Characterization of Five Portuguese Wastewater Treatment Plants: Removal Efficiency of Pharmaceutical Active Compounds through Conventional Treatment Processes and Environmental Risk
Abstract
:1. Introduction
2. Materials and Methods
2.1. Reagents and Standards
2.2. Material and Apparatus
2.3. Wastewater Treatment Plant (WWTP) and Sampling Points
2.4. Wastewater Samples Analysis by SPE-LC-MS/MS
2.5. Working Range, Method Detection (MDL) and Quantification Limits (MQL), and Expanded Uncertainty
2.6. Removal Efficiency and Environmental Risk Assessment
2.7. Water Analysis
3. Results and Discussion
3.1. Method Performance
3.2. Occurrence of PhACs in the Five WWTPs and Surface Waters
3.3. Removal Efficiencies of PhACs by WWTPs
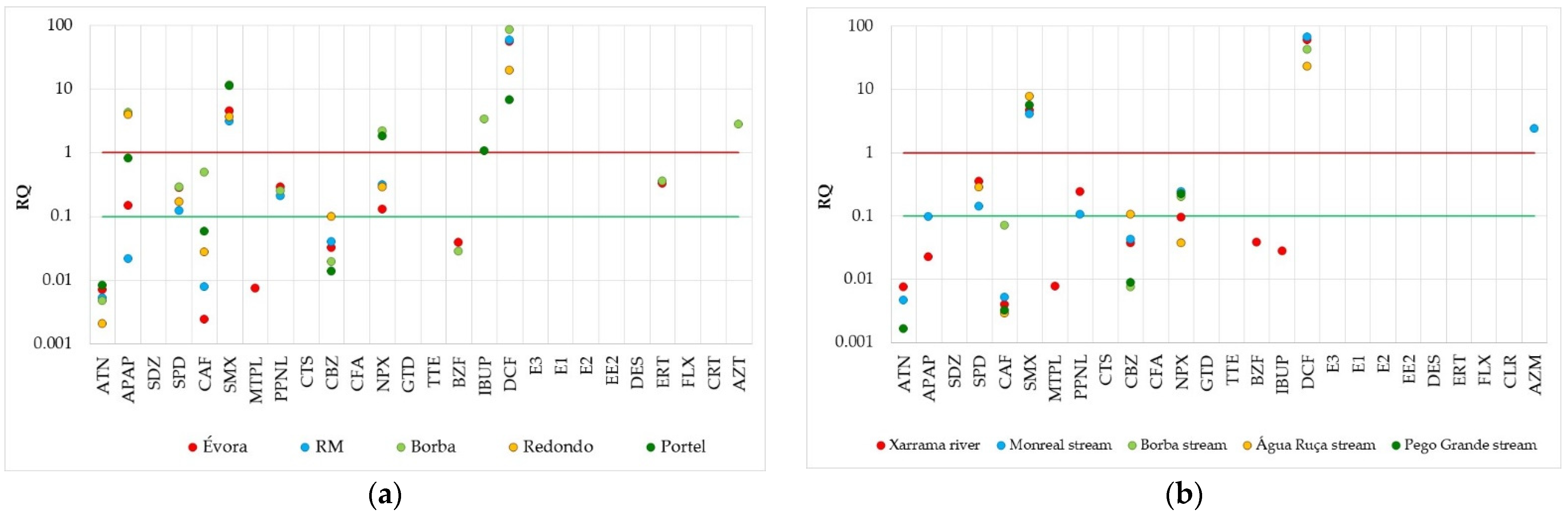
3.4. Environmental Risks of Target PhACs
4. Conclusions
Supplementary Materials
Author Contributions
Funding
Institutional Review Board Statement
Informed Consent Statement
Acknowledgments
Conflicts of Interest
References
- Mastroianni, N.; De Alda, M.L.; Barceló, D. Capitulo Lirbo Emergin contaminant Nicola Mastroianni. Contrib. Sci. 2010, 6, 193–197. [Google Scholar]
- Sorlini, S.; Collivignarelli, M.C.; Miino, M.C. Technologies for the control of emerging contaminants in drinking water treatment plants. Environ. Eng. Manag. J. 2019, 18, 2203–2216. [Google Scholar]
- Verlicchi, P.; Al Aukidy, M.; Zambello, E. Occurrence of pharmaceutical compounds in urban wastewater: Removal, mass load and environmental risk after a secondary treatment—A review. Sci. Total Environ. 2012, 429, 123–155. [Google Scholar] [CrossRef]
- Al Aukidy, M.; Verlicchi, P.; Jelic, A.; Petrovic, M.; Barcelò, D. Monitoring release of pharmaceutical compounds: Occurrence and environmental risk assessment of two WWTP effluents and their receiving bodies in the Po Valley, Italy. Sci. Total Environ. 2012, 438, 15–25. [Google Scholar] [CrossRef]
- Verlicchi, P.; Galletti, A.; Masotti, L. Management of hospital wastewaters: The case of the effluent of a large hospital situated in a small town. Water Sci. Technol. 2010, 61, 2507–2519. [Google Scholar] [CrossRef]
- Yi, X.; Tran, N.H.; Yin, T.; He, Y.; Gin, K.Y.-H. Removal of selected PPCPs, EDCs, and antibiotic resistance genes in landfill leachate by a full-scale constructed wetlands system. Water Res. 2017, 121, 46–60. [Google Scholar] [CrossRef]
- Sidhu, J.P.S.; Ahmed, W.; Gernjak, W.; Aryal, R.; McCarthy, D.; Palmer, A.; Kolotelo, P.; Toze, S. Sewage pollution in urban stormwater runoff as evident from the widespread presence of multiple microbial and chemical source tracking markers. Sci. Total Environ. 2013, 463–464, 488–496. [Google Scholar] [CrossRef]
- Tran, N.H.; Reinhard, M.; Gin, K.Y.H. Occurrence and fate of emerging contaminants in municipal wastewater treatment plants from different geographical regions—A review. Water Res. 2018, 133, 182–207. [Google Scholar] [CrossRef] [PubMed]
