Numerical Investigation of Thermal-Flow Characteristics in Heat Exchanger with Various Tube Shapes
Abstract
:1. Introduction
2. Problem Description
2.1. Geometry
2.2. Mathematical Details
2.2.1. Governing Equations
2.2.2. Boundary Conditions
3. Numerical Treatment
3.1. Numerical Model
3.2. Definition of Parameters
3.3. Validation
4. Findings and Analysis
4.1. Impact of Tube Shape on Flow Pattern and Local Temperature Distribution
4.2. Influence of Tube Shape on Heat Transfer and Pressure Drop
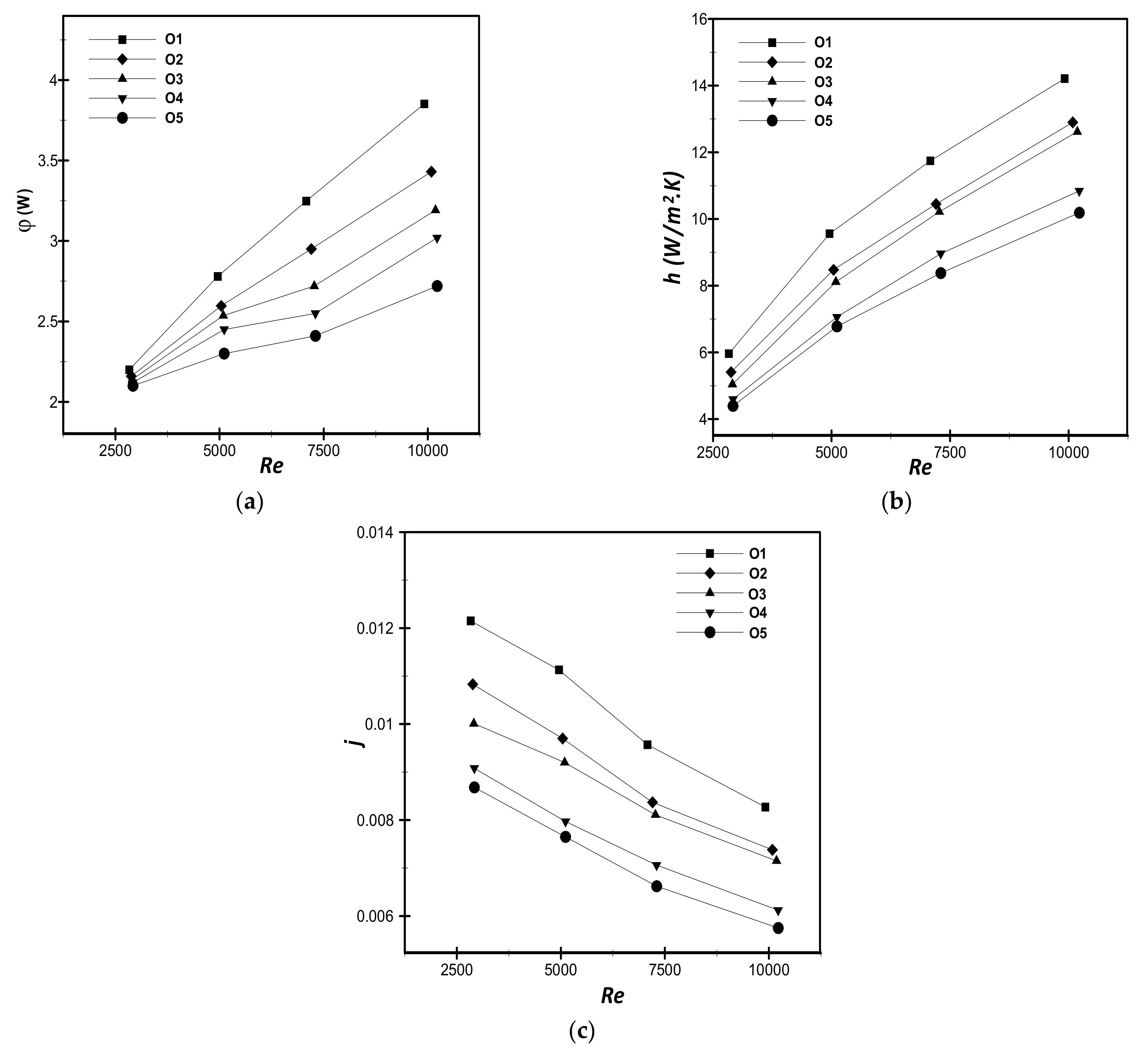
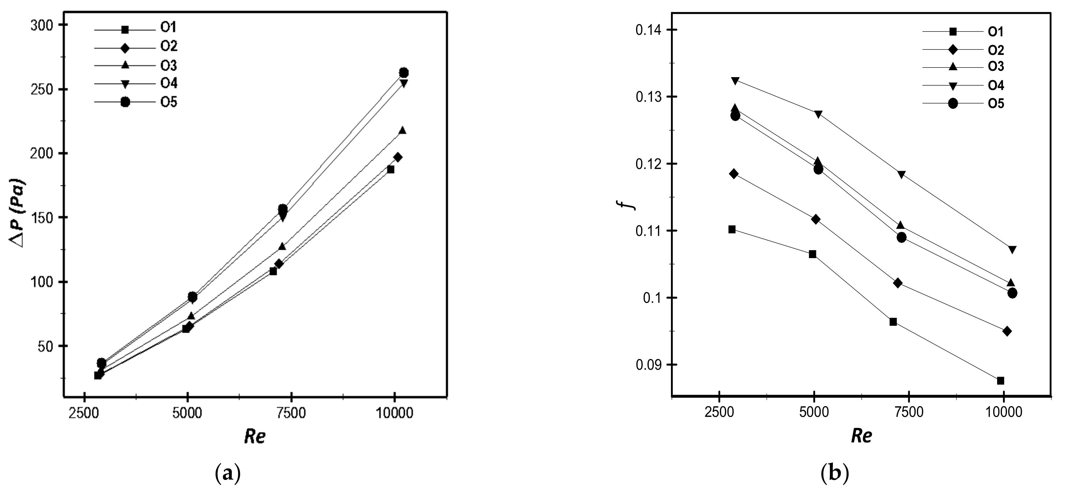
4.2.1. Oval Tube Finned Heat Exchanger
4.2.2. Flat-Tube Finned Heat Exchanger
4.2.3. Impact of Tube Shape
5. Conclusions
- -
- For both oval and flat tubes, the heat transfer rate and the Colburn factor increases with the axis ratio and the flatness, whereas O1 and F1 provide the highest values.
- -
- Among the oval tubes, O1 produces the lowest friction factor values at all Re. However, the friction factor of F4 is lower than that for the other flat tubes (F4 provides 13.2–18.5% lower than those of the other tube shapes).
- -
- All the studied tubes (both oval and flat tubes) outperformed the traditional circular tube (O5) in terms of performance evaluation criterion, where O1 and F1 reached the greatest values at all Reynolds numbers.
- -
- Annular fins with the O1 tube shape outdo all the other oval tubes in terms of global performance criterion Gpc (higher by about 9.6%, 35.2%, and 45.9% than that of O2, O4, and O5, respectively, at lower values of Re). An increase in the flatness of flat tubes increases the Gpc values, where F1 shows highest values of Gpc among the four flat-tube geometries.
- -
- At all Reynolds numbers, F1 beats all other tube patterns. As a result, this tube geometry is suggested to be used in energy systems.
