Inhibition of Urease, Elastase, and β-Glucuronidase Enzymatic Activity by Applying Aqueous Extracts of Opuntia oligacantha C.F. Först Acid Fruits: In Vitro Essay under Simulated Digestive Conditions
Abstract
Featured Application
Abstract
1. Introduction
2. Materials and Methods
2.1. Plant Material
2.2. Preparation of the Extracts
2.3. Quantification of Total Phenols
2.4. Quantification of Flavonoids
2.5. Tannin Quantification
2.6. Determination of Betalains
2.7. Evaluation of the Percentage of Inhibition of the Enzyme Urease as an Indicator of Gastroprotective Effect
2.8. Evaluation of Percentage of Inhibition of the Elastase Enzyme as an Indicator of Anti-Inflammatory Effect
2.9. Evaluation of the Percentage of Inhibition of the Enzyme β-Glucuronidase as an Indicator of Hepatoprotective Effect
2.10. Gastrointestinal Simulation Test Evaluation
2.11. Statistical Analysis
3. Results
3.1. Bioactive Compounds
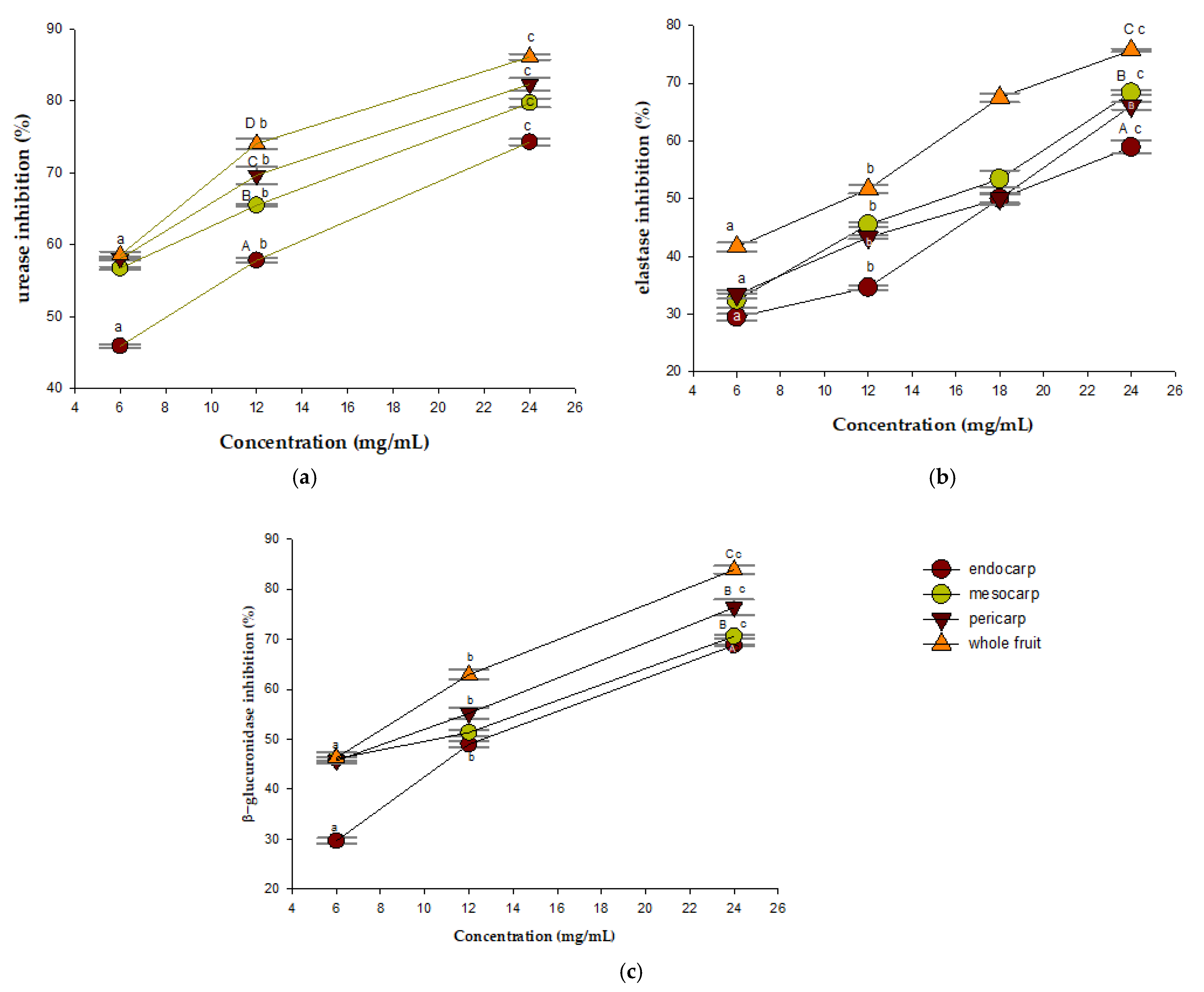
3.2. Biological Activities in In Vitro Tests with Aqueous Extract of Xoconostle (Opuntia oligacantha C.F. Först)
3.3. Bioactive Compounds and Biological Activities in Gastrointestinal Conditions In Vitro
4. Discussion
5. Conclusions
Author Contributions
Funding
Conflicts of Interest
References
- Hernández Cortez, C.; Aguilera Arreola, G.; Castro Escarpulli, G. Situación de las enfermedades gastrointestinales en México. Enferm. Infecc. Microbiol. 2011, 31, 137. [Google Scholar]
- Toledo, D.B.; Cárdenas, M.B.; Morgado, E.B.; Román, R.E.; Correa, I.I.; Cárdenas, B.A. Preclinical Evaluation of Hepatoprotective Activity of Ocimum basilicum L. and Allium sativum L. MediSur 2014, 12, 51–62. [Google Scholar]
- Biglar, M.; Soltani, K.; Nabati, F.; Bazl, R.; Mojab, F.; Amanlou, M. A preliminary investigation of the jack-bean urease inhibition by randomly selected traditionally used herbal medicine. Iran. J. Pharm. Res. IJPR 2012, 11, 831. [Google Scholar]
- Xiao, Z.-P.; Shi, D.-H.; Li, H.-Q.; Zhang, L.-N.; Xu, C.; Zhu, H.-L. Polyphenols based on isoflavones as inhibitors of Helicobacter pylori urease. Bioorg. Med. Chem. 2007, 15, 3703–3710. [Google Scholar] [CrossRef] [PubMed]
- Albuerne, Y.; Vicedo, Y.; Manzanares, D.; Céspedes, E.; Vicedo, A.; Andino, R.; Fabré, D. Determinación de actividad elastasa y tripsina en niños asmáticos. Rev. Cuba. Investig. Bioméd. 2000, 19, 168–171. [Google Scholar]
- Núñez-Naveira, L.; Montero-Martínez, C.; Ramos-Barbón, D. Oxidación, inflamación y modificaciones estructurales. Arch. Bronconeumol. 2007, 43, 18–29. [Google Scholar] [CrossRef]
- Blanco, O.; Lugones, Y.; Gil, D.F.; Faure, R.; González, Y. Elastasa de neutrófilos humana y surfactante pulmonar en el síndrome de distrés respiratorio agudo. Biotecnol. Apl. 2009, 26, 287–292. [Google Scholar]
