Performance Evaluation of Linear and Nonlinear Models for Short-Term Forecasting of Tropical-Storm Winds
Abstract
:1. Introduction
2. Linear and Nonlinear Methods
2.1. Time-Series Models
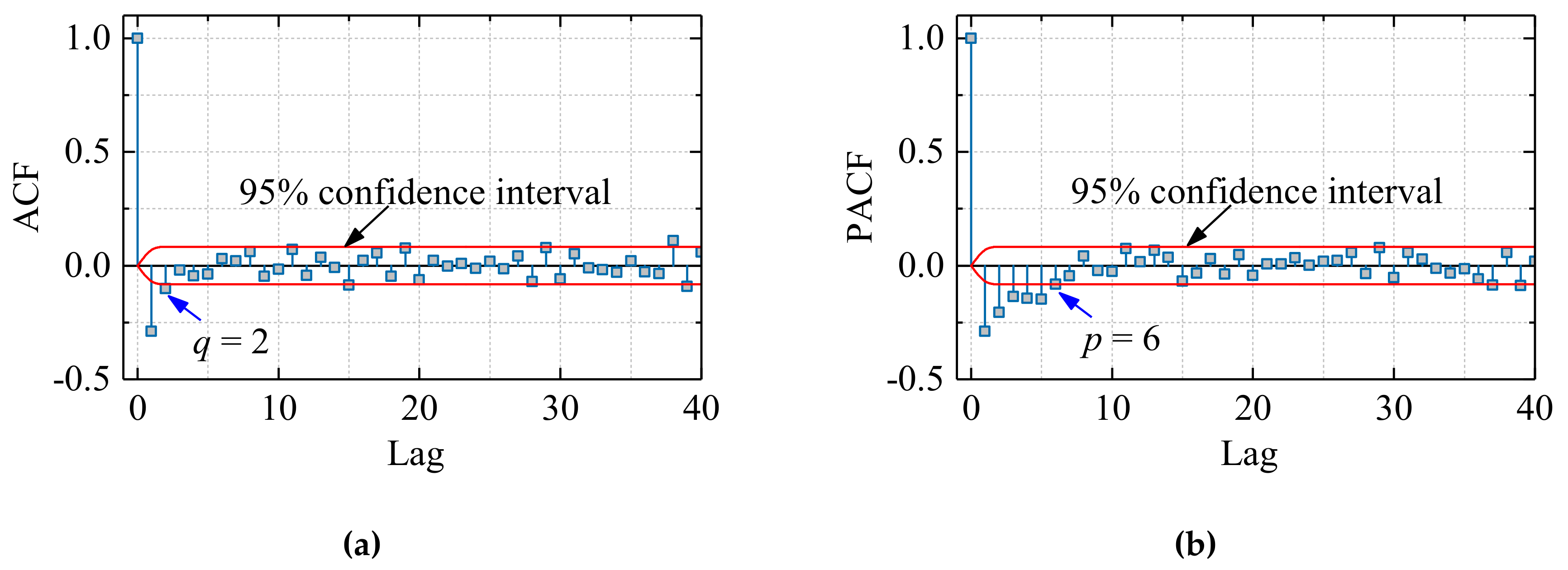
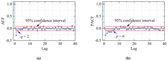
- Model order identification: an initial differencing step is applied to make the data stationary in the mean sense. Then, the autocorrelation function (ACF) and partial autocorrelation function (PACF) of differenced time series will be calculated for the order determination of AR and MA parts.
- Estimation of parameters: the parameters to be determined are estimated using the maximum likelihood method or the least squares method.
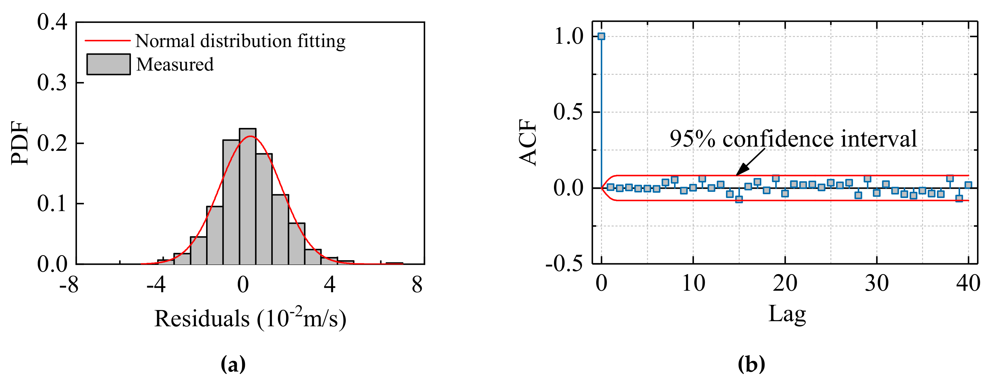
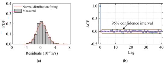
- Residual diagnostics: the goodness of fit of the given data is estimated by checking the prediction errors. The prediction errors of a good model correspond to white noise, and its ACF will be at a low level.