Author Contributions
Funding
Institutional Review Board Statement
Informed Consent Statement
Data Availability Statement
Acknowledgments
Conflicts of Interest
References
- Huang, J.; Jin, T.; Liang, M.; Chen, H. Prediction of heat exchanger performance in cryogenic oscillating flow conditions by support vector machine. Appl. Therm. Eng. 2021, 182, 116053. [Google Scholar] [CrossRef]
- Eidan, A.A.; Alshukri, M.J.; Al-fahham, M.; AlSahlani, A.; Abdulridha, D.M. Optimizing the performance of the air conditioning system using an innovative heat pipe heat exchanger. Case Stud. Therm. Eng. 2021, 26, 101075. [Google Scholar] [CrossRef]
- Qiu, S.; Xu, C.; Yang, Z.; He, H.; Xia, E.; Xue, Z.; Li, L. One-dimension and three-dimension collaborative simulation study of the influence of non-uniform inlet airflow on the heat transfer performance of automobile radiators. Appl. Therm. Eng. 2021, 196, 117319. [Google Scholar] [CrossRef]
- Deepika, K.; Sarviya, R.M. Application based review on enhancement of heat transfer in heat exchangers tubes using inserts. Mater. Today Proc. 2021, 44, 2362–2365. [Google Scholar] [CrossRef]
- Choi, J.; Lim, C.; Kim, H. Fork-end heat pipe for passive air cooling of spent nuclear fuel pool. Nucl. Eng. Des. 2021, 374, 111081. [Google Scholar] [CrossRef]
- Han, H.; He, Y.L.; Li, Y.S.; Wang, Y.; Wu, M. A numerical study on compact enhanced fin-and-tube heat exchangers with oval and circular tube configurations. Int. J. Heat Mass Transf. 2013, 65, 686–695. [Google Scholar] [CrossRef]
- Xie, G.; Wang, Q.; Sunden, B. Parametric study and multiple correlations on air-side heat transfer and friction characteristics of fin-and-tube heat exchangers with large number of large-diameter tube rows. Appl. Therm. Eng. 2009, 29, 1–16. [Google Scholar] [CrossRef] [Green Version]
- Wan, R.; Wang, Y.C.; Kavtaradze, R.; Ji, H.Z.; He, X.L. Research on the air-side thermal hydraulic performance of louvered fin and flat tube heat exchangers under low-pressure environment. Exp. Heat Transf. 2020, 33, 81–99. [Google Scholar] [CrossRef]
- Naik, H.; Tiwari, S. Thermal performance analysis of fin-tube heat exchanger with staggered tube arrangement in presence of rectangular winglet pairs. Int. J. Therm. Sci. 2021, 161, 106723. [Google Scholar] [CrossRef]
- Zhang, L.; Tian, L.; Zhang, A.; Chen, H. Effects of the shape of tube and flow field on fluid flow and heat transfer. Int. Commun. Heat Mass Transf. 2020, 117, 104782. [Google Scholar] [CrossRef]
- Brenk, A.; Kielar, J.; Malecha, Z.; Rogala, Z. The effect of geometrical modifications to a shell and tube heat exchanger on performance and freezing risk during LNG regasification. Int. J. Heat Mass Transf. 2020, 161, 120247. [Google Scholar] [CrossRef]
- Kim, H.; Yoon, J.; Lee, H.Y.; Eoh, J.; Jeong, J.Y.; Lee, J. Design and thermal-hydraulic evaluation of the finned-tube type sodium-to-air heat exchanger in sodium test facility. Nucl. Eng. Des. 2020, 366, 110755. [Google Scholar] [CrossRef]
- Nemati, H.; Moghimi, M.A.; Sapin, P.; Markides, C.N. Shape optimization of air-cooled finned-tube heat exchangers. Int. J. Therm. Sci. 2020, 150, 106233. [Google Scholar] [CrossRef]
- Li, N.; Chen, J.; Cheng, T.; Klemeš, J.J.; Varbanov, P.S.; Wang, Q.; Yang, W.; Liu, X.; Zeng, M. Analysing thermal-hydraulic performance and energy efficiency of shell-and-tube heat exchangers with longitudinal flow based on experiment and numerical simulation. Energy 2020, 202, 117757. [Google Scholar] [CrossRef]