- Bano, B.; Khan, K.M.; Fatima, B.; Taha, M.; Ismail, N.H.; Wadood, A.; Ghufran, M.; Perveen, S. Synthesis, in vitro β-glucuronidase inhibitory potential and molecular docking studies of quinolines. Eur. J. Med. Chem. 2017, 139, 849–864. [Google Scholar] [CrossRef]
- Palma-Ramos, A.; Moreno-Aparicio, A.M.; Castrillón-Rivera, L.E.; Castañeda-Sánchez, J.I.; Muñoz-Duarte, A.R.; Mendoza-Pérez, F.; Padilla-Desgarennes, C. Detección de la actividad enzimática de la β-glucuronidasa de polimorfonucleares neutrófilos en granos de actinomicetoma humano por Nocardia brasiliensis, in vitro. Dermatol. Rev. Mex. 2016, 60, 488–498. [Google Scholar]
- Karak, S.; Nag, G.; De, B. Metabolic profile and β-glucuronidase inhibitory property of three species of Swertia. Rev. Bras. Farmacogn. 2017, 27, 105–111. [Google Scholar] [CrossRef]
- González-Ponce, H.A.; Martínez-Saldaña, M.C.; Rincón-Sánchez, A.R.; Sumaya-Martínez, M.T.; Buist-Homan, M.; Faber, K.N.; Moshage, H.; Jaramillo-Juárez, F. Hepatoprotective effect of Opuntia robusta and Opuntia streptacantha fruits against acetaminophen-induced acute liver damage. Nutrients 2016, 8, 607. [Google Scholar] [CrossRef]
- Kang, J.-W.; Shin, J.-K.; Koh, E.-J.; Ryu, H.; Kim, H.J.; Lee, S.-M. Opuntia ficus-indica seed attenuates hepatic steatosis and promotes M2 macrophage polarization in high-fat diet–fed mice. Nutr. Res. 2016, 36, 369–379. [Google Scholar] [CrossRef] [PubMed]
- Dávalos, J.H.; Lomelí, M.G.; López, F.S.; Sahagún, A.R.; Del Río, J.A.M.; Medina, P.J.G.; Del-Toro-Sánchez, C.L. Screening fitoquímico y capacidad antiinflamatoria de hojas de Tithonia tubaeformis. Biotecnia 2013, 15, 53–60. [Google Scholar] [CrossRef]
- Estrada, H.A.; Gómez Ruiz, K.N.; González Medina, J.D. Actividad antiinflamatoria de productos naturales. Bol. Latinoam. Caribe Plantas Med. Aromát. 2011, 10, 182–217. [Google Scholar]
- Medina-Pérez, G.; Zaldívar-Ortega, A.K.; Cenobio-Galindo, A.d.J.; Afanador-Barajas, L.N.; Vieyra-Alberto, R.; Estefes-Duarte, J.A.; Campos-Montiel, R.G. Antidiabetic Activity of Cactus Acid Fruit Extracts: Simulated Intestinal Conditions of the Inhibitory Effects on α-amylase and α-glucosidase. Appl. Sci. 2019, 9, 4066. [Google Scholar] [CrossRef]
- Pérez-Soto, E.; Cenobio-Galindo, A.d.J.; Espino-Manzano, S.O.; Franco-Fernández, M.J.; Ludeña-Urquizo, F.E.; Jiménez-Alvarado, R.; Zepeda-Velázquez, A.P.; Campos-Montiel, R.G. The Addition of Microencapsulated or Nanoemulsified Bioactive Compounds Influences the Antioxidant and Antimicrobial Activities of a Fresh Cheese. Molecules 2021, 26, 2170. [Google Scholar] [CrossRef] [PubMed]