2.2. Artificial Neural Network Approach
2.2.1. BPNN
2.2.2. LSTM
2.2.3. GRU
2.3. SVR
3. Measured Tropical-Storm Winds
4. Performance Comparison of Different Models
4.1. Stationary Test and Model Building
4.2. Performance Evaluation Criteria
4.3. One-Step Ahead Forecasting
4.4. Multi-Step Ahead Forecasting
5. Forecasting of Mean Wind Speeds
6. Application to Other Datasets
7. Conclusions
- The artificial neural network-based models provide similar prediction errors in the one-step ahead forecasting of maximum wind speeds, while the SVR model offers the worst forecasting as the trained model cannot well represent the inherent general features of measured winds.
- The forecasting errors of different models all increase with the augment of forecasting steps, but the error increment of the ARIMA model is the smallest. The SVR model still provides the worst prediction at different forecasting steps, and the difference in the errors of the BPNN, LSTM, and GRU models is small.
- The errors of all the models in forecasting the mean wind speed are smaller than those in forecasting the maximum wind speed, which means high accuracy can be achieved when forecasting the wind speeds in the mean sense.
- Among the investigated models, the ARIMA model provides the least forecasting error, and the error changes little when increasing the forecasting steps. Hence, the ARIMA model is suggested as an effective approach to forecast tropical-storm winds for the purpose of early warning.
Author Contributions
Funding
Institutional Review Board Statement
Informed Consent Statement
Data Availability Statement
Acknowledgments
Conflicts of Interest
References
- Xu, Y. Wind Effects on Cable-Supported Bridges; John Wiley & Sons: Hoboken, NJ, USA, 2013. [Google Scholar]
- Hao, J.; Wu, T. Nonsynoptic Wind-Induced Transient Effects on Linear Bridge Aerodynamics. J. Eng. Mech. 2017, 143, 04017092. [Google Scholar] [CrossRef]
- Tao, T.; Wang, H.; Zhao, K. Efficient simulation of fully non-stationary random wind field based on reduced 2D hermite interpolation. Mech. Syst. Signal. Process. 2020, 150, 107265. [Google Scholar] [CrossRef]
- Wang, H.; Zhang, Y.; Mao, J.; Wan, H. A probabilistic approach for short-term prediction of wind gust speed using ensemble learning. J. Wind. Eng. Ind. Aerodyn. 2020, 202, 104198. [Google Scholar] [CrossRef]
- Singh, S.; Mohapatra, A. Repeated wavelet transform based ARIMA model for very short-term wind speed forecasting. Renew. Energy 2019, 136, 758–768. [Google Scholar]
- Jiang, Y.; Huang, G. Short-term wind speed prediction: Hybrid of ensemble empirical mode decomposition, feature selection and error correction. Energy Convers. Manag. 2017, 144, 340–350. [Google Scholar] [CrossRef]
- Santhosh, M.; Venkaiah, C.; Kumar, D.V. Short-term wind speed forecasting approach using Ensemble Empirical Mode Decomposition and Deep Boltzmann Machine. Sustain. Energy Grids Netw. 2019, 19, 100242. [Google Scholar] [CrossRef]
- Carvalho, D.; Rocha, A.; Gómez-Gesteira, M.; Santos, C. A sensitivity study of the WRF model in wind simulation for an area of high wind energy. Environ. Model. Softw. 2012, 33, 23–34. [Google Scholar] [CrossRef] [Green Version]
- Lange, M.; Focken, U. Physical Approach to Short-Term Wind Power Prediction; Springer: Berlin/Heidelberg, Germany, 2006; Volume 208. [Google Scholar]
- Su, Z.; Wang, J.; Lu, H.; Zhao, G. A new hybrid model optimized by an intelligent optimization algorithm for wind speed forecasting. Energy Convers. Manag. 2014, 85, 443–452. [Google Scholar] [CrossRef]
