar]
- Guo, Z.Q.; Li, Y.L.; Rao, Y. Flow and Heat Transfer Characteristics in Multi-pass Channel Cooling Structure with Ribs and Turning Vanes of Turbine Vanes. J. Eng. Thermophys. 2020, 41, 2225–2232. [Google Scholar]
- Li, W.H.; Ren, J.; Jiang, H.D.; Luan, Y.G.; Ligrani, P. Assessment of six turbulence models for modeling and predicting narrow passage flows, part 2: Pin fin arrays. Numer. Heat Transf. Part A Appl. 2016, 69, 445–463. [Google Scholar] [CrossRef]
- Jia, N.; Jin, W.; Wu, J.M.; Lei, J.; Ji, W.T. Numerical investigation on flow and heat transfer of beveled pin fins based on airfoil profile in a cooling channel. J. Aerosp. Power 2021, 36, 61–69. [Google Scholar]
- Siw, S.C.; Fradeneck, A.D.; Chyu, M.K. The Effects of Different Pin-Fin Arrays on Heat Transfer and Pressure drop in a Narrow Channel. In Proceedings of the ASME Turbo Expo 2015: Turbine Technical Conference and Exposition, Montreal, QC, Canada, 15–19 June 2015. [Google Scholar]
- He, Y.G.; Guo, Z.J.; Li, R.D.; Li, S.B.; Yang, T.H. Numerical Simulation of Efficiency Index of Impingement Cooling System with Different Pin Fins Shapes. J. Propuls. Technol. 2019, 40, 624–634. [Google Scholar]
- Ravanji, A.; Rajabi, Z.M. Effects of pin-fin shape on cooling performance of a circular jet impinging on a flat surface. Int. J. Therm. Sci. 2020, 161, 106684. [Google Scholar] [CrossRef]
- Chen, L.L.; Robin, G.A.; Brakmann, B.W.; Jose, R.; Michael, C.; Rico, P. Experimental and numerical heat transfer investigation of an impingement jet array with V-ribs on the target plate and on the impingement plate. Int. J. Heat Fluid Flow 2017, 68, 126–138. [Google Scholar] [CrossRef]
- Phillip, M.L.; Ren, Z.; Warren, C.B. Impingement jet array heat transfer with small-scale cylinder target surface roughness arrays. Int. J. Heat Mass Transf. 2017, 107, 895–905. [Google Scholar]
- Ravi, S.J.; Balaji, C. Fluid flow and heat transfer characteristics of a vertical channel with detached pin-fin arrays arranged in staggered manner on two opposite endwalls. Int. J. Therm. Sci. 2016, 105, 57–74. [Google Scholar]
- Rao, Y.; Wan, C.Y.; Xu, Y.M. An experimental study of pressure drop and heat transfer in the pin fin-dimple channels with various dimple depths. Int. J. Heat Mass Transf. 2012, 55, 6723–6733. [Google Scholar] [CrossRef]
- Bianco, N.; Iasiello, M.; Mauro, G.M.; Pagano, L. Multi-objective optimization of finned metal foam heat sinks: Tradeoff between heat transfer and pressure drop. Appl. Therm. Eng. 2021, 182, 116058. [Google Scholar] [CrossRef]
- Li, Y.T.; Gong, L.; Xu, M.H.; Joshi, Y. Thermal Performance of Metal Foam Heat Sink with Pin Fins for Nonuniform Heat Flux Electronics Cooling. J. Electron. Packag. 2021, 143, 011006. [Google Scholar] [CrossRef]
- Rao, Y.; Chen, P.; Wan, C.Y. Experimental and numerical investigation of impingement heat transfer on the surface with micro W-shaped ribs. Int. J. Heat Mass Transf. 2016, 93, 683–694. [Google Scholar] [CrossRef]
























| Publisher’s Note: MDPI stays neutral with regard to jurisdictional claims in published maps and institutional affiliations. | 
© 2021 by the authors. Licensee MDPI, Basel, Switzerland. This article is an open access article distributed under the terms and conditions of the Creative Commons Attribution (CC BY) license (https://creativecommons.org/licenses/by/4.0/).
Share and Cite
Zhang, L.; Cao, G.; Feng, K.; Jia, Y.; Zhang, Z. Improvement of Multi-Hole Airflow Impingement on Flow and Heat Transfer Characteristics Inside a Turbine Vane Cavity. Appl. Sci. 2021, 11, 9924. https://doi.org/10.3390/app11219924
Zhang L, Cao G, Feng K, Jia Y, Zhang Z. Improvement of Multi-Hole Airflow Impingement on Flow and Heat Transfer Characteristics Inside a Turbine Vane Cavity. Applied Sciences. 2021; 11(21):9924. https://doi.org/10.3390/app11219924
Chicago/Turabian StyleZhang, Lixi, Gaopan Cao, Kai Feng, Yi Jia, and Zhengyang Zhang. 2021. "Improvement of Multi-Hole Airflow Impingement on Flow and Heat Transfer Characteristics Inside a Turbine Vane Cavity" Applied Sciences 11, no. 21: 9924. https://doi.org/10.3390/app11219924
APA StyleZhang, L., Cao, G., Feng, K., Jia, Y., & Zhang, Z. (2021). Improvement of Multi-Hole Airflow Impingement on Flow and Heat Transfer Characteristics Inside a Turbine Vane Cavity. Applied Sciences, 11(21), 9924. https://doi.org/10.3390/app11219924
 
         
                                                