- Abbasi, H.R.; Sedeh, E.S.; Pourrahmani, H.; Mohammadi, M.H. Shape optimization of segmental porous baffles for enhanced thermo-hydraulic performance of shell-and-tube heat exchanger. Appl. Therm. Eng. 2020, 180, 115835. [Google Scholar] [CrossRef]
- Karuppasamy, M.; Saravanan, R.; Chandrasekaran, M.; Muthuraman, V. Numerical exploration of heat transfer in a heat exchanger tube with cone shape inserts and Al2O3 and CuO nanofluids. Mater. Today Proc. 2020, 21, 940–947. [Google Scholar] [CrossRef]
- Jiang, Q.F.; Pan, C.Y.; Chen, Y.D.; Zhang, Q.Y.; Tang, Y.B.; Aleksandr, P. Improved heat transfer and friction correlations of aluminum offset-strip fin heat exchangers for helium cryogenic applications. Appl. Therm. Eng. 2021, 192, 116892. [Google Scholar] [CrossRef]
- Alaqel, S.; El-Leathy, A.; Al-Ansary, H.; Djajadiwinata, E.; Saleh, N.; Danish, S.; Saeed, R.; Alswaiyd, A.; Al-Suhaibani, Z.; Jeter, S.; et al. Experimental investigation of the performance of a shell-and-tube particle-to-air heat exchanger. Sol. Energy 2020, 204, 561–568. [Google Scholar] [CrossRef]
- Wang, G.; Dbouk, T.; Wang, D.; Pei, Y.; Peng, X.; Yuan, H.; Xiang, S. Experimental and numerical investigation on hydraulic and thermal performance in the tube-side of helically coiled-twisted trilobal tube heat exchanger. Int. J. Therm. Sci. 2020, 153, 106328. [Google Scholar] [CrossRef]
- Fiebig, M.; Valencia, A.; Mitra, N.K. Local heat transfer and flow losses in fin-and-tube heat exchangers with vortex generators: A comparison of round and flat tubes. Exp. Therm. Fluid Sci. 1994, 8, 35–45. [Google Scholar] [CrossRef]
- Yoo, S.Y.; Park, D.S.; Chung, M.H. Heat transfer enhancement for fin-tube heat exchanger using vortex generators. KSME Int. J. 2002, 16, 109–115. [Google Scholar] [CrossRef]
- Du, X.; Feng, L.; Yang, Y.; Yang, L. Experimental study on heat transfer enhancement of wavy finned flat tube with longitudinal vortex generators. Appl. Therm. Eng. 2013, 50, 55–62. [Google Scholar] [CrossRef]
- Zaidan, M.H.; Alkumait, A.A.R.; Ibrahim, T.K. Assessment of heat transfer and fluid flow characteristics within finned flat tube. Case Stud. Therm. Eng. 2018, 12, 557–562. [Google Scholar] [CrossRef]
- Unger, S.; Krepper, E.; Beyer, M.; Hampel, U. Numerical optimization of a finned tube bundle heat exchanger arrangement for passive spent fuel pool cooling to ambient air. Nucl. Eng. Des. 2020, 361, 110549. [Google Scholar] [CrossRef]
- Darbari, A.M.; Alavi, M.A. Application of Taguchi method in the numerical analysis of fluid flow and heat transfer around a flat tube with various axial ratios. Int. Commun. Heat Mass Transf. 2021, 126, 105472. [Google Scholar] [CrossRef]
- Alnakeeb, M.A.; Saad, M.A.; Hassab, M.A. Numerical investigation of thermal and hydraulic performance of fin and flat tube heat exchanger with various aspect ratios. Alex. Eng. J. 2021, 60, 4255–4265. [Google Scholar] [CrossRef]
- Jang, J.Y.; Yang, J.Y. Experimental and 3D numerical analysis of the thermal-hydraulic characteristics of elliptic finned-tube heat exchangers. Heat Transf. Eng. 1998, 19, 55–67. [Google Scholar] [CrossRef]
- Saboya, S.M.; Saboya, F.E.M. Experiments on elliptic sections in one- and two-row arrangements of plate fin and tube heat exchangers. Exp. Therm. Fluid Sci. 2001, 24, 67–75. [Google Scholar] [CrossRef]
- Leu, J.S.; Liu, M.S.; Liaw, J.S.; Wang, C.C. A numerical investigation of louvered fin-and-tube heat exchangers having circular and oval tube configurations. Int. J. Heat Mass Transf. 2001, 44, 4235–4243. [Google Scholar] [CrossRef]