- Bouayed, J.; Hoffmann, L.; Bohn, T. Total phenolics, flavonoids, anthocyanins and antioxidant activity following simulated gastro-intestinal digestion and dialysis of apple varieties: Bioaccessibility and potential uptake. Food Chem. 2011, 128, 14–21. [Google Scholar] [CrossRef]
- Pérez-Pérez, E.; Ettiene, G.; Marín, M.; Casassa-Padron, A.; Silva, N.; Raga, J.; González, C.; Sandoval, L.; Medina, D. Determination of total phenols and flavonoids in guava leaves (Psidium guajava L.). Rev. Fac. Agron. Univ. Zulia 2014, 31, 60–77. [Google Scholar]
- Cenobio-Galindo, A.d.J.; Pimentel-González, D.J.; Del Razo-Rodríguez, O.E.; Medina-Pérez, G.; Carrillo-Inungaray, M.L.; Reyes-Munguía, A.; Campos-Montiel, R.G. Antioxidant and antibacterial activities of a starch film with bioextracts microencapsulated from cactus fruits (Opuntia oligacantha). Food Sci. Biotechnol. 2019, 28, 1553–1561. [Google Scholar] [CrossRef]
- Singleton, V.L.; Orthofer, R.; Lamuela-Raventós, R.M. Analysis of total phenols and other oxidation substrates and antioxidants by means of folin-ciocalteu reagent. Methods Enzymol. 1999, 299, 152–178. [Google Scholar]
- Espinosa-Muñoz, V.; RoldáN-cruz, C.A.; HernáNdez-Fuentes, A.D.; Quintero-Lira, A.; Almaraz-Buendía, I.; Campos-Montiel, R.G. Ultrasonic-Assisted Extraction of Phenols, Flavonoids, and Biocompounds with Inhibitory Effect Against Salmonella Typhimurium and Staphylococcus Aureus from Cactus Pear. J. Food Process Eng. 2017, 40, e12358. [Google Scholar] [CrossRef]
- Price, M.L.; Butler, L.G. Rapid Visual Estimation and Spectrophotometric Determination of Tannin Content of Sorghum Grain. J. Agric. Food Chem. 1977, 26, 1266–1273. [Google Scholar] [CrossRef]
- Lee, K.; Kim, J.; Cho, J.; Choi, J. Inhibitory effects of 150 plant extracts on elastase activity, and their anti-inflammatory effects. Int. J. Cosmet. Sci. 1999, 21, 71–82. [Google Scholar] [CrossRef]
- Kim, S.-J.; Sancheti, S.A.; Sancheti, S.S.; Um, B.-H.; Yu, S.-M.; Seo, S.-Y. Effect of 1, 2, 3, 4, 6-penta-O-galloyl-beta-D-glucose on elastase and hyaluronidase activities and its type II collagen expression. Acta Pol. Pharm. 2010, 67, 145–150. [Google Scholar] [PubMed]
- Rufián-Henares, J.A.; Morales, F.J. Functional properties of melanoidins: In vitro antioxidant, antimicrobial and antihypertensive activities. Food Res. Int. 2007, 40, 995–1002. [Google Scholar] [CrossRef]
- Morales, P.; Barros, L.; Ramírez-Moreno, E.; Santos-Buelga, C.; Ferreira, I.C.F.R. Xoconostle fruit (Opuntia matudae Scheinvar cv. Rosa) by-products as potential functional ingredients. Food Chem. 2015, 185, 289–297. [Google Scholar] [CrossRef] [PubMed]
