Next Article in Journal
A Multiple-Choice Machine Reading Comprehension Model with Multi-Granularity Semantic Reasoning
Next Article in Special Issue
Assessment of the Effect of Phase Change Material (PCM) Glazing on the Energy Consumption and Indoor Comfort of an Office in a Semiarid Climate
Previous Article in Journal
Principal Component Analysis and Machine Learning Approaches for Photovoltaic Power Prediction: A Comparative Study
Previous Article in Special Issue
Systematic Analysis of Micro-Fiber Thermal Insulations from a Thermal Properties Point of View
 
 
Font Type:
Arial Georgia Verdana
Font Size:
Aa Aa Aa
Line Spacing:
Column Width:
Background:
Article

Evaluating the Impact of Indoor Insulation on Historic Buildings: A Multilevel Approach Involving Heat and Moisture Simulations

1
Politecnico di Torino, 10129 Torino, Italy
2
TEBE Research Group, Department of Energy, Politecnico di Torino, 10129 Torino, Italy
*
Author to whom correspondence should be addressed.
Appl. Sci. 2021, 11(17), 7944; https://doi.org/10.3390/app11177944
Submission received: 31 May 2021 / Revised: 31 July 2021 / Accepted: 11 August 2021 / Published: 27 August 2021

Abstract

The energy refurbishment of historic buildings is a complex task for building envelope designers who need to carefully consider building conservation guidelines and principles. In most cases, external wall insulation techniques can determine an unacceptable alteration of the historical value of a building. For this reason, internal wall insulation techniques have been used widely in the last few decades. Nevertheless, dealing with internal wall insulation requires a complex design to avoid the risk of condensation and moisture-related pathologies. Moreover, an internal wall insulation may have a relevant impact on indoor comfort conditions. In this paper, the Monastery of Santa Maria de Monfero in Galicia (Spain) has been adopted as a building case study to compare different technological solutions based on: (i) an insulating plaster layer, (ii) dry counter wall systems. In the first step, heat and moisture transfer simulations of the wall components were performed to analyze the hygrothermal behavior of the different alternatives considering two different climate conditions. In a second step, a simulation of the whole building was performed to analyze the impact of the retrofitting strategies on the indoor climate and on the building heating and cooling demand. The obtained results show that the counter wall solution leads to higher energy savings during the heating season in the colder winter climate. However, the use of insulating thermal plaster could also be a viable solution since they lead to several advantages in summer because of their higher thermal inertia. Therefore, the selection of the most appropriate insulation technique has to be evaluated carefully considering the outdoor/indoor climate and using a case-by-case approach.