- Liu, M.S.; Leu, J.S.; Liaw, J.S.; Wang, C.C. 3-D Simulation of the thermal-hydraulic characteristics of louvered fin-and-tube heat exchangers with oval tubes. In Proceedings of the ASHRAE Annual Meeting, Minneapolis, MN, USA, 24–28 June 2000. [Google Scholar]
- Erek, A.; Ozerdem, B.; Bilir, L.; Zafer, I. Effect of geometrical parameters on heat transfer and pressure drop characteristics of plate fin and tube heat exchangers. Appl. Therm. Eng. 2005, 25, 2421–2431. [Google Scholar] [CrossRef] [Green Version]
- Lin, C.N.; Liu, Y.W.; Leu, J.S. Heat transfer and fluid flow analysis for plate-fin and oval tube heat exchangers with vortex generators. Heat Transf. Eng. 2008, 29, 588–596. [Google Scholar] [CrossRef]
- Tiwari, S.; Maurya, D.; Biswas, G.; Eswaran, V. Heat transfer enhancement in cross-flow heat exchangers using oval tubes and multiple delta winglets. Int. J. Heat Mass Transf. 2003, 46, 2841–2856. [Google Scholar] [CrossRef]
- O’Brien, J.E.; Sohal, M.S.; Wallstedt, P.C. Local heat transfer and pressure drop for finned-tube heat exchangers using oval tubes and vortex generators. J. Heat Transf. 2004, 126, 826–835. [Google Scholar] [CrossRef]
- Ibrahim, T.A.; Gomaa, A. Thermal performance criteria of elliptic tube bundle in crossflow. Int. J. Therm. Sci. 2009, 48, 2148–2158. [Google Scholar] [CrossRef]
- Sun, L.; Zhang, C.L. Evaluation of elliptical finned-tube heat exchanger performance using CFD and response surface methodology. Int. J. Therm. Sci. 2014, 75, 45–53. [Google Scholar] [CrossRef]
- Sun, L.; Yang, L.; Shao, L.L.; Zhang, C.L. Overall thermal performance oriented numerical comparison between elliptical and circular finned-tube condensers. Int. J. Therm. Sci. 2015, 89, 234–244. [Google Scholar] [CrossRef]
- Kumar, A.; Joshi, J.B.; Nayak, A.K.; Vijayan, P.K. 3D CFD simulations of air cooled condenser-III: Thermal–hydraulic characteristics and design optimization under forced convection conditions. Int. J. Heat Mass Transf. 2016, 93, 1227–1247. [Google Scholar] [CrossRef]
- Zeeshan, M.; Nath, S.; Bhanja, D. Numerical study to predict optimal configuration of fin and tube compact heat exchanger with various tube shapes and spatial arrangements. Energy Convers. Manag. 2017, 148, 737–752. [Google Scholar] [CrossRef]
- He, S.; Zhou, X.; Li, F.; Wu, H.; Chen, Q.; Lan, Z. Heat and mass transfer performance of wet air flowing around circular and elliptic tube in plate fin heat exchangers for air cooling. Heat Mass Transf. 2019, 55, 3661–3673. [Google Scholar] [CrossRef]
- Matos, R.S.; Vargas, J.V.C.; Rossetim, M.A.; Pereira, M.V.A.; Pitz, D.B.; Ordonez, J.C. Performance comparison of tube and plate-fin circular and elliptic heat exchangers for HVAC-R systems. Appl. Therm. Eng. 2021, 184, 116288. [Google Scholar] [CrossRef]
- Sakhri, N.; Draoui, B.; Menni, Y. Experimental study of earth to air heat exchanger performance in arid region. First step: In-situ measurement of ground vertical temperature profile for different depths. J. Adv. Res. Fluid Mech. Therm. Sci. 2019, 56, 183–194. [Google Scholar]
- Sakhri, N.; Moussaoui, A.; Menni, Y.; Sadeghzadeh, M.; Ahmadi, M.H. New passive thermal comfort system using three renewable energies: Wind catcher, solar chimney and earth to air heat exchanger integrated to real-scale test room in arid region (experimental study). Int. J. Energy Res. 2021, 45, 2177–2194. [Google Scholar] [CrossRef]
- Sakhri, N.; Menni, Y.; Chamkha, A.J. Heating capacity of an earth to air heat exchanger in arid regions—Experimental investigation. J. Appl. Comput. Mech. 2021. [Google Scholar] [CrossRef]