- Monroy-Gutiérrez, T.; Martínez-Damián, M.; Barrientos-Priego, A.; Gallegos-Vázquez, C.; Cruz-Alvarez, O.; Vargas-Madríz, H. Compuestos bioactivos y capacidad antioxidante en frutos de xocotuna, tuna y xoconostle (Opuntia spp.). Chil. J. Agric. Anim. Sci. 2017, 33, 263–272. [Google Scholar] [CrossRef][Green Version]
- Cenobio-Galindo, A.d.J.; Díaz-Monroy, G.; Medina-Pérez, G.; Franco-Fernández, M.J.; Ludeña-Urquizo, F.E.; Vieyra-Alberto, R.; Campos-Montiel, R.G. Multiple Emulsions with Extracts of Cactus Pear Added in A Yogurt: Antioxidant Activity, In Vitro Simulated Digestion and Shelf Life. Foods 2019, 8, 429. [Google Scholar] [CrossRef]
- Zapata, K.; Cortes, F.B.; Rojano, B.A. Polifenoles y actividad antioxidante del fruto de guayaba agria (Psidium araca). Inf. Tecnol. 2013, 24, 103–112. [Google Scholar] [CrossRef]
- Rojano, B.A.; Zapata Acosta, K.; Cortes Correa, F.B. Capacidad atrapadora de radicales libres de Passiflora mollissima (Kunth) LH Bailey (curuba). Rev. Cuba. Plantas Med. 2012, 17, 408–419. [Google Scholar]
- Fructuoso, J.A.; Reyes, S.R.; Venegas, E.; Romero, D.R.; Burgos, K.C. Capacidad antioxidante del zumo y de los extractos hidroalcohólico y acuoso obtenidos de Punica granatum y su relación con el contenido de polifenoles. Pharmaciencia 2014, 2, 50–55. [Google Scholar]
- Camones, M.Á.I.; Ruitón, C.F.; Teixeira, B.J.; Tarrillo, I.G.M.; Espinoza, E.D.R.T. Cuantificación de taninos condensados en Triplaris americana L.(Tangarana colorada). Revista de la Sociedad Química del Perú 2010, 76, 138–148. [Google Scholar]
- Uddin, G.; Ismail; Rauf, A.; Raza, M.; Khan, H.; Nasruddin; Khan, M.; Farooq, U.; Khan, A. Arifullah Urease inhibitory profile of extracts and chemical constituents of Pistacia atlantica ssp. cabulica Stocks. Nat. Prod. Res. 2016, 30, 1411–1416. [Google Scholar] [CrossRef]
- Abhijit, S.; Manjushree, D. Anti-hyaluronidase, anti-elastase activity of Garcinia indica. Int. J. Bot. 2010, 6, 299–303. [Google Scholar]
- Arroyo, J.; Bonilla, P.; Moreno-Exebio, L.; Ronceros, G.; Tomás, G.; Huamán, J.; Raez, E.; Quino, M.; Rodriguez-Calzado, J. Efecto gastroprotector y antisecretor de un fitofármaco de hojas de matico (Piper aduncum). Rev. Peru. Med. Exp. Salud Publica 2013, 30, 608–615. [Google Scholar] [CrossRef]
- Cartaya, O.; Reynaldo, I. Flavonoides: Características químicas y aplicaciones. Cultiv. Trop. 2001, 22, 5–14. [Google Scholar]
- Sigurdson, G.T.; Giusti, M.M. The Stability and Absorption of Anthocyanins in the Mouth. In Anthocyanins from Natural Sources; Brooks, M.S., Celli, G.B., Eds.; The Royal Society of Chemistry: London, UK, 2019; pp. 186–215. [Google Scholar]