1. Introduction

About 40% of the global consumption of primary energy in Europe results from building energy demand, and the building sector is also responsible for over 36% of the total amount of greenhouse gas production [1]. About 38% of the existing building stock was built before 1960, when no energy saving laws were in force, and this percentage includes many buildings which have been defined as being part of the historical cultural heritage [2]. Statistical data show that the existing residential building stock is characterized by a higher energy consumption than 270 kWh/m2 per year [2] and that each year, only around 1% of the existing buildings are replaced by new constructions characterized by low energy consumption, i.e., around 30–50 kWh/m2 per year [3]. For these reasons, the renewal of the existing building stock is considered the most effective strategy to reduce their energy consumption by as much as 60% [4]. The retrofitting of historic buildings plays a high priority role in different national and regional research programs [5] and can play a key role in addressing the requirements of reducing GHG by 40% before 2030 [6].
Nevertheless, intervening on cultural heritage is particularly complex, since it is essential that any upgrading, aimed at improving the energy behavior, does not undermine the historical value. Moreover, each technological intervention should not only be cost-effective, but also be acceptable to the final user, in terms of the level of provided thermal comfort [7]. One of the main constraints to the design phase of retrofitting interventions on historic buildings is the actual feasibility of such interventions. In most cases, the external envelope cannot be modified, due to the architectural value of the building; thus, the use of external insulation systems is precluded. On the other hand, internal insulation strategies are considered a more viable alternative, although they can still be quite invasive when new materials are introduced or historic linings are replaced. A further concern about internal insulation is its physical compatibility with traditional constructions, since changing the balance between heat, air and moisture can affect a building’s integrity (Rhee-Duverne and Baker, 2013) [8]. Traditional buildings are formally defined, in UK regulations, as “buildings of traditional construction with permeable fabric that both absorbs and readily allows the evaporation of moisture” [9]. Historic buildings have different bioclimatic and vernacular characteristics. These buildings may have complex and irregular geometries, they may have been built with non-standardized materials and may be heterogeneous in their composition. Given these differences, the solutions adopted for energy retrofitting in contemporary buildings may not be appropriate for historic buildings and may even damage them, thereby resulting in the loss of our collective cultural heritage [9]. Since dampness is the main cause of masonry deterioration in many historic buildings, controlling the moisture behavior of building enclosures has been a topic of growing interest, especially over the last 15 years [10]. However, the behavior of moisture is often difficult to predict, partly due to the complexity of moisture models, which are rarely introduced into monitoring plans. In most cases, a balance can be found between protecting the heritage value of the building and appropriate energy saving interventions that lessen the adverse impact on the environment, reduce operational energy costs and improve occupant comfort, thus ensuring the long-term viability of such buildings [11]. Suitable retrofitting actions can thus effectively counteract the onset of typical building pathologies in historic buildings.
Mazzarella [12] showed that the actual European energy efficiency directives are not addressed in a uniform way for heritage listed buildings. At national level, the derogation regime is quite common. Consequently, up to now, no specific rules, codes or standards are available for the energy retrofitting of valuable historical and architectural buildings. On the other hand, no international act, in the Architecture Heritage Conservation field, deals with energy and energy retrofitting. A lobbying action is therefore needed to cover this gap between historic/historical buildings and energy retrofitting. In Italy, the renewal of the Legislative Decree of 19 August 2005, n° 192, “Implementation of Directive 2002/91/EC for the energy performance of buildings”, put in force by Law 90/2013, excludes its application to cultural heritage when the observance of requirements implies a substantial alteration of the character or appearance of such artifacts, with particular reference to historical profiles and artistic landscapes [13]. On 29 October 2015, the Italian Ministry of the Cultural Heritage Activities and Tourism published specific guidelines on the energy performance of cultural heritage [14]. These guidelines provide guidance concerning the evaluation and improvement of the energy performance of the protected cultural heritage, referring to Italian laws on saving energy and energy efficiency of buildings. The Cultural Heritage and Landscape Code states that the cultural heritage cannot be destroyed, degraded, damaged or adopted for uses that are either incoherent with their historical artistic value or affect their conservation status [15]. The most recent standard regarding conservation of the cultural heritage is EN 16883, which was published in June 2017 and deals with “Guidelines for improving the energy performance of historical buildings”. The standard aim is to facilitate the management of historic buildings by integrating actions for energy performance improvements with the adequate conservation of the buildings [16].
In recent years, several studies were focused on the retrofit of historic building envelopes considering energy efficiency, hygrothermal aspects, and the impact on indoor conditions. E. Negro et al. [11] stated that the essential measures are aimed at ensuring an improvement of the Indoor Environmental Quality for historical architecture to preserve its identity and cultural heritage. In that paper, the authors conducted an evaluation of the energy performance of vernacular buildings, focusing on the properties of thermal mass, and performed a Fanger comfort analysis, but they did not evaluate the influence of moisture on the energy performance by means of a thermo-hygrometric analysis. Galliano at al. [5] performed an interesting study concerning the difference between the Udry and Uwet values using WUFI Pro® v6.0 software (Fraunhofer IBP Holzkirchen, Bavaria, Germany). Unfortunately, such demo models do not allow the influence of the interior contribution to the heat and moisture balance of the wall to be evaluated. T. Stahl at al. [17] analyzed a performant aerogel-based external insulation rendering to retrofit a historical building in Switzerland. Apart from in situ measurements, they performed a numerical analysis with WUFI PRO and also evaluated, after a retrofitting, the increase in the mean wall temperature due to the insulating effect of the aerogel-based rendering, and after it dried out, the lowering moisture content as a result of the unhindered permeation of moisture through the vapor permeable aerogel rendering. In the paper, the authors declared that better interior comfort was reached as a result of the positive impact of aerogel rendering on the air temperature in a room and the temperature on the inner surface of the coldest wall. Fantucci et al. [18] studied several base formulas to identify the ideal aerogel insulating plaster/render mix; they also analyzed the thermal behavior of typical wall assemblies that had been retrofitted using a novel aerogel-based plaster through numerical simulations. The aim was to investigate the thermal performance of a conventional solid wall retrofitted with the aerogel plaster, considering dynamic hygrothermal conditions. Stefanizzi et al. [19] analyzed the effects of the application of insulating materials on the energy refurbishment of buildings aimed at improving the thermal transmittance of the envelope. The study highlighted that if these actions are not planned and executed accurately, the drying potential of a wall is reduced, and thus, its original features are modified, and it is generally left in a humid state. Moreover, the authors affirm that it has become essential to perform hygrothermal assessments. Liuzzi et al. [20] analyzed two different plasters in order to consider the potential of earthen materials to improve indoor comfort and to reduce energy consumption for climatization; the thermal performance and water vapor permeability were taken into account in order to analyze the comfort conditions during summer periods, without the installation of any HVAC system.
Palumbo et al. [21] developed and applied a bio-based insulation material to minimize the environmental impacts of existing buildings through a reduction of the embodied and in-use energy demand. The study showed that the hygrothermal performance of natural building material has direct and indirect impacts on moderating the indoor environmental conditions and can contribute to energy saving.
Finken et al. [22] studied the application of active/hydrophilic capillary insulation to solve the moisture problems that usually arise in the internal insulation of an external wall. This insulation is able to transport liquid moisture to the inner surface and enable the wall to dry. D’Agostino [23] investigated dampness problems, which are known to be the main cause of masonry deterioration in historical buildings. They investigated the moisture transfer dynamics to and from the walls and columns constituting the masonry of Crypt of the Cathedral of Lecce.
Despite the amount of research focused on the hygrothermal behavior of historic building envelopes, the scientific literature still lacks comprehensive studies which combine the analysis of hygrothermal behavior, energy efficiency and indoor thermal comfort to support the design of the retrofit actions.
For these reasons, the aim of this research has been to provide a methodological approach that could be applied during retrofitting projects. The study also assesses the impact of different retrofitting solutions on thermal comfort, energy performance and hygrothermal compatibility. In addition, this work provides useful guidelines for defining indoor insulation retrofitting actions on historic buildings through a multi-level approach involving heat and moisture studies and dynamic BES (building energy simulation) analyses. The opportunity of such a case study arose from the rehabilitation competition of the Monastero de Santa Maria de Monfero in Galicia, Spain, the winning project of which was studied by the Authors as part of an MSc thesis [24] (Figure 1). The competition for the renovation and transformation of the monastery into a spa hotel started in 2004. In 2005–2006, the original project was divided in two phases with different priorities. These included a comprehensive cleaning and structural consolidation and a second phase of final detailed design for the renovation and transformation.
In this paper, hygrothermal simulations were performed on the Monastery considering both the real location, Monfero in Spain, and a hypothetical location with a completely different climate, that is, Turin, Italy, in order to compare different responses. The results of the study suggest an approach that may be used to understand the water and moisture behavior in historic buildings as it helps to overcome some of the common criticalities in this field. Indeed, the evaporation process by which water is lost from the structure is influenced by many parameters, such as the moisture storage capacity of the structure and the microclimatic conditions at the site. In this research, different materials were simulated with the aim of providing a wider overview of solutions for retrofitting actions on cultural heritage buildings. The study points out that water vapor permeable materials (such as mineral wool counter walls or internal insulating plasters) exhibit a good compatibility with old masonries. Nevertheless, the moisture stored in the materials leads to a reduction of the insulating performance.
Moreover, whole building energy simulations were also carried out on the different retrofitting solutions, and they demonstrated that the right intervention choices could, in some cases, even lead to summer comfort conditions being obtained through a passive approach without the installation of a cooling system, thereby producing a reduction in cost, but above all respecting the original space integrity of historic buildings.

2. Materials and Methods

2.1. Aims and Process

The aim of this work has been to investigate a set of technologies and staged approaches for retrofitting upgrades of “hard-to-treat” buildings, in order to, on one hand, reduce the operational energy demand and, consequently, the carbon dioxide emissions, and on the other, to identify acceptable and appealing solutions to ensure high indoor thermal comfort for the occupants. The retrofitting solutions analyzed in this study concern internal insulation interventions, which were evaluated through numerical simulations focused on the hygrothermal behavior of the buildings. The analysis took into account several variables, such as location, the adopted materials and ventilation. Each retrofitting scenario was explored using dynamic Heat and Moisture Simulations (HMT), both at a component scale and at a building scale. An integrated vision through a holistic approach geared toward optimization, which considered all the issues involved in the process, was the best way to identify the optimal solution for each intervention. Such a vision had to take into account the boundary conditions, dampness behavior, the features of the materials and the interactions between such materials.
A total of 21 different solutions were analyzed at the component scale at two different locations in order to determine the mutual effects of retrofitting packages on the psychometric conditions of the indoor air, external envelope, heat transfer, operational energy efficiency and occupant comfort. The annual energy demand and summer comfort were investigated at a building scale, considering typical occupancy profiles.