- Chamkha, A.J.; Menni, Y. Hydrogen flow over a detached v-shaped rib in a rectangular channel. Math. Model. Eng. Probl. 2020, 7, 178–186. [Google Scholar] [CrossRef]
- Boursas, A.; Salmi, M.; Lorenzini, G.; Ahmad, H.; Menni, Y.; Fridja, D. Enhanced heat transfer by oil/multi-walled carbon nano-tubes nanofluid. Annales de Chimie-Science des Matériaux 2021, 45, 93–103. [Google Scholar] [CrossRef]
- Chekchek, B.; Salmi, M.; Boursas, A.; Lorenzini, G.; Ahmad, H.; Menni, Y.; Ameur, H.; Merrah, M.; Fridja, D. Experimental study of the efficiency of a solar water heater construction from recycled plastic bottles. Int. J. Des. Nat. Ecodyn. 2021, 16, 121–126. [Google Scholar] [CrossRef]
- Hadidi, N.; Rebhi, R.; Bennacer, R.; Menni, Y.; Ameur, H.; Lorenzini, G.; Gepreel, K.A.; Ahmad, H. Thermosolutal natural convection across an inclined square enclosure partially filled with a porous medium. Results Phys. 2021, 21, 103821. [Google Scholar] [CrossRef]
- Menni, Y.; Ameur, H.; Yao, S.W.; Amraoui, M.A.; Inc, M.; Lorenzini, G.; Ahmad, H. Computational fluid dynamic simulations and heat transfer characteristic comparisons of various arc-baffled channels. Open Phys. 2021, 19, 51–60. [Google Scholar] [CrossRef]
- Menni, Y.; Chamkha, A.J.; Zidani, C.; Benyoucef, B. Baffle orientation and geometry effects on turbulent heat transfer of a constant property incompressible fluid flow inside a rectangular channel. Int. J. Numer. Methods Heat Fluid Flow 2020, 30, 3027–3052. [Google Scholar] [CrossRef]
- Menni, Y.; Azzi, A.; Chamkha, A.J.; Harmand, S. Effect of wall-mounted V-baffle position in a turbulent flow through a channel: Analysis of best configuration for optimal heat transfer. Int. J. Numer. Methods Heat Fluid Flow 2019, 29, 3908–3937. [Google Scholar] [CrossRef]
- Menni, Y.; Chamkha, A.J.; Zidani, C.; Benyoucef, B. Study of air flow around flat and arc-shaped baffles in shell-and-tube heat exchangers. Math. Model. Eng. Probl. 2019, 6, 77–84. [Google Scholar] [CrossRef]
- Ahmad, H.; Sakhri, N.; Menni, Y.; Omri, M.; Ameur, H. Experimental study of the efficiency of earth-to-air heat exchangers: Effect of the presence of external fans. Case Stud. Therm. Eng. 2021, 28, 101461. [Google Scholar] [CrossRef]
- Salmi, M.; Boursas, A.; Mederreg, D.; Lorenzini, G.; Ahmad, H.; Menni, Y.; Ameur, H.; Maoudj, R. Improved heat transfer in w-baffled air-heat exchangers with upper-inlet and lower-exit. Math. Model. Eng. Probl. 2021, 8, 1–9. [Google Scholar] [CrossRef]
- Ameur, H.; Sahel, D.; Menni, Y. Enhancement of the cooling of shear-thinning fluids in channel heat exchangers by using the V-baffling technique. Therm. Sci. Eng. Prog. 2020, 18, 100534. [Google Scholar] [CrossRef]
- Mahammedi, A.; Ameur, H.; Menni, Y. Investigation of the convective heat transfer and friction factor of magnetic Ni nanofluids within cylindrical pipes. Int. J. Sci. Technol. 2021, 8, 080101. [Google Scholar] [CrossRef]
- Maouedj, R.; Menni, Y.; Inc, M.; Chu, Y.M.; Ameur, H.; Lorenzini, G. Simulating the turbulent hydrothermal behavior of Oil/MWCNT nanofluid in a solar channel heat exchanger equipped with vortex generators. Comput. Modeling Eng. Sci. 2021, 126, 855–889. [Google Scholar] [CrossRef]
- Mon, M.S.; Gross, U. Numerical study of fin-spacing effects in annular-finned tube heat exchangers. Int. J. Heat Mass Transf. 2004, 47, 1953–1964. [Google Scholar] [CrossRef]
- Benmachiche, A.H.; Tahrour, F.; Aissaoui, F.; Aksas, M.; Bougriou, C. Comparison of thermal and hydraulic performances of eccentric and concentric annular-fins of heat exchanger tubes. Heat Mass Transf. 2017, 53, 2461–2471. [Google Scholar] [CrossRef]