- Yang, Z.; Ce, L.; Lian, L. Electricity price forecasting by a hybrid model, combining wavelet transform, ARMA and kernel-based extreme learning machine methods. Appl. Energy 2017, 190, 291–305. [Google Scholar] [CrossRef]
- Liu, H.; Erdem, E.; Shi, J. Comprehensive evaluation of ARMA–GARCH (-M) approaches for modeling the mean and volatility of wind speed. Appl. Energy 2011, 88, 724–732. [Google Scholar] [CrossRef]
- Torres, J.L.; Garcia, A.; De Blas, M.; De Francisco, A. Forecast of hourly average wind speed with ARMA models in Navarre (Spain). Sol. Energy 2005, 79, 65–77. [Google Scholar] [CrossRef]
- Tao, T.; Shi, P.; Wang, H.; Ai, W. Short-term prediction of downburst winds: A double-step modification enhanced approach. J. Wind Eng. Ind. Aerodyn. 2021, 211, 104561. [Google Scholar] [CrossRef]
- Wang, J.; Hu, J. A robust combination approach for short-term wind speed forecasting and analysis–Combination of the ARIMA (Autoregressive Integrated Moving Average), ELM (Extreme Learning Machine), SVM (Support Vector Machine) and LSSVM (Least Square SVM) forecasts using a GPR (Gaussian Process Regression) model. Energy 2015, 93, 41–56. [Google Scholar]
- Liu, H.; Tian, H.; Li, Y. An EMD-recursive ARIMA method to predict wind speed for railway strong wind warning system. J. Wind Eng. Ind. Aerodyn. 2015, 141, 27–38. [Google Scholar] [CrossRef]
- Jiang, Y.; Liu, S.; Zhao, N.; Xin, J.; Wu, B. Short-term wind speed prediction using time varying filter-based empirical mode decomposition and group method of data handling-based hybrid model. Energy Convers. Manag. 2020, 220, 113076. [Google Scholar] [CrossRef]
- Kavasseri, R.G.; Seetharaman, K. Day-ahead wind speed forecasting using f-ARIMA models. Renew. Energy 2009, 34, 1388–1393. [Google Scholar] [CrossRef]
- Montgomery, D.C.; Jennings, C.L.; Kulahci, M. Introduction to Time Series Analysis and Forecasting; John Wiley & Sons: Hoboken, NJ, USA, 2015. [Google Scholar]
- Erdem, E.; Shi, J. ARMA based approaches for forecasting the tuple of wind speed and direction. Appl. Energy 2011, 88, 1405–1414. [Google Scholar] [CrossRef]
- Wang, S.; Zhang, N.; Wu, L.; Wang, Y. Wind speed forecasting based on the hybrid ensemble empirical mode decomposition and GA-BP neural network method. Renew. Energy 2016, 94, 629–636. [Google Scholar] [CrossRef]
- Ren, C.; An, N.; Wang, J.; Li, L.; Hu, B.; Shang, D. Optimal parameters selection for BP neural network based on particle swarm optimization: A case study of wind speed forecasting. Knowl.-Based Syst. 2014, 56, 226–239. [Google Scholar] [CrossRef]
- Memarzadeh, G.; Keynia, F. A new short-term wind speed forecasting method based on fine-tuned LSTM neural network and optimal input sets. Energy Convers. Manag. 2020, 213, 112824. [Google Scholar] [CrossRef]
- Hu, Y.; Chen, L. A nonlinear hybrid wind speed forecasting model using LSTM network, hysteretic ELM and Differential Evolution algorithm. Energy Convers. Manag. 2018, 173, 123–142. [Google Scholar] [CrossRef]
- Yu, C.; Li, Y.; Bao, Y.; Tang, H.; Zhai, G. A novel framework for wind speed prediction based on recurrent neural networks and support vector machine. Energy Convers. Manag. 2018, 178, 137–145. [Google Scholar] [CrossRef]
- Wei, D.; Wang, J.; Niu, X.; Li, Z. Wind speed forecasting system based on gated recurrent units and convolutional spiking neural networks. Appl. Energy 2021, 292, 116842. [Google Scholar] [CrossRef]
- Liu, H.; Mi, X.; Li, Y.; Duan, Z.; Xu, Y. Smart wind speed deep learning based multi-step forecasting model using singular spectrum analysis, convolutional Gated Recurrent Unit network and Support Vector Regression. Renew. Energy 2019, 143, 842–854. [Google Scholar] [CrossRef]