2.2. Materials and Configurations

The dry-state, thermophysical and basic hygrothermal properties of all the materials simulated for adoption in the building envelope (and as model input parameters) were implemented according to the WUFI material database and previous studies conducted on these materials. Moreover, particular attention was paid to the thermal transmittance temperature-dependent and enthalpy temperature-dependent curve (Phase Change Materials), as these values influence the recorded results to a great extent.
The reference wall is a typical external masonry wall. The perimeter walls of the Monastery of Santa Maria de Monfero are irregular and have an average thickness of 100 cm.
Two different types of insulation systems were evaluated: thermal plasters (P) and counter walls (C) (Figure 2). The former was used since, in this context, thermal insulating plasters represent an interesting solution, as they are constructive elements that have been used for thousands of years, which show high versatility and increasingly higher technical performances [25]. The latter system was considered because counter walls are by now a common solution for the restoration of old buildings; furthermore, the elements that make up counter walls are often easy to remove. Moreover, these solutions are based on the winning project which has preliminary defined the counter-wall system “C2 config.” as a wall retrofit solution (Table 1).
Both configuration types, i.e., thermal plasters (P) and the counter wall system (C), were designed with a total insulation thickness of 6 cm (assumed from the winning project), with the aim of comparing solutions with reduced thicknesses to be compliant with indoor space constraints.
In short, the following were investigated:
  • Different kinds of thermal plasters (P) with aggregates and binders to enhance the thermal properties: Expanded Polystyrene (EPS), natural hydraulic lime, expanded perlite, granulated corncob, granulated cork from bottle caps, Portland cement, micro-encapsulated Phase Change Materials (PCM) and cellulose flakes.
  • Counter wall systems (C) considering mineral wool as the insulation layer since it is commonly used. Moreover, other solutions were studied in which the mineral wool was bound with shape-stabilized PCM, Fumed Silica Vacuum Insulation Panels (VIPs) and aerogel blankets. A gypsum wallboard was considered in all “C” configurations, in addition to mineral wool. Furthermore, a capillary-active polyurethane foam insulation system was used for comparison purposes.
The wall assemblies considered in each simulation are reported in Table 1, while a summary of the material properties is given in Table 2. All configurations were designed with a thickness of d = 106 cm in order to compare different solutions with the same thickness. A 10 mm thick gypsum board layer was considered for the inner side of the counter wall, while a finishing coat of d = 3 mm was assumed above the thermal plaster configurations. In addition, the effect of a vapor retarder (d < 1 mm) was also investigated for the counter wall configurations to investigate whether, in the case of the internal insulation of a historic masonry building, such a membrane could introduce any advantages for the reduction of moisture condensation in the wall layers. The different plasters were studied considering two different finishing coats, that is, a mineral finishing coating that has a high vapor permeability (water vapor diffusion resistance factor µ = 4), and a Silicon Resin Finishing with a low vapor permeability (µ = 74).
In order to evaluate the influence of the climate conditions on the wall behavior, two different climates were considered—those of Turin and Monfero, the latter of which is where the considered building is actually located; in this way, it was possible to compare different climatic conditions, including the amounts of rain and wind. Monfero is located in the north-west of Spain (43°20′4″ N/8°3′21″ W) and is characterized by an oceanic climate with frequent rain and strong winds. Moreover, oceanic climates are characterized by a more contained thermal excursion than the Mediterranean climate, as there are many more rainfall events during the summer. Turin (45°03′00″ N/7°40′00″ W) has a Mediterranean climate, with cold and damp winters and hot summers; the incidence of wind is much lower than that of Monfero. Moreover, Monfero is exposed more to driving rain, which is of great importance for the hygrothermal performance and the risk of damage to stone constructions. The annual rainfall in Monfero is about 1119 mm, while in Turin it is about 900 mm, and there are about 130 days with driving rain in Monfero, while there are about 80 in Turin.
The climate file used for the Monfero simulations was generated by the software from modified data of the “Estaciòn Meteorologica de A Coruna Alvaedro Aeropuerto year 2005”, which is an airport weather station ~30 km far from the actual location; meanwhile, data from the WUFI database (year 2004) was used for the Turin climate (Figure 3).

2.3. Analysis at the Component Level

The heat and moisture transfer was calculated using the WUFI® Pro v6.0 simulation tool [26], which is a 1D hygrothermal heat and moisture simulation software program that was developed by Fraunhofer IBP, Holzkirken, Germany [27]. The software allows coupled transient heat and moisture transfer phenomena in building components to be simulated by simultaneously solving the heat and moisture transport equations using the Finite Volume Method.
Wufi Pro simulations calculate heat transport through thermal conduction, enthalpy flows (through moisture movement with the phase change), short-wave solar radiation, and night-time long-wave radiation cooling. The vapor transport mechanisms included in the WUFI software are: vapor diffusion and solution diffusion, while the transport of convective vapor by airflows is again neglected. Moreover, the liquid transport mechanisms considered are: capillary conduction and surface diffusion.
The simulated wall was selected with a north orientation; it was located on the first floor (building height < 10 m), and thus it was not necessary to take into account rising damp phenomena. The numerical models were set up with increasing accuracy and adaptive convergence through a grid spacing that had been set to “fine”. The materials and outdoor climate considered for the simulation were set as previously indicated. The indoor climate was evaluated according to EN 15026/WTA 6-2, and the interior relative humidity was set at ‘medium moisture load’ for all the simulations. The calculations were carried out with an hourly time step and over a five-year period (moisture equilibrium was considered to have been reached in the wall for such a time step) and only the results of the last year were used for the analysis. The interior surface heat transfer coefficient was set at 0.13 (m2K/W), in conformity with EN ISO 6946:2017. The exterior surface heat transfer coefficient was set as being “WUFI default wind-dependent” as detailed in Equation (1).
h e = α c + α r + f w i n d · v w i n d
where:
αc is the convective heat transfer coefficient for windless conditions (4.5 [W/m2K]); αr is the radiative component of the heat transfer coefficient (6.5 [W/m2K]); fwind is the wind coefficient (1.6 [Ws/m3K] for windward conditions and 0.33 [Ws/m3K] for leeward condition); vwind is the wind velocity [m/s].
For the external surface, no coating was considered, and short-wave radiation absorptivity was set at 0.4 (medium color). Moreover, ground short-wave reflectivity was defined as 0.26, assuming green grass as the surrounding ground. The Adhering Fraction of Rain was set at 0.7, according to the inclination of the component.

2.4. Analysis at the Building Level

The recent UNI EN 16883 standard [16] states that maintaining the desired level of indoor environmental quality and user comfort should be the primary objective of most buildings. A poor indoor environment may be the reason why people attempt to improve the energy performance of a building. Thus, following extensive hygrothermal simulations at the building component level, the energy simulations were extended to the building level in order to investigate the effects of the retrofitting process on the indoor environment.
In this section, the same design alternatives described in Section 2.2 are analyzed. However, the configuration with a vapor barrier has not been taken into account because it demonstrated a low level of performance in the former analyses. The aims of the analysis at the building scale were:
  • To investigate the summer thermal performance of the retrofitted case study, considering the indoor comfort conditions, but without the presence of cooling systems (free-running);
  • To analyze the heating and cooling energy demand for the different solutions during the winter and summer seasons.
WUFI Plus software was used for both the energy demand and the internal thermal comfort assessments. WUFI Plus software is a tool for dynamic building simulations based on user-specified climate and on user-defined ventilation, HVAC and internal loads, and it allows a detailed and comprehensive assessment of the hygrothermal behavior and of the thermal interaction between the envelope and enclosed space to be made. The hygrothermal behavior of the building envelope affects the overall performance of a building to a great extent, since moisture-related effects can lead to a higher energy use, as demonstrated in [28].
The analyzed building was, as previously mentioned, the Monastery of Santa Maria de Monfero in Galicia, Spain, with reference to a project for its conversion into a spa hotel. The examined indoor environment was thus a standard hotel room, as designed in the original project (Figure 4).
The room model has two walls exposed to the external environment, one facing north and one east, while the other walls (partitions) and the floor were considered adiabatic. The external walls, without internal insulation, were assumed to have a thermal transmittance of 1.35 W/m2K, while a U-value of 0.26 W/m2K was assumed for the green roof. Data concerning the windows and their general dimensions are summarized in Table 3.
The initial temperature and relative humidity were set at 20 °C and 70% throughout the construction, respectively. The thermal resistance of the interior was set at 0.13 m2K/W while the wind-dependent surface resistance coefficient was set for the external side (as described in Section 2.3). The internal loads were defined according to the value proposed in DIN 18599-100 for hotel room activities and in DIN 1946-2 for hotel bathrooms, according to the schedule reported in Figure 5.
Different input data were defined for the summer and the winter seasons concerning air infiltration. The infiltration rate for the summer conditions was 2 ach (air changes per hour) from 22:00 to 08:00 and 0.5 ach for the rest of the day; simulations were run with and without an ideal HVAC system for cooling and with a temperature set-point of 26 °C. The infiltration rate in the winter season was 0.3 ach (air changes per hour). No mechanical ventilation system was provided. An ideal HVAC system was considered for heating, with a set-point temperature of 20 °C. The operative temperatures were evaluated under summer conditions assuming a clothing insulation (clo) value equal to 0.25, which corresponds to a lightly-dressed person, and an air velocity of 0.1 m/s; three different activity levels (metallic rates (MET) of 0.8, 1 and 1.2) were analyzed.