- Zhang, X.-X.; Zhang, T.; Fang, H.H.P. Antibiotic resistance genes in water environment. Appl. Microbiol. Biotechnol. 2009, 82, 397–414. [Google Scholar] [CrossRef] [PubMed]
- Kraemer, S.A.; Ramachandran, A.; Perron, G.G. Antibiotic Pollution in the Environment: From Microbial Ecology to Public Policy. Microorganisms 2019, 7, 180. [Google Scholar] [CrossRef] [Green Version]
- Ternes, T.A.; Hirsch, R. Occurrence and Behavior of X-ray Contrast Media in Sewage Facilities and the Aquatic Environment. Environ. Sci. Technol. 2000, 34, 2741–2748. [Google Scholar] [CrossRef]
- Luthy, R.G.; Sedlak, D.L.; Plumlee, M.H.; Austin, D.; Resh, V.H. Wastewater-effluent-dominated streams as ecosystem-management tools in a drier climate. Front. Ecol. Environ. 2015, 13, 477–485. [Google Scholar] [CrossRef] [Green Version]
- AdP—Águas de Portugal. Águas de Portugal: By the Book, Edições Especiais, lda; Printer Portuguesa: Rio de Mouro, Portugal, 2016; ISBN 978-989-8614-07-0. [Google Scholar]
- Hughes, J.; Cowper-Heays, K.; Olesson, E.; Bell, R.; Stroombergen, A. Impacts and implications of climate change on wastewater systems: A New Zealand perspective. Clim. Risk Manag. 2021, 31, 100262. [Google Scholar] [CrossRef]
- Münze, R.; Hannemann, C.; Orlinskiy, P.; Gunold, R.; Paschke, A.; Foit, K.; Becker, J.; Kaske, O.; Paulsson, E.; Peterson, M.; et al. Pesticides from wastewater treatment plant effluents affect invertebrate communities. Sci. Total Environ. 2017, 599–600, 387–399. [Google Scholar] [CrossRef]
- Akpor, O.B.; OTohinoyi, D.A. Pollutants in Wastewater Effluents: Impacts and Remediation Processes. Int. J. Environ. Res. Earth Sci. 2014, 27, 249–253. [Google Scholar]
- Jin, Z.; Zhang, X.; Li, J.; Yang, F.; Kong, D.; Wei, R.; Huang, K.; Zhou, B. Impact of wastewater treatment plant effluent on an urban river. J. Freshw. Ecol. 2017, 32, 697–710. [Google Scholar] [CrossRef] [Green Version]
- Martí, E.; Riera, J.L.; Sabater, F. Effects of Wastewater Treatment Plants on Stream Nutrient Dynamics Under Water Scarcity Conditions. In Water Scarcity in the Mediterranean; The Handbook of Environmental Chemistry, vol 8; Springer: Berlin/Heidelberg, Germany, 2009; pp. 173–195. [Google Scholar]
- Hamdhani, H.; Eppehimer, D.E.; Bogan, M.T. Release of treated effluent into streams: A global review of ecological impacts with a consideration of its potential use for environmental flows. Freshw. Biol. 2020, 65, 1657–1670. [Google Scholar] [CrossRef]
- Bischel, H.N.; Lawrence, J.E.; Halaburka, B.J.; Plumlee, M.H.; Bawazir, A.S.; King, J.P.; McCray, J.E.; Resh, V.H.; Luthy, R.G. Renewing urban streams with recycled water for streamflow augmentation: Hydrologic, water quality, and ecosystem services management. Environ. Eng. Sci. 2013, 30, 455–479. [Google Scholar] [CrossRef]
- Infarmed Monitorization of the Market. 2018. Available online: https://www.infarmed.pt/documents/15786/1229727/Estatística+do+medicamento+2018+%28pdf%29/343a8ff0-40fe-0be3-be6d-82c79be3f680?version=1.3 (accessed on 11 June 2021).