- Dhiman, H.S.; Deb, D.; Guerrero, J.M. Hybrid machine intelligent SVR variants for wind forecasting and ramp events. Renew. Sustain. Energy Rev. 2019, 108, 369–379. [Google Scholar] [CrossRef]
- Santamaría-Bonfil, G.; Reyes-Ballesteros, A.; Gershenson, C. Wind speed forecasting for wind farms: A method based on support vector regression. Renew. Energy 2016, 85, 790–809. [Google Scholar] [CrossRef]
- Jiang, Y.; Zhao, N.; Peng, L.; Liu, S. A new hybrid framework for probabilistic wind speed prediction using deep feature selection and multi-error modification. Energy Convers. Manag. 2019, 199, 111981. [Google Scholar] [CrossRef]
- Sharifian, A.; Ghadi, M.J.; Ghavidel, S.; Li, L.; Zhang, J. A new method based on Type-2 fuzzy neural network for accurate wind power forecasting under uncertain data. Renew. Energy 2018, 120, 220–230. [Google Scholar] [CrossRef]
- Santhosh, M.; Venkaiah, C.; Vinod Kumar, D.M. Ensemble empirical mode decomposition based adaptive wavelet neural network method for wind speed prediction. Energy Convers. Manag. 2018, 168, 482–493. [Google Scholar] [CrossRef]
- Chang, G.; Lu, H.; Chang, Y.; Lee, Y. An improved neural network-based approach for short-term wind speed and power forecast. Renew. Energy 2017, 105, 301–311. [Google Scholar] [CrossRef]
- Box, G.E.; Jenkins, G.M.; Reinsel, G.C.; Ljung, G.M. Time Series Analysis: Forecasting and Control; John Wiley & Sons: Hoboken, NJ, USA, 2015. [Google Scholar]
- Wang, W.; Chau, K.; Xu, D.; Chen, X. Improving forecasting accuracy of annual runoff time series using ARIMA based on EEMD decomposition. Water Resour. Manag. 2015, 29, 2655–2675. [Google Scholar] [CrossRef]
- Li, J.; Cheng, J.; Shi, J.; Huang, F. Brief introduction of back propagation (BP) neural network algorithm and its improvement. In Advances in Computer Science and Information Engineering; Springer: Berlin/Heidelberg, Germany, 2012; pp. 553–558. [Google Scholar]
- Hochreiter, S.; Schmidhuber, J. Long short-term memory. Neural Comput. 1997, 9, 1735–1780. [Google Scholar] [CrossRef]
- Cho, K.; Van Merriënboer, B.; Gulcehre, C.; Bahdanau, D.; Bougares, F.; Schwenk, H.; Bengio, Y. Learning phrase representations using RNN encoder-decoder for statistical machine translation. arXiv 2014, arXiv:1406.1078. [Google Scholar]
- Drucker, H.; Burges, C.J.; Kaufman, L.; Smola, A.; Vapnik, V. Support vector regression machines. Adv. Neural Inf. Process. Syst. 1997, 9, 155–161. [Google Scholar]
- Salcedo-Sanz, S.; Ortiz-Garcı, E.G.; Pérez-Bellido, Á.M.; Portilla-Figueras, A.; Prieto, L. Short term wind speed prediction based on evolutionary support vector regression algorithms. Expert Syst. Appl. 2011, 38, 4052–4057. [Google Scholar] [CrossRef]
- Tao, T.; Wang, H.; Wu, T. Comparative Study of the Wind Characteristics of a Strong Wind Event Based on Stationary and Nonstationary Models. J. Struct. Eng. 2017, 143, 04016230. [Google Scholar] [CrossRef]
- Tao, T.; Wang, H. Modelling of longitudinal evolutionary power spectral density of typhoon winds considering high-frequency subrange. J. Wind Eng. Ind. Aerodyn. 2019, 193, 103957. [Google Scholar] [CrossRef]
- Dickey, D.A.; Fuller, W.A. Likelihood ratio statistics for autoregressive time series with a unit root. Econom. J. Econom. Soc. 1981, 49, 1057–1072. [Google Scholar] [CrossRef]
- Dickey, D.A.; Fuller, W.A. Distribution of the estimators for autoregressive time series with a unit root. J. Am. Stat. Assoc. 1979, 74, 427–431. [Google Scholar]
- Hamilton, J.D. Time Series Analysis; Princeton University Press: Princeton, NJ, USA, 1994. [Google Scholar]
- Rafiq, M.; Bugmann, G.; Easterbrook, D. Neural network design for engineering applications. Comput. Struct. 2001, 79, 1541–1552. [Google Scholar] [CrossRef]