3. Results

3.1. Results at the Component Level

The analysis at the component level was aimed at assessing the water content in the wall section and its impact on the actual thermal transmittance value.

3.1.1. Water Content in the Wall Section

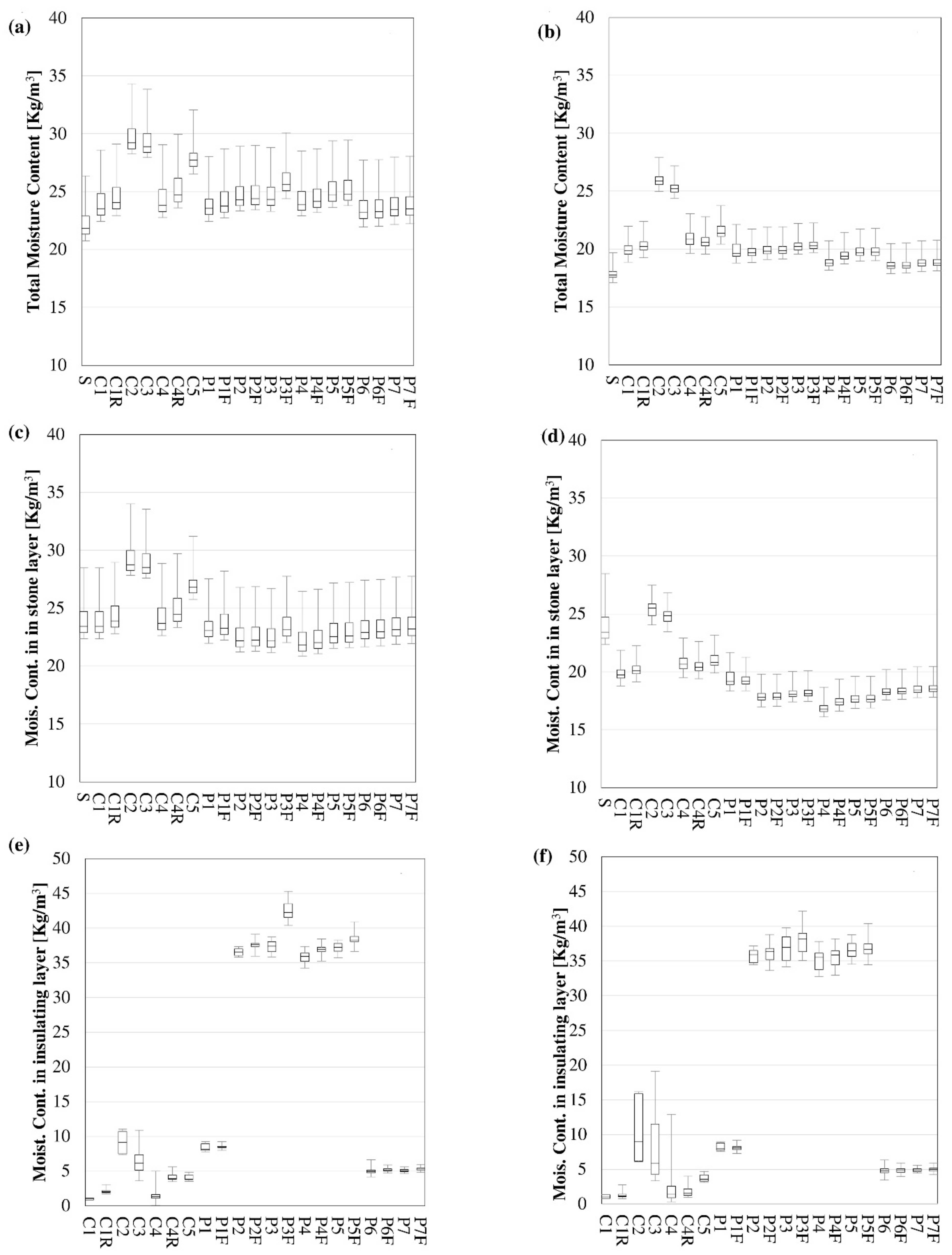
Figure 6e,f shows the moisture content, mc (kg/m3), of the insulating layer, the mineral wool and the thermal plaster, respectively, for counter wall configurations and thermal plaster. The mc in the whole element is reported in Figure 6a,b, while the boxplot graph in Figure 6c,d represents the mc in the stone layer. The results refer to the trend recorded in the last year of the simulation, since this is a year for which the data can be considered stabilized. All hourly water values as well as the maximum and minimum values are indicated in each box-plot for all design alternatives. The bottom and top of the box represent the first and the third quartiles, and the band inside the box is the median of the data. It appears, from the analysis, that the moisture content is higher for the wall assemblies calculated in Monfero; this evidence confirms the importance of using accurate climatic data (in particular wind and rain) to appreciate the influence of weather factors on mc. In fact, the Monfero results generally reach higher moisture content values than Turin. Furthermore, the numerical simulation clearly shows that by focusing on the insulating layer, the thermal plaster configurations, especially P2, P3, P4 and P5, show mc levels that are more than double those of the counter wall configuration, and this is due to the different moisture storage capabilities. The data concerning the thermo-hygrometric behavior of the various solutions allow a further comment on the use of vapor retarders to be made. The data show, for both configuration C1 and C4, that the addition of a vapor retarder (C1R or C4R) is not effective and should be avoided; the use of membranes with very low vapor permeability were found to increase the wall moisture content, especially in the Monfero location where a larger amount of driving rain reaches the outdoor surface. In this case, the membrane did not allow moisture evaporation from the inside.
Additional considerations concern the choice of the finishing coat that should be applied to the plaster. The results, for almost all the settings, show that the configuration designed with a Silicon Resin Finishing (µ = 74) results in a slightly higher moisture content than the ones with a higher vapor permeability (µ = 4).