- Vázquez-Flores, L.; Casas-Grajales, S.; Hernández-Aquino, E.; Vargas-Pozada, E.; Muriel, P. Antioxidant, antiinflammatory, and antifibrotic properties of quercetin in the liver. In Liver Pathophysiology; Elsevier: Waltham, MA, USA, 2017; pp. 653–674. [Google Scholar]
- Velderrain-Rodriguez, G.; Quiros-Sauceda, A.; Mercado-Mercado, G.; Ayala-Zavala, J.F.; Astiazaran-Garcia, H.; Robles-Sánchez, R.M.; Wall-Medrano, A.; Sayago-Ayerdi, S.; González-Aguilar, G.A. Effect of dietary fiber on the bioaccessibility of phenolic compounds of mango, papaya and pineapple fruits by an in vitro digestion model. Food Sci. Technol. 2016, 36, 188–194. [Google Scholar] [CrossRef]
- Calvo-Lerma, J.; Fornés-Ferrer, V.; Heredia, A.; Andrés, A. In vitro digestion models to assess lipolysis: The impact of the simulated conditions of gastric and intestinal pH, bile salts and digestive fluids. Food Res. Int. 2019, 125, 108511. [Google Scholar] [CrossRef] [PubMed]
- Vallejo, F.; Gil-Izquierdo, A.; Pérez-Vicente, A.; García-Viguera, C. In vitro gastrointestinal digestion study of broccoli inflorescence phenolic compounds, glucosinolates, and vitamin C. J. Agric. Food Chem. 2004, 52, 135–138. [Google Scholar] [CrossRef]
- Spínola, V.; Pinto, J.; Llorent-Martínez, E.J.; Castilho, P.C. Changes in the phenolic compositions of Elaeagnus umbellata and Sambucus lanceolata after in vitro gastrointestinal digestion and evaluation of their potential anti-diabetic properties. Food Res. Int. 2019, 122, 283–294. [Google Scholar] [CrossRef]
- Hur, S.; Lim, B.; Decker, E.; Mc Clements, D. In vitro human digestion models for food applications. Food Chem. 2011, 125, 1–12. [Google Scholar] [CrossRef]
- Lavermicocca, P.; Valerio, F.; Lonigro, S.L.; Di Leo, A.; Visconti, A. Antagonistic activity of potential probiotic Lactobacilli against the ureolytic pathogen Yersinia enterocolitica. Curr. Microbiol. 2008, 56, 175–181. [Google Scholar] [CrossRef]
- Kowalczewski, P.Ł.; Gumienna, M.; Rybicka, I.; Górna, B.; Sarbak, P.; Dziedzic, K.; Kmiecik, D. Nutritional Value and Biological Activity of Gluten-Free Bread Enriched with Cricket Powder. Molecules 2021, 26, 1184. [Google Scholar] [CrossRef] [PubMed]
- Karaś, M.; Jakubczyk, A.; Szymanowska, U.; Złotek, U.; Zielińska, E. Digestion and bioavailability of bioactive phytochemicals. Int. J. Food Sci. Technol. 2017, 52, 291–305. [Google Scholar] [CrossRef]
- Parada, J.; Aguilera, J. Food microstructure affects the bioavailability of several nutrients. J. Food Sci. 2007, 72, R21–R32. [Google Scholar] [CrossRef] [PubMed]
- Eastwood, M.; Morris, E. Physical properties of dietary fiber that influence physiological function: A model for polymers along the 69 gastrointestinal tract. Am. J. Clin. Nutr. 1992, 55, 436–442. [Google Scholar] [CrossRef] [PubMed]