- EU Directive 2013/39/EU of the European Parliament and of the Council of 12 August 2013 amending Directives 2000/60/EC and 2008/105/EC as regards priority substances in the field of water policy. Off. J. Eur. Union 2013, 226, 1–17.
- Gaffney, V.J.; Cardoso, V.V.; Cardoso, E.; Teixeira, A.P.; Martins, J.; Benoliel, M.J.; Almeida, C.M.M. Occurrence and behaviour of pharmaceutical compounds in a Portuguese wastewater treatment plant: Removal efficiency through conventional treatment processes. Environ. Sci. Pollut. Res. 2017, 24, 14717–14734. [Google Scholar] [CrossRef]
- Rodrigues, J.; Albino, S.; Silva, S.; Cravo, A.; Cardoso, V.V.; Benoliel, M.J.; Almeida, C.M.M. Development of a Multiresidue Method for the Determination of 24 Pharmaceuticals in Clams by QuEChERS and Liquid Chromatography-Triple Quadrupole Tandem Mass Spectrometry. Food Anal. Methods 2019, 12, 838–851. [Google Scholar] [CrossRef]
- Silva, S.; Rodrigues, J.A.; Coelho, M.R.; Martins, A.; Cardoso, E.; Cardoso, V.V.; Benoliel, M.J.; Almeida, C.M.M. Occurrence of pharmaceutical active compounds in sewage sludge from two urban wastewater treatment plants and their potential behaviour in agricultural soils. Environ. Sci. Water Res. Technol. 2021, 7, 969–982. [Google Scholar] [CrossRef]
- Silva, C.; Almeida, C.M.M.; Rodrigues, J.A.; Silva, S.; do Coelho, M.R.; Martins, A.; Lourinho, R.; Cardoso, E.; Cardoso, V.V.; Benoliel, M.J.; et al. Occurrence and seasonality of pharmaceutical compounds in urban wastewaters in two Portuguese regions. Urban Water J. 2021, 18, 465–478. [Google Scholar] [CrossRef]
- International Organization for Standardization ISO, ISO 8466-1:1990. Water Quality-Calibration and Evaluation of Analytical Methods and Estimation of Performance Characteristics-Part 1: Statistical Evaluation of the Linear Calibration Function, ISO/TC 147/SC 2 Physical, Chemical and Biochemical Methods, 1-8, 1st ed.; International Organization for Standardization: Genève, Switzerland, 1990. [Google Scholar]
- International Organization for Standardization ISO. ISO 11352: 2012. Water Quality-Estimation of Measurement Uncertainty Based on Validation and Quality Control Data. ISO/TC 147/SC 2 Physical, Chemical and Biochemical Methods, 1–26, 1st ed.; International Organization for Standardization: Genève, Switzerland, 2012. [Google Scholar]
- CEC (Commission of the European Community). Technical Guidance Document on Risk Assessment in Support of Commission Directive 93/67/EEC on Risk Assessment for New Notified Substances, Commission Regulation (EC) No 1488/94 on Risk Assessment for Existing Substa; 2003. Available online: http://scholar.google.com/scholar?hl=en%7B%5C&%7DbtnG=Search%7B%5C&%7Dq=intitle:Technical+guidance+document+on+risk+assessment+Part+II%7B%5C#%7D6 (accessed on 24 June 2021).