3.1.2. Actual Thermal Transmittance Assessment

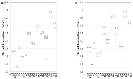
The data collected in the previous Section show that environmental factors, such as rain and wind, can affect the performance of the insulation layer, even when it is placed on the inner side. Through prevision and numerical simulations, it was possible to calculate the level of the water content reached in the insulating layer, and to what extent this moisture content affected the thermal transmittance of the wall. The variation in the thermal transmittance during the winter period is shown in Figure 7a,b for Monfero and Turin, respectively. The plots compare the Udry value (indicated with X) with the Ueff one; the latter value was calculated considering the indoor/outdoor temperatures and the heat flux crossing the wall section. The importance of knowledge on the material properties (moisture-dependent thermal conductivity) should be pointed out, since the Ueff value is influenced to a great extent by the actual moisture content, mc, in the insulating materials.
The results show a difference between the value of Udry (thermal transmittance) calculated according to EN ISO 6946 [29] and the Ueff, max value obtained through the average method (EN 9869) from hourly data exported from the software. As the plot graph shows, Ueff > Udry due to the presence of moisture in the configurations. The phenomenon has a greater impact on the thermal plaster configurations than on the counter wall; this depends on the higher moisture storage capabilities of the plaster. This analysis shows that the installation of this material would have a different performance from that estimated according to EN ISO 6946. Moisture accumulation in the wall occurs for two primary reasons: a reduced permeability of an insulation limits the drying potential in the internal direction and the insulation layer lowers the temperature of the wall, thereby resulting in a reduced drying capacity and an increased probability of moisture condensing within the wall. It should be pointed out that although a dry counter wall (C) solution on average shows a better insulating performance than thermal insulating plasters, the 1D hygrothermal analysis did not take into account the effect of the thermal bridges of the window frame system. Therefore, under real conditions, it is expected that the insulation performance of a counter wall would partially be reduced, thus making the U-value results closer for the two analyzed solutions.

3.2. Results at the Building Level

An accurate energy numerical simulation constitutes a crucial starting point for optimized interventions and detailed evaluations of internal comfort and the energy demand. The results of the annual dynamic thermal simulation are presented in the following sections.

3.2.1. Indoor Temperature and Comfort Conditions

The indoor temperature profiles of the hottest day of the year in Monfero (21 July) and in Turin (2 August), respectively, are presented in Figure 8. The results confirm that the temperature from 6:00 a.m. to 6:00 p.m. always remains within the comfort zone for the simulation in Monfero, even on the hottest day of the year, for configurations P3, P6 and P7.
An analytical determination and interpretation of the thermal comfort was carried out using the predicted mean vote (PMV) index, according to UNI EN ISO 7730, considering the four categories of building established in UNI EN ISO 15251, which defines the quality level of the expected internal comfort of such buildings (Table 4).
The summer period considered for the analysis starts from 1 June and ends on 30 September. The operative temperature was analyzed considering three different activity levels. Analyzing the operative temperature for Monfero, as reported in Figure 9, it resulted that plaster solutions achieve class I (high comfort level) and class II (normal comfort level), corresponding to 0 < PMV < 0.2 and 0.2 < PMV < 0.5, respectively, for most of the hours of the summer period. Moreover, classes III and IV are only reached for a limited number of hours, and configurations P3, P6 and P7 do not achieve the IV class, which means that acceptable levels of temperature for the occupants’ comfort can be achieved by adopting these plaster-based solutions during the summer, thereby avoiding the need to install a cooling system. On the other hand, the counter walls achieve comfort classes III and IV for a longer period, especially for configuration C2—that is, rock wool with an additional 1 cm Vacuum Insulated Panel. It clearly emerges, from analyzing the operative temperature for Turin (Figure 9), that none of the analyzed solutions achieve the best comfort conditions, and a cooling system is always necessary. Thermal plasters thus work better than counter walls in this location. Solution P4, that is, cork based thermal plaster, is the one that performs the best, and comfort temperatures are achieved for almost 200 h of the summer period without the need for any additional control system. When counter wall solutions are adopted, for almost 500 h per year, the VI class of PMV is obtained, and this means that the internal occupants are exposed to uncomfortable conditions for several hours. This result refers to a clo of 0.25, an air velocity of 0.1 m/s and a metabolic activity of 58 W/m2, which corresponds to 1 met. The same conclusion can be drawn when considering metabolic activities of 0.8 and 1.2 met. When a low metabolic activity is considered, it results that the configuration realized with thermal plaster in Monfero always achieves lower temperatures than 29.33 °C; thus, no cooling system is necessary. On the other hand, there are fewer hours in comfort when looking at a higher metabolic activity of 1.2 met, but configurations P4, P7 and P8 never reach higher temperatures than 27.55 °C and remain in the I and II PMV classes.

3.2.2. Energy Analysis

In order to identify the most appropriate wall retrofitting solution, depending on the location, the analysis needs to be extended to the energy demand. This analysis was carried out by first estimating the heating need (Qh) and the cooling need (Qc) separately for the different solutions, and then assessing the global energy demand. The energy demands for Monfero (a) and Turin (b) are summarized for the different retrofitting configurations in Figure 10. Analyzing the results of Turin, it can be observed that the walls without any retrofitting interventions have shown a very high heating demand of 157.45 kWh/m2. The configuration that adopts the counter wall in general has a lower heating demand than the configuration based on thermal plasters. The best solution of all the counter walls is the one with VIP C2 (69 kWh/m2). The thermal plasters result in a higher demand, ranging from 87 to 120 kWh/m2. The most performant is the thermal plaster with aerogel (P5), with 87.65 kWh/m2, while the least is the thermal plaster with PCMs (P6), which reaches 122.33 kWh/m2. When the energy demand obtained for Monfero is analyzed, the results are lower than in Turin, due to the warmer winter climate. However, the trend of the different solutions is the same. The wall without insulation achieves 96.25 kWh/m2, the counter wall with VIP (C2) achieves 27.13 kWh/m2 and the best solution of all the thermal plasters is the one with aerogel (P5), with a heating demand of 43.82 kWh/m2. When considering the results for Monfero obtained in the summer season, the wall without any intervention certainly works better than the other solutions due to the high thermal inertia. Interesting results are obtained for the thermal plasters, which show the cooling energy demand at nearly zero. Solution P6 (thermal plaster mixed with PCMs) shows the lowest cooling demand (~1 kWh/m2), but solution P3 (thermal plaster mixed with cork) also shows a very low cooling demand (~1.4 kWh/m2). The configurations based on the counter wall always show a higher cooling demand than the thermal plasters. Nevertheless, the difference in the cooling demand (Qc) between plasters and counter walls is negligible in the Turin climate.
As a result of space and integration problems, the installation of a cooling system in a historical building represents a relevant issue that has to be evaluated carefully. In some cases, designers might avoid HVAC installations as they can compromise the aesthetics and morphology of a building. The results for Monfero show that counter walls have a slightly lower global energy demand (Qh + Qc) than thermal plasters, but it is also clear that the energy demand for cooling is nearly zero when thermal plaster is used. This result opens the way to the possibility of avoiding the need to resort to the installation of cooling systems. The situation is quite different for Turin, since a cooling system is necessary, and it therefore appears preferable to intervene with counter walls and the solution based on mineral wool + VIP in particular, as it allows greater savings to be obtained in the winter season.