- Azeredo, H. Betalains: Properties, sources, applications, and stability—A review. Int. J. Food Sci. Technol. 2009, 44, 2365–2376. [Google Scholar] [CrossRef]




| Extract | Fenolsmg GAE/ 100 g | Flavonoids mgQE/100 g | Taninsmg CAT/100 g | Betalains mg/100 g |
|---|---|---|---|---|
| Endocarp | 262.00 ± 2.42 a | 151.80 ± 3.8 a | 48.30 ± 4.75 a | 17.45 ± 0.83 a |
| Mesocarp | 276.10 ± 5.15 b | 83.57 ± 4.83 b | 50.83 ± 1.01 ab | 5.83 ± 0.35 b |
| Pericarp | 281.73 ± 8.69 bc | 117.80 ± 1.60 c | 27.10 ± 8.00 c | 6.22 ± 0.09 c |
| Whole Fruit | 313.27 ± 3.05 d | 189.53 ± 6.02 d | 71.07 ± 3.20 d | 9.22 ± 0.19 d |
Publisher’s Note: MDPI stays neutral with regard to jurisdictional claims in published maps and institutional affiliations. |
© 2021 by the authors. Licensee MDPI, Basel, Switzerland. This article is an open access article distributed under the terms and conditions of the Creative Commons Attribution (CC BY) license (https://creativecommons.org/licenses/by/4.0/).
Share and Cite
Medina-Pérez, G.; Peralta-Adauto, L.; Afanador-Barajas, L.; Fernández-Luqueño, F.; Pérez-Soto, E.; Campos-Montiel, R.; Peláez-Acero, A. Inhibition of Urease, Elastase, and β-Glucuronidase Enzymatic Activity by Applying Aqueous Extracts of Opuntia oligacantha C.F. Först Acid Fruits: In Vitro Essay under Simulated Digestive Conditions. Appl. Sci. 2021, 11, 7705. https://doi.org/10.3390/app11167705
Medina-Pérez G, Peralta-Adauto L, Afanador-Barajas L, Fernández-Luqueño F, Pérez-Soto E, Campos-Montiel R, Peláez-Acero A. Inhibition of Urease, Elastase, and β-Glucuronidase Enzymatic Activity by Applying Aqueous Extracts of Opuntia oligacantha C.F. Först Acid Fruits: In Vitro Essay under Simulated Digestive Conditions. Applied Sciences. 2021; 11(16):7705. https://doi.org/10.3390/app11167705
Chicago/Turabian StyleMedina-Pérez, Gabriela, Laura Peralta-Adauto, Laura Afanador-Barajas, Fabián Fernández-Luqueño, Elizabeth Pérez-Soto, Rafael Campos-Montiel, and Armando Peláez-Acero. 2021. "Inhibition of Urease, Elastase, and β-Glucuronidase Enzymatic Activity by Applying Aqueous Extracts of Opuntia oligacantha C.F. Först Acid Fruits: In Vitro Essay under Simulated Digestive Conditions" Applied Sciences 11, no. 16: 7705. https://doi.org/10.3390/app11167705
APA StyleMedina-Pérez, G., Peralta-Adauto, L., Afanador-Barajas, L., Fernández-Luqueño, F., Pérez-Soto, E., Campos-Montiel, R., & Peláez-Acero, A. (2021). Inhibition of Urease, Elastase, and β-Glucuronidase Enzymatic Activity by Applying Aqueous Extracts of Opuntia oligacantha C.F. Först Acid Fruits: In Vitro Essay under Simulated Digestive Conditions. Applied Sciences, 11(16), 7705. https://doi.org/10.3390/app11167705