- Ben, W.; Zhu, B.; Yuan, X.; Zhang, Y.; Yang, M.; Qiang, Z. Occurrence, removal and risk of organic micropollutants in wastewater treatment plants across China: Comparison of wastewater treatment processes. Water Res. 2018, 130, 38–46. [Google Scholar] [CrossRef]
- Liu, N.; Jin, X.; Feng, C.; Wang, Z.; Wu, F.; Johnson, A.C.; Xiao, H.; Hollert, H.; Giesy, J.P. Ecological risk assessment of fifty pharmaceuticals and personal care products (PPCPs) in Chinese surface waters: A proposed multiple-level system. Environ. Int. 2020, 136, 105454. [Google Scholar] [CrossRef]
- Loos, R.; Marinov, D.; Sanseverino, I.; Napierska, D.; Lettieri, T. Review of the 1st Watch List under the Water Framework Directive and Recommendations for the 2nd Watch List, EUR 29173 EN; Publication Office of the European Union: Luxembourg, 2018; ISBN 9789279818394. [Google Scholar]
- Caldwell, D.J.; Mastrocco, F.; Anderson, P.D.; Länge, R.; Sumpter, J.P. Predicted-no-effect concentrations for the steroid estrogens estrone, 17β-estradiol, estriol, and 17α-ethinylestradiol. Environ. Toxicol. Chem. 2012, 31, 1396–1406. [Google Scholar] [CrossRef] [PubMed]
- Salgado, R.; Noronha, J.P.; Oehmen, A.; Carvalho, G.; Reis, M.A.M. Analysis of 65 pharmaceuticals and personal care products in 5 wastewater treatment plants in Portugal using a simplified analytical methodology. Water Sci. Technol. 2010, 62, 2862–2871. [Google Scholar] [CrossRef]
- Santos, L.; Gros, M.; Rodriguez-Mozaz, S.; Delerue-Matos, C.; Pena, A.; Barcelo, D.; Montenegro, M. Contribution of hospital effluents to the load of pharmaceuticals in urban wastewaters: Identification of ecologically relevant pharmaceuticals. Sci. Total Environ. 2013, 461, 302–316. [Google Scholar] [CrossRef] [Green Version]
- Pereira, A.M.P.T.; Silva, L.J.G.; Meisel, L.M.; Lino, C.M.; Pena, A. Environmental impact of pharmaceuticals from Portuguese wastewaters: Geographical and seasonal occurrence, removal and risk assessment. Environ. Res. 2015, 136, 108–119. [Google Scholar] [CrossRef] [PubMed] [Green Version]
- Pereira, A.M.P.T.; Silva, L.J.G.; Laranjeiro, C.S.M.; Meisel, L.M.; Lino, C.M.; Pena, A. Human pharmaceuticals in Portuguese rivers: The impact of water scarcity in the environmental risk. Sci. Total Environ. 2017, 609, 1182–1191. [Google Scholar] [CrossRef] [PubMed]
- Zorita, S.; Mårtensson, L.; Mathiasson, L. Occurrence and removal of pharmaceuticals in a municipal sewage treatment system in the south of Sweden. Sci. Total Environ. 2009, 407, 2760–2770. [Google Scholar] [CrossRef]
- Gaffney, V.J.; Cardoso, V.V.; Rodrigues, A.; Ferreira, E.; Benoliel, M.; Almeida, C.M.M. Analysis of Pharmaceutical Compounds in Waters by SPE-UPLC-ESI-MS/MS. Quim. Nova 2014, 37, 138–149. [Google Scholar] [CrossRef] [Green Version]