4. Conclusions

This work investigates different internal wall insulation strategies for historic buildings. The Monastery of Santa Maria de Monfero in Galicia (Spain) has been adopted as a case study to compare the effectiveness and the hygrothermal behavior of different technological solutions based on: (i) insulating plaster layers (P) and (ii) dry counter wall systems (C).
The study has led to the drawing up of a methodological approach that could be applied to design the retrofitting of the interior walls of historic buildings as it can be used to assess the impact of different alternatives on indoor thermal comfort, the energy performance and hygrothermal compatibility through heat and moisture studies and through a dynamic energy simulation of the whole building.
The results obtained from the hygrothermal simulations at the wall level show that both dry counter wall systems (C) and the application of thermal insulating plasters (P) have a great impact on the reduction of wall heat losses, even when applied in a thin layer (a 6 cm thick insulation layer was considered in this work).
It was possible to observe, by comparing the two internal insulation intervention strategies, that thermal plasters always present a higher level of moisture content in the winter period, which implies a higher thermal transmittance and thus a higher heating energy demand. Nevertheless, it is worth mentioning that, under real conditions, the performance of dry counter wall systems may be reduced by the effect of the thermal bridges of the window frames, which could mitigate the difference in the U-value.
As far as the summer thermal behavior is concerned, all retrofitting solutions have determined a deterioration of the indoor summer conditions (higher peak temperatures and cooling needs). Indeed, the inner wall side insulation determined a neutralization of the thermal inertia of the solid stone wall and a mitigation of its interaction with the indoor thermal environment.
However, the application of insulating plasters (P) has revealed a better summer performance than dry counter wall systems (C) and shows lower peak temperatures and higher comfort conditions when the building operates under free-running conditions, as well as lower energy demands for cooling when an air-conditioning system is used. An important point should be underlined considering the need for the installation of a cooling system. Two plaster solutions (P3 with cork and P6 with PCM) have demonstrated that a cooling system installation could even be avoided for the Monfero climate (where no hours were above comfort category II), while a very limited number of hours were above comfort category II for the other plaster solutions, with the exception of P5 (aerogel-based plaster). This is of particular interest for all the cases in which the installation of a cooling system presents technical/aesthetical constraints, i.e., a limited space for ducting and for the installation of an external unit.
In conclusion, the study points out the importance of performing hygrothermal simulations on a case-by-case basis as they represent an essential step for the design of the most appropriate wall retrofitting strategy. Moreover, this type of simulation should always be followed by a thermal simulation of the whole building in order to fully understand the impact of the retrofitting intervention on the indoor comfort conditions.

Author Contributions

Conceptualization, S.F., V.S., I.M.L. and D.L.; methodology, S.F., V.S., I.M.L. and D.L.; formal analysis, I.M.L., D.L., E.F.; investigation, I.M.L., D.L. and E.F.; data curation, I.M.L., D.L. and S.F.; writing—original draft preparation, I.M.L. and D.L.; writing—review and editing, S.F., V.S. and E.F.; visualization, I.M.L., D.L. and S.F.; supervision, S.F. and V.S. All authors have read and agreed to the published version of the manuscript.

Funding

This research received no external funding.

Acknowledgments

The authors would like to express their heartfelt thanks to Carla Bartolozzi, Enrique M. Blanco Lorenzo and Patricia Sabin Diaz. The authors also wish to acknowledge Franhoufer IBP for having provided the Wufi Pro and Wufi Plus software licenses free of charge for the M.sc Thesis of Ivana Mattea Lisitano and Deborah Laggiard.

Conflicts of Interest

The authors declare they have no conflict of interest.