- Hornik, K. Approximation capabilities of multilayer feedforward networks. Neural Netw. 1991, 4, 251–257. [Google Scholar] [CrossRef]
- Hagan, M.T.; Demuth, H.B.; Beale, M. Neural Network Design; PWS Publishing, Co.: Boston, MA, USA, 1997. [Google Scholar]
- Chen, X.; Zhao, J.; Jia, X.; Li, Z. Multi-step wind speed forecast based on sample clustering and an optimized hybrid system. Renew. Energy 2021, 165, 595–611. [Google Scholar] [CrossRef]













| Items | Test Value | |
|---|---|---|
| Original Data | Differenced Data | |
| t-statistic | −1.067 | −11.894 |
| Critical Value (95%) 1 | −2.868 | −2.868 |
| No. | Model | Description |
|---|---|---|
| 1 | ARIMA | The autoregressive, differential, and moving average terms have the order of 6, 1, and 2, respectively. |
| 2 | BPNN | A relatively simple model is applied, which contains an input layer with six neurons, a hidden layer with six neurons, and an output layer with six neurons. |
| 3 | LSTM | The memory cell takes place of the neurons in the hidden layer of BPNN. |
| 4 | GRU | The same structure as LSTM is adopted for this model. |
| 5 | SVR | The numbers of input and output features equal 6 and 1, respectively. |
| Model | MAE | MRPE/% | RMSE | R2 |
|---|---|---|---|---|
| ARIMA | 1.26 | 5.24 | 1.64 | 0.68 |
| BPNN | 1.29 | 5.35 | 1.69 | 0.66 |
| LSTM | 1.27 | 5.32 | 1.64 | 0.68 |
| GRU | 1.29 | 5.27 | 1.68 | 0.67 |
| SVR | 1.67 | 6.76 | 2.24 | 0.40 |
| Error Index | Forecasting Step | |||||
|---|---|---|---|---|---|---|
| 1 | 2 | 3 | 4 | 5 | 6 | |
| MAE (%) | 19.8 | 18.9 | 18.6 | 18.2 | 18.7 | 20.4 |
| MRPE (%) | 11.0 | 9.8 | 9.3 | 8.8 | 9.3 | 11.2 |
| RMSE (%) | 22.7 | 20.9 | 20.8 | 20.6 | 20.7 | 21.9 |
| R2 (%) | 18.7 | 17.5 | 18.6 | 18.8 | 18.2 | 18.6 |
| Case | Forecasting Steps | ARIMA | BPNN | LSTM | GRU | SVR |
|---|---|---|---|---|---|---|
| Lekima | 1 | 1.05 | 1.09 | 1.07 | 1.11 | 1.27 |
| 3 | 1.09 | 1.26 | 1.15 | 1.38 | 1.33 | |
| 6 | 1.13 | 1.35 | 1.20 | 1.45 | 1.42 | |
| Maria | 1 | 0.52 | 0.52 | 0.52 | 0.55 | 0.57 |
| 3 | 0.54 | 0.57 | 0.59 | 0.63 | 0.62 | |
| 6 | 0.54 | 0.62 | 0.64 | 0.64 | 0.71 | |
| Ampil | 1 | 1.10 | 1.10 | 1.11 | 1.12 | 1.14 |
| 3 | 1.16 | 1.22 | 1.24 | 1.41 | 1.27 | |
| 6 | 1.14 | 1.20 | 1.25 | 1.35 | 1.32 |
Publisher’s Note: MDPI stays neutral with regard to jurisdictional claims in published maps and institutional affiliations. |
© 2021 by the authors. Licensee MDPI, Basel, Switzerland. This article is an open access article distributed under the terms and conditions of the Creative Commons Attribution (CC BY) license (https://creativecommons.org/licenses/by/4.0/).
Share and Cite
Tao, T.; Shi, P.; Wang, H.; Yuan, L.; Wang, S. Performance Evaluation of Linear and Nonlinear Models for Short-Term Forecasting of Tropical-Storm Winds. Appl. Sci. 2021, 11, 9441. https://doi.org/10.3390/app11209441
Tao T, Shi P, Wang H, Yuan L, Wang S. Performance Evaluation of Linear and Nonlinear Models for Short-Term Forecasting of Tropical-Storm Winds. Applied Sciences. 2021; 11(20):9441. https://doi.org/10.3390/app11209441
Chicago/Turabian StyleTao, Tianyou, Peng Shi, Hao Wang, Lin Yuan, and Sheng Wang. 2021. "Performance Evaluation of Linear and Nonlinear Models for Short-Term Forecasting of Tropical-Storm Winds" Applied Sciences 11, no. 20: 9441. https://doi.org/10.3390/app11209441
APA StyleTao, T., Shi, P., Wang, H., Yuan, L., & Wang, S. (2021). Performance Evaluation of Linear and Nonlinear Models for Short-Term Forecasting of Tropical-Storm Winds. Applied Sciences, 11(20), 9441. https://doi.org/10.3390/app11209441