- Gupta, A.; Thakur, I.S. Treatment of Organic Recalcitrant Contaminants in Wastewater. In Biological Wastewater Treatment and Resource Recovery; Robina, F., Ahmad, Z., Eds.; IntechOpen: London, UK, 2017. [Google Scholar]
- Rodríguez-Nava, O.; Ramírez-Saad, H.; Loera, O.; González, I. Evaluation of the simultaneous removal of recalcitrant drugs (bezafibrate, gemfibrozil, indomethacin and sulfamethoxazole) and biodegradable organic matter from synthetic wastewater by electro-oxidation coupled with a biological system. Environ. Technol. 2016, 37, 2964–2974. [Google Scholar] [CrossRef]
- Schröder, P.; Helmreich, B.; Škrbić, B.; Carballa, M.; Papa, M.; Pastore, C.; Emre, Z.; Oehmen, A.; Langenhoff, A.; Molinos, M.; et al. Status of hormones and painkillers in wastewater effluents across several European states—considerations for the EU watch list concerning estradiols and diclofenac. Environ. Sci. Pollut. Res. 2016, 23, 12835–12866. [Google Scholar] [CrossRef]
- Katsoyiannis, A.; Samara, C. The fate of dissolved organic carbon (DOC) in the wastewater treatment process and its importance in the removal of wastewater contaminants. Environ. Sci. Pollut. Res. Int. 2007, 14, 284–292. [Google Scholar] [CrossRef] [PubMed]
- Katsoyiannis, A.; Zouboulis, A.; Samara, C. Persistent organic pollutants (POPs) in the conventional activated sludge treatment process: Model predictions against experimental values. Chemosphere 2006, 65, 1634–1641. [Google Scholar] [CrossRef]
- Manallack, D.T. The pKa Distribution of Drugs: Application to Drug Discovery. Perspect. Medicin. Chem. 2007, 1, 25–38. [Google Scholar] [CrossRef] [PubMed]
- Sui, Q.; Huang, J.; Deng, S.; Yu, G.; Fan, Q. Occurrence and removal of pharmaceuticals, caffeine and DEET in wastewater treatment plants of Beijing, China. Water Res. 2010, 44, 417–426. [Google Scholar] [CrossRef]
- Wang, L.; Ying, G.-G.; Zhao, J.-L.; Yang, X.-B.; Chen, F.; Tao, R.; Liu, S.; Zhou, L.-J. Occurrence and risk assessment of acidic pharmaceuticals in the Yellow River, Hai River and Liao River of north China. Sci. Total Environ. 2010, 408, 3139–3147. [Google Scholar] [CrossRef] [PubMed]
- Backhaus, T.; Faust, M. Predictive Environmental Risk Assessment of Chemical Mixtures: A Conceptual Framework. Environ. Sci. Technol. 2012, 46, 2564–2573. [Google Scholar] [CrossRef]







| Évora WWTP | Reguengos de Monsaraz WWTP | Borba WWTP | Redondo WWTP | Portel WWTP | |
|---|---|---|---|---|---|
| Population equivalent | 78,601 | 11,050 | 8000 | 7000 | 3164 |
| Influent flow rate (m3/day) | 11,991 | 1066 | 636 | 808 | 740 |
| Effluent flow rate (m3/day) | 13,720 | 2076 | 1430 | 1409 | 657 |