References

  1. Tsemekidi, T.; Sofia, B.; Paolo Nicola, L.; Castellazzi, L.C.; Serrenho, R.; Tiago, M.E.; Paolo, Z. Energy Consumption and Energy Efficiency Trends in the EU- 28 or the Period 2000–2016; Publications Office of the Europen Union: Luxembourg, 2018. [Google Scholar] [CrossRef]
  2. Marina, E.; Bogdan, A.; Chantal, D.; Joana, M.; Ingeborg, N.; Oliver, R. Europe’s Buildings under the Microscope. A Country-by-Bountri Riview of the Energy Performance of Buildings; Buildings Performance Institute Europe (BPIE): Bruxelles, Belgium, 2011. [Google Scholar]
  3. Artola, I.; Rademaekers, K.; Rob, W.; Jessica, Y. Boosting Buildings Renovation: What Potential and Value for Europe? European Parliament: Brussels, Belgium, 2016. [Google Scholar]
  4. United Nations. United Nations Framework Convention on Climate Change; Paris Agreement: Paris, France, 2015. [Google Scholar]
  5. Galliano, R.; Wakili, K.G.; Daniotti, B. Evaluation of Three Different Retrofit Solutions Applied to the Internal Surface of a Protected Cavity Wall. In Proceedings of the 6th International Building Physics Conference IBPC, Torino, Italy, 14–17 June 2015. [Google Scholar]
  6. Patrick, C. Climate Change: Implications for Buildings; Buildings Performance Institute Europe (BPIE): Brussels, Belgium, 2014. [Google Scholar]
  7. Karagiozis, A.; Cao, G.H.S. Wind-driven rain distribution on two buildings. J. Wind Eng. Ind. Aerodyn. 1997, 67–68, 559–572. [Google Scholar] [CrossRef]
  8. Rhee-Duverne, S.; Baker, E.P. Research into the Thermal Performance of Traditional Brick Wall; Research Report; English Heritage: London, UK, 2013. [Google Scholar]
  9. Amanda, W. Energy retrofit in historic and traditional buildings: A review of problems and methods. Renew. Sustain. Energy Rev. 2017, 77, 748–759. [Google Scholar]
  10. Hall, M.R.; Casey, S.P.; Loveday, D.L.; Gillott, M. Analysis of UK domestic retrofit scenarios based on the E. ON Retrofit Research House using energetic hygrothermics simulation- Energy efficiency, indoor air quality, occupant comfort, and mould growth potential. Build. Environ. 2012, 70, 48–59. [Google Scholar] [CrossRef]
  11. Negro, E.; Cardinale, T.; Cardinale, N.; Rospi, G. Italian guidelines for energy performance of cultural heritage and historical buildings: The case study of the Sassi of Matera. Energy Procedia 2016, 97, 7–14. [Google Scholar] [CrossRef][Green Version]
  12. Mazzarella, L. Energy retrofit of historical and existing buildings. The legislative and regulatory point of view. Energy Build. 2015, 95, 23–31. [Google Scholar] [CrossRef]
  13. EPBD Recast. Directive 2018/844/UE of the European Parliament and of Council, 30 May 2018 on the Energy Performance of Buildings (Recast); Official Journal of the European Union: Luxembourg, 2018. [Google Scholar]
  14. The Operational Guidelines for Energy Efficiency Improvement of the Cultural Heritage; Ministery of Cultural Heritage and Activities and Tourism (Italy): Rome, Italy, 2015.
  15. Legislative Decree n. 42 of 22/01/2004—Code of Cultural Heritage and Landscape under the Article 10 of Law n. 137 of 6/06/2002; Gazzetta Ufficiale; Italian Parliament: Rome, Italy, 2004.
  16. UNI EN 16883. Conservation of Cultural Heritage—Guidelines for Improving the Energy Performance of Historical Buildings; Ente Nazionale Italiano di Unificazione: Milan, Italy, 2017. [Google Scholar]
  17. Stahl, T.; Ghazi Wakili, K.; Hartmeier, S.; Franov, E.; Niederberger, W.; Zimmermann, M. Temperature and moisture evolution beneath an aerogel based rendering applied to a historic building. Build. Eng. 2017, 12, 140–146. [Google Scholar] [CrossRef]
  18. Fantucci, S.; Fenoglio, E.; Isaia, F.; Serra, V.; Perino, M.; Dutto, M.; Marino, V. Development of Aerogel Based Internal Thermal Plaster for the Energy Retrofit of Existing Buildings: First Results. In Proceedings of the 4th International Conference on Building Energy Environment, Melbourne, Australia, 5–9 February 2018. [Google Scholar]
  19. Cascione, V.; Marra, E.; Zirkelbach, D.; Liuzzi, S.; Stefanizzi, P. Hygrothermal Analysis of Technical Solutions for Insulating the Opaque Building Envelope. In Proceedings of the 72nd Conference of the Italian Thermal Machines Engineering Association, ATI2017, Lecce, Italy, 6–8 September 2017. [Google Scholar]
  20. Liuzzi, S.; Rubino, C.; Stefanizzi, P. Use of Clay and Olive Pruning Waste for Building Materials with High Hygrothermal Performances. In Proceedings of the 72nd Conference of the Italian Thermal Machines Engineering Association, ATI2017, Lecce, Italy, 6–8 September 2017. [Google Scholar]
  21. Palumbo, M.; Lacasta, A.M.; Holcroft, N.; Shea, A.; Walker, P. Determination of hygrothermal parameters of experimental and commercial bio-based insulation materials. Constr. Build. Mater. 2016, 124, 269–275. [Google Scholar] [CrossRef]
  22. Finken, G.R.; Bjarløv, S.P.; Peuhkuri, R.H. Effect of facade impregnation on feasibility of capillary active thermal internal insulation for a historic dormitory—A hygrothermal simulation study. Constr. Build. Mater. 2015, 113, 202–214. [Google Scholar] [CrossRef]
  23. D’Agostino, D. Moisture dynamics in an historical masonry structure: The Cathedral of Lecce (South Italy). Build. Environ. 2012, 63, 122–133. [Google Scholar] [CrossRef]
  24. Laggiard, D.; Lisitano, I.M. Il Retrofit Energetico in Edilizia Storica, il Caso Studio: Il Monasterio de Santa María de Monfero, in Galizia, Spagna; Serra, V., Bartolozzi, C., Fantucci, S., Lorenzo, E.M.B., Patricia, S.D., di Torino, P., Eds.; Corso di Laurea Magistrale in Architettura Per Il Progetto Sostenibile: Turin, Italy, 2017. [Google Scholar]
  25. Corrado, C.; Tedesco, S.; Thiebat, F.; Fantucci, S.; Serra, V.; Dutto, M. An integrated design approach to the development of a vegetal-based thermal plaster for the enegy retrofit of buildings. Energy Build. 2016, 124, 46–59. [Google Scholar]
  26. Zirkelbach, D.; Schimidt, T.; Kehrer, M.; Kunzel, H.M. Wufi Pro Manual; Fraunhofer IBP: Stuttgart, Germany, 2021. [Google Scholar]
  27. Kunzel, H.M. Simultaneous Heat and Moisture Transport in Building Components, One and Two-Dimensional Calculation Using Simple Praremeters; Fraunhofer IRB Verlag Suttgart: Stuttgard, Germany, 1995; ISBN 3-8167-4103-7. [Google Scholar]
  28. Antretter, F.; Sauer, F.; Schopfer, T.; Holm, A. Validation of a Hygrothermal Whole Building Simulation Software. In Proceedings of the Buildings Simulation 2011, 12th Conference of International Buildings Performance Simulation Association, Sydney, Australia, 14–16 November 2011. [Google Scholar]
  29. EN ISO 6946:2017. Building Components and Building Elements—Thermal Resistance and Thermal Transmittance—Calculation Method; European Committee for Standardization: Brussels, Belgium, 2017. [Google Scholar]
Figure 1. Pictures of the Monastero de Santa Maria de Monfero (source: authors archive).
Figure 1. Pictures of the Monastero de Santa Maria de Monfero (source: authors archive).
Applsci 11 07944 g001
Figure 2. Schematic representation of the two considered configurations (not in scale).
Figure 2. Schematic representation of the two considered configurations (not in scale).
Applsci 11 07944 g002
Figure 3. Climate data (temperature and relative humidity) of Monfero (a) and Turin (b).
Figure 3. Climate data (temperature and relative humidity) of Monfero (a) and Turin (b).
Applsci 11 07944 g003
Figure 4. Axonometric view of the room.
Figure 4. Axonometric view of the room.
Applsci 11 07944 g004
Figure 5. Internal load profiles (a) Heat gains convective; (b) Heat gains radiant; (c) Moisture source; (d) CO2 source.
Figure 5. Internal load profiles (a) Heat gains convective; (b) Heat gains radiant; (c) Moisture source; (d) CO2 source.
Applsci 11 07944 g005
Figure 6. Box plots: Moisture Content of the overall configurations (a) in Monfero and (b) in Turin; Moisture Content of the stone layer (c) in Monfero and in (d) Turin; Moisture content of the insulating layer in Monfero (e) and Turin (f).
Figure 6. Box plots: Moisture Content of the overall configurations (a) in Monfero and (b) in Turin; Moisture Content of the stone layer (c) in Monfero and in (d) Turin; Moisture content of the insulating layer in Monfero (e) and Turin (f).
Applsci 11 07944 g006
Figure 7. Box plots: Thermal transmittance values of the wall, U [W/m2K], in the winter period (October–April) in Monfero (a) and Turin (b).
Figure 7. Box plots: Thermal transmittance values of the wall, U [W/m2K], in the winter period (October–April) in Monfero (a) and Turin (b).
Applsci 11 07944 g007
Figure 8. Interior temperature achieved on the hottest day of the year in Monfero (a) and Turin (b).
Figure 8. Interior temperature achieved on the hottest day of the year in Monfero (a) and Turin (b).
Applsci 11 07944 g008
Figure 9. Cumulative hours per year for certain thermal comfort categories (PMV): 0.8 met, metabolic activity in Monfero (a) and Turin (b); 1 met in Monfero (c) and Turin (d); 1.2 met in Monfero (e) and Turin (f).
Figure 9. Cumulative hours per year for certain thermal comfort categories (PMV): 0.8 met, metabolic activity in Monfero (a) and Turin (b); 1 met in Monfero (c) and Turin (d); 1.2 met in Monfero (e) and Turin (f).
Applsci 11 07944 g009
Figure 10. Annual thermal energy demand for heating (Qh) and cooling (Qc) in Monfero (a) and Turin (b).
Figure 10. Annual thermal energy demand for heating (Qh) and cooling (Qc) in Monfero (a) and Turin (b).
Applsci 11 07944 g010
Table 1. Thermal plaster-based assemblies (P) and Counter wall-based assemblies (C) from the outside to the inside.
Table 1. Thermal plaster-based assemblies (P) and Counter wall-based assemblies (C) from the outside to the inside.
NameLayers
P1G. Stone (100 cm); EPS Plaster (5.7 cm); Mineral Finishing Coat (0.3 cm)
P1FG. Stone (100 cm); EPS Plaster (5.7 cm); Silicon Resin Finishing Coat (0.3 cm)
P2G. Stone (100 cm); Perlite Plaster (5.7 cm); Mineral Finishing Coat (0.3 cm)
P2FG. Stone (100 cm); Perlite Plaster 0.16 (5.7 cm); Silicon Resin Finishing Coat (0.3 cm)
P3G. Stone (100 cm); Cork Plaster (5.7 cm); Mineral Finishing Coat (0.3 cm)
P3FG. Stone (100 cm); Cork Plaster (5.7 cm); Silicon Resin Finishing Coat (0.3 cm)
P4G. Stone (100 cm); Vegetal-based Plaster (5.7 cm); Mineral Finishing Coat (0.3 cm)
P4FG. Stone (100 cm); Vegetal-based Plaster (5.7 cm); Silicon Resin Finishing Coat (0.3 cm)
P5G. Stone (100 cm); Aerogel Plaster (5.7 cm); Mineral Finishing Coat (0.3 cm)
P5FG. Stone (100 cm); Aerogel Plaster (5.7 cm); Silicon Resin Finishing Coat (0.3 cm)
P6G. Stone (100 cm); PCM Plaster 23° (5.7 cm); Mineral Finishing Coat (0.3 cm)
P6FG. Stone (100cm); PCM Plaster 23° (5.7 cm); Silicon Resin Finishing Coat (0.3 cm)
P7G. Stone (100 cm); PCM Plaster 26° (5.7 cm); Mineral Finishing Coat (0.3 cm)
P7FG. Stone (100 cm); PCM Plaster 26° (5.7 cm); Silicon Resin Finishing Coat (0.3 cm)
C1G. Stone (100 cm); Mineral Wool (5 cm); Interior Gypsum Board (1 cm)
C1RG. Stone (100 cm); Mineral Wool (5 cm); vapor retarder; Interior Gypsum Board (1 cm)
C2G. Stone (100 cm); Mineral Wool (4 cm); VIP (1 cm); Interior Gypsum Board (1 cm)
C3G. Stone (100 cm); Mineral Wool (4 cm); shape-stabilized PCM board (1 cm); I.G.B (1 cm)
C4G. Stone (100 cm); Mineral Wool (4 cm); Aerogel blanket (1 cm); I.G.B (1 cm)
C4RG. Stone (100 cm); Mineral Wool (4 cm); Aerogel blanket (1 cm); vapor retarder I.G.B (1 cm)
C5G. Stone (100 cm); Fic; Capillary-active, PUR rigid foam panel (5 cm); Top
Table 2. Material properties.
Table 2. Material properties.
CategoryMaterialDensity ρ [kg/m3]Thermal
Conductivity λ10, dry [W/m2K]
Specific Heat c [J/kgK]Porosity [m3/m3]Vapor
Resistance Factor μ
[-]
Latent Heat
Capacity [J/kg]
Insulating plasterAerogel Plaster2200.02810000.875-
EPS Plaster2780.0858890.696.75-
Perlite Plaster1650.0598500.876.2-
Vegetal-based Plaster4000.0839750.876.2-
Cork Plaster5080.19880.796.3-
PCM Plaster9400.109-0.616.115,000
Insulating materialsMineral wool360.0368500.951.1-
Vacuum Panel (VIP)1940.0058500.0011,500,000-
Aerogel blanket1460.01610000.924.7-
Capillary-active PUR44.50.03114000.9869-
Other layersGypsum board7200.18910900.717-
Granite Stone29001.667000.9554-
Vapor retarder1302.323000.00110,000-
Mineral finishing coat14820.9548500.4417-
Silicon resin finishing coat14750.68910000.4474-
Table 3. Geometrical data and window features.
Table 3. Geometrical data and window features.
DimensionsU-Value
[W/m2K]
Gross width6.74 m-
Gross length5.72 m-
Net high2.7 m-
Height above ground5.6 m-
Net floor area25 m3-
Gross floor area38.55 m3-
Window (north)1 × 1 m21.9
Window 1 (east)1 × 1 m21.9
Window 2 (east)0.9 × 1.86 m21.53
Table 4. PMV Class and expected comfort for an air velocity of 0.1 m/s.
Table 4. PMV Class and expected comfort for an air velocity of 0.1 m/s.
PMVTemperature (C°) (0.8 Met)Temperature (C°) (1 Met)Temperature (C°) (1.2 Met)ClassExpectation of Comfort
0 < PMV < +0.229.33 < T < 29.6727.38 < T < 27.8326.19 < T < 26.73IHigh level
+0.2 < PMV < +0.529.67 < T < 30.1827.83 < T < 28.526.73 < T < 27.55IINormal level
+0.5 < PMV < +0.730.18 < T < 30.5228.5 < T < 28.9527.55 < T < 28.09IIIModerate level
PMV > +0.7T > 30.52T > 28.95T > 28.09IVVery low level
Publisher’s Note: MDPI stays neutral with regard to jurisdictional claims in published maps and institutional affiliations.