- Orszag, S.A. Renormalization group modeling and turbulence simulations. In Near-Wall Turbulent Flows; Elsevier: Amsterdam, The Netherlands, 1993. [Google Scholar]
- Lin, C.N.; Jang, J.Y. A two-dimensional fin efficiency analysis of combined heat and mass transfer in elliptic fins. Int. J. Heat Mass Transf. 2002, 45, 3839–3847. [Google Scholar] [CrossRef]
- Kumar, A.; Joshi, J.B.; Nayak, A.K. A comparison of thermal -hydraulic performance of various fin patterns using 3D CFD simulations. Int. J. Heat Mass Transf. 2017, 109, 336–356. [Google Scholar] [CrossRef]
- Tahrour, F.; Benmachiche, A.H.; Aksas, M.; Bougriou, C. 3-D Numerical study and comparison of eccentric and concentric annular-finned tube heat exchangers. J. Eng. Sci. Technol. 2015, 10, 1508–1524. [Google Scholar]














| Parameter of Fins | |||||
|---|---|---|---|---|---|
| Dimensions/mm | 0.5 | 3 | 40 | 46 | 42 |
| Tube Shape | Radius R (mm) | Length L (mm) | Major axis radius RMX (mm) | Minor axis radius RMN (mm) | |
| F1 | 3 3.5 4 4.5 | 7.335 5.764 4.193 2.622 | |||
| F2 | |||||
| F3 | |||||
| F4 | |||||
| O1 | 7 | 3.345 | |||
| O2 | 6.5 | 4.023 | |||
| O3 | 6 | 4.625 | |||
| O4 | 5.5 | 5.167 | |||
| O5 (circular) | 5.33 | 5.33 | |||
| Physical Surface | Temperature | Velocity | Pressure |
|---|---|---|---|
| Inlet | Fixed value (293 K) | Fixed velocity (4–14 m/s) | Atmospheric |
| Fin surfaces | Calculated by Fluent | No slip | Calculated by Fluent |
| Outer tube surface | Fixed value (343 K) | No slip | Calculated by Fluent |
| Upper and lower faces of symmetry | |||
| Right and left sides of symmetry | |||
| Outlet | Atmospheric |
| Number of Cells | 0.45 Million | 0.8 Million | 1.1 Million | 1.5 Million | 1.95 Million |
|---|---|---|---|---|---|
| 0.00491 | 0.00551 | 0.006 | 0.00612 | 0.00621 | |
| 0.1189 | 0.09065 | 0.08539 | 0.08271 | 0.08107 |
Publisher’s Note: MDPI stays neutral with regard to jurisdictional claims in published maps and institutional affiliations. |
© 2021 by the authors. Licensee MDPI, Basel, Switzerland. This article is an open access article distributed under the terms and conditions of the Creative Commons Attribution (CC BY) license (https://creativecommons.org/licenses/by/4.0/).
Share and Cite
Djeffal, F.; Bordja, L.; Rebhi, R.; Inc, M.; Ahmad, H.; Tahrour, F.; Ameur, H.; Menni, Y.; Lorenzini, G.; Elagan, S.K.; et al. Numerical Investigation of Thermal-Flow Characteristics in Heat Exchanger with Various Tube Shapes. Appl. Sci. 2021, 11, 9477. https://doi.org/10.3390/app11209477
Djeffal F, Bordja L, Rebhi R, Inc M, Ahmad H, Tahrour F, Ameur H, Menni Y, Lorenzini G, Elagan SK, et al. Numerical Investigation of Thermal-Flow Characteristics in Heat Exchanger with Various Tube Shapes. Applied Sciences. 2021; 11(20):9477. https://doi.org/10.3390/app11209477
Chicago/Turabian StyleDjeffal, Fares, Lyes Bordja, Redha Rebhi, Mustafa Inc, Hijaz Ahmad, Farouk Tahrour, Houari Ameur, Younes Menni, Giulio Lorenzini, Sayed K. Elagan, and et al. 2021. "Numerical Investigation of Thermal-Flow Characteristics in Heat Exchanger with Various Tube Shapes" Applied Sciences 11, no. 20: 9477. https://doi.org/10.3390/app11209477
APA StyleDjeffal, F., Bordja, L., Rebhi, R., Inc, M., Ahmad, H., Tahrour, F., Ameur, H., Menni, Y., Lorenzini, G., Elagan, S. K., & Jawa, T. M. (2021). Numerical Investigation of Thermal-Flow Characteristics in Heat Exchanger with Various Tube Shapes. Applied Sciences, 11(20), 9477. https://doi.org/10.3390/app11209477