| Treatment | ASCP | LT-ASP | LT-ASP | LT-ASP | WSPs |
| Wastewater sources Domestic sewage Industrial sewage Hospital sewage | X X X | X X | X X | X X | X X |
| Number of samples | 19 | 16 | 14 | 12 | 16 |
| Influents | 5 | 6 | 4 | 5 | 5 |
| Effluents | 6 | 5 | 4 | 4 | 5 |
| Upstream | 4 | 1 | 3 | --- | 3 |
| Downstream | 4 | 4 | 3 | 3 | 3 |
| Receiving waters | Xarrama River | Monreal Stream | Borba Stream | Água Ruça Stream | Pego Grande Stream |
| PhACs | Working Range (µg/L) | R2 (n = 6) | CVm (%) | PG | MDL (ng/L) | MQL (ng/L) | Rec (%) (n = 25) | RSD (%) (n = 25) | U (%) |
|---|---|---|---|---|---|---|---|---|---|
| Acidic method | |||||||||
| ATN | 0.76–7.1 | 0.9998 | 4.14 | −0.49 | 40.5 | 12.3 | 75.1 | 15.0 | 29 |
| APAP | 0.79–7.3 | 0.9993 | 4.75 | 1.31 | 42.4 | 12.9 | 74.5 | 12.8 | 28 |
| SDZ | 0.84–7.8 | 0.9996 | 2.87 | 0.04 | 41.9 | 12.7 | 80.1 | 7.61 | 30 |
| SPD | 0.77–7.1 | 0.9997 | 1.58 | 0.34 | 36.7 | 11.1 | 84 | 9.41 | 31 |
| CAF | 0.8–7.4 | 0.9996 | 5.21 | 1.71 | 29.9 | 9.06 | 107 | 13.2 | 24 |
| SMX | 0.77–7.2 | 0.9998 | 1.55 | 0.17 | 31.2 | 9.46 | 98.7 | 7.41 | 29 |
| MTPL | 0.76–7.1 | 0.9999 | 3.53 | 0.27 | 29.2 | 8.86 | 104 | 14.8 | 34 |
| PPNL | 0.79–7.3 | 0.9996 | 4.48 | 1.81 | 53.9 | 16.3 | 58.6 | 8.99 | 42 |
| CTS | 0.78–7.3 | 0.9998 | 1.64 | 0.03 | 42.4 | 12.8 | 73.6 | 6.13 | 31 |
| CBZ | 0.78–7.3 | 0.9998 | 2.51 | 0.85 | 57.7 | 17.5 | 54.1 | 0.68 | 29 |
| CFA | 4.2–39 | 0.9997 | 2.34 | 5.76 | 140.0 | 42.4 | 120 | 16.7 | 29 |
| NPX | 0.77–7.2 | 0.9999 | 2.90 | 2.45 | 31.5 | 9.54 | 97.8 | 9.61 | 26 |
| GTD | 0.78–7.3 | 0.9993 | 6.66 | 5.79 | 71.1 | 21.5 | 43.9 | 1.32 | 35 |
| TTE | 0.75–7.0 | 0.9995 | 4.23 | 1.24 | 53.5 | 16.2 | 56.1 | 10.1 | 38 |
| Basic method | |||||||||
| BZF | 0.75–7.0 | 0.9996 | 1.93 | 1.55 | 26.3 | 7.98 | 113.9 | 18.2 | 36 |
| IBUP | 1.6–14.5 | 0.9999 | 1.59 | 3.53 | 66.4 | 20.1 | 96.4 | 8.01 | 28 |
| DCF | 0.77–7.2 | 0.9997 | 3.75 | 0.003 | 22.5 | 6.81 | 137 | 4.14 | 13 |
| E1 | 10.1–94 | 0.9997 | 3.91 | 2.94 | 735.9 | 223.0 | 54.9 | 13.9 | 35 |
| E3 | 7.19–67 | 0.9999 | 1.70 | 0.98 | 284.8 | 86.3 | 101 | 17.8 | 23 |
| E2 | 9.02–84 | 0.9983 | 5.78 | 0.08 | 560.2 | 169.8 | 64.4 | 18.1 | 35 |
| EE2 | 9.24–86 | 0.9990 | 2.62 | 5.81 | 658.8 | 199.6 | 56.1 | 13.4 | 40 |
| DES | 9.27–87 | 0.9985 | 5.94 | 0.3 | 435.2 | 131.9 | 85.2 | 13.8 | 41 |
| ERT | 1.58–15 | 0.9994 | 6.23 | 6.04 | 44.2 | 13.4 | 143 | 23.8 | 40 |
| FLX | 1.51–14 | 0.9992 | 4.88 | 0.99 | 37.8 | 11.4 | 160 | 19.5 | 32 |
| CLR | 1.52–14 | 0.9994 | 5.76 | 0.35 | 87.1 | 26.4 | 69.8 | 13.0 | 38 |
| AZM | 1.51–14 | 0.9993 | 3.25 | 1.90 | 96.0 | 29.1 | 62.9 | 17.6 | 33 |
| PhACs | Acidic Method | |||||||||
|---|---|---|---|---|---|---|---|---|---|---|
| Influent (µg/L) | Effluent (µg/L) | |||||||||