Share and Cite

MDPI and ACS Style

Lisitano, I.M.; Laggiard, D.; Fantucci, S.; Serra, V.; Fenoglio, E. Evaluating the Impact of Indoor Insulation on Historic Buildings: A Multilevel Approach Involving Heat and Moisture Simulations. Appl. Sci. 2021, 11, 7944. https://doi.org/10.3390/app11177944

AMA Style

Lisitano IM, Laggiard D, Fantucci S, Serra V, Fenoglio E. Evaluating the Impact of Indoor Insulation on Historic Buildings: A Multilevel Approach Involving Heat and Moisture Simulations. Applied Sciences. 2021; 11(17):7944. https://doi.org/10.3390/app11177944

Chicago/Turabian Style

Lisitano, Ivana Mattea, Deborah Laggiard, Stefano Fantucci, Valentina Serra, and Elisa Fenoglio. 2021. "Evaluating the Impact of Indoor Insulation on Historic Buildings: A Multilevel Approach Involving Heat and Moisture Simulations" Applied Sciences 11, no. 17: 7944. https://doi.org/10.3390/app11177944

APA Style

Lisitano, I. M., Laggiard, D., Fantucci, S., Serra, V., & Fenoglio, E. (2021). Evaluating the Impact of Indoor Insulation on Historic Buildings: A Multilevel Approach Involving Heat and Moisture Simulations. Applied Sciences, 11(17), 7944. https://doi.org/10.3390/app11177944

Note that from the first issue of 2016, this journal uses article numbers instead of page numbers. See further details here.

Article Metrics

Back to TopTop