| Min | Max | Med | Pos (%) | Freq | Min | Max | Med | Pos (%) | Freq | |
| ATN | 0.076 | 3.1 | 0.92 | 100 | 4.8 | 0.067 | 0.24 | 0.15 | 88 | 4.2 |
| APAP | 27.2 | 414 | 115 | 96 | 4.6 | 0.048 | 8.4 | 0.18 | 50 | 2.4 |
| SDZ | 0.044 | 0.044 | 0.044 | 4 | 0.2 | --- | --- | --- | 0 | 0 |
| SPD | 0.036 | 2.9 | 0.17 | 88 | 4.2 | 0.041 | 0.22 | 0.087 | 54 | 2.6 |
| CAF | 4.2 | 160 | 40.9 | 100 | 4.8 | 0.043 | 39.2 | 0.17 | 100 | 4.8 |
| SMX | 0.039 | 4.1 | 0.31 | 96 | 4.6 | 0.054 | 0.44 | 0.096 | 92 | 4.4 |
| MTPL | 0.051 | 0.19 | 0.079 | 38 | 1.8 | 0.044 | 0.078 | 0.052 | 21 | 1 |
| PPNL | 0.049 | 0.18 | 0.10 | 75 | 3.6 | 0.039 | 0.074 | 0.051 | 50 | 2.4 |
| CTS | 0.076 | 0.43 | 0.12 | 67 | 3.2 | --- | --- | --- | 0 | 0 |
| CBZ | 0.084 | 1.6 | 0.30 | 100 | 4.8 | 0.078 | 1.3 | 0.36 | 100 | 4.8 |
| CFA | --- | --- | --- | 0 | 0 | --- | --- | --- | 0 | 0 |
| NPX | 0.29 | 37.6 | 8.0 | 100 | 4.8 | 0.035 | 4.1 | 0.25 | 88 | 4.2 |
| GTD | --- | --- | --- | 0 | 0 | --- | --- | --- | 0 | 0 |
| TTE | 0.030 | 0.083 | 0.051 | 50 | 2.4 | --- | --- | --- | 0 | 0 |
| Basic method | ||||||||||
| BZF | 0.058 | 1.7 | 0.67 | 50 | 2.4 | 0.047 | 0.38 | 0.089 | 38 | 1.8 |
| IBUP | 0.35 | 37.1 | 12.1 | 100 | 4.8 | 0.071 | 10.8 | 0.32 | 42 | 2 |
| DCF | 0.32 | 5.2 | 1.69 | 100 | 4.8 | 0.047 | 4.0 | 1.6 | 100 | 4.8 |
| E1 | --- | --- | --- | 0 | 0 | --- | --- | --- | 0 | 0 |
| E3 | --- | --- | --- | 0 | 0 | --- | --- | --- | 0 | 0 |
| E2 | --- | --- | --- | 0 | 0 | --- | --- | --- | 0 | 0 |
| EE2 | --- | --- | --- | 0 | 0 | --- | --- | --- | 0 | 0 |
| DES | --- | --- | --- | 0 | 0 | --- | --- | --- | 0 | 0 |
| ERT | 0.095 | 0.29 | 0.17 | 13 | 0.6 | 0.086 | 0.15 | 0.099 | 17 | 0.8 |
| FLX | --- | --- | --- | 0 | 0 | --- | --- | --- | 0 | 0 |
| CLR | 0.15 | 0.94 | 0.26 | 13 | 0.6 | --- | --- | --- | 0 | 0 |
| AZM | 0.13 | 0.48 | 0.15 | 17 | 0.8 | 0.11 | 0.12 | 0.11 | 8 | 0.4 |
| PhACs | Acidic Method | |||||||||
|---|---|---|---|---|---|---|---|---|---|---|
| Upstream (µg/L) | Downstream (µg/L) | |||||||||
| Min | Max | Med | Pos (%) | Freq | Min | Max | Med | Pos (%) | Freq | |
| ATN | 0.046 | 0.22 | 0.15 | 36 | 1 | 0.042 | 0.23 | 0.13 | 53 | 1.8 |
| APAP | 0.048 | 0.26 | 0.076 | 36 | 1 | 0.045 | 0.20 | 0.12 | 12 | 0.4 |
| SDZ | --- | --- | --- | 0 | 0 | --- | --- | --- | 0 | 0 |
| SPD | 0.044 | 0.13 | 0.084 | 27 | 0.75 | 0.043 | 0.18 | 0.079 | 59 | 2 |
| CAF | 0.057 | 0.39 | 0.15 | 100 | 2.75 | 0.041 | 3.1 | 0.11 | 100 | 3.4 |
| SMX | 0.044 | 0.087 | 0.070 | 36 | 1 | 0.043 | 0.23 | 0.095 | 71 | 2.4 |
| MTPL | 0.068 | 0.068 | 0.068 | 9 | 0.25 | 0.043 | 0.073 | 0.060 | 18 | 0.6 |
| PPNL | 0.077 | 0.077 | 0.077 | 9 | 0.25 | 0.035 | 0.073 | 0.054 | 24 | 0.8 |
| CTS | --- | --- | --- | 0 | 0 | --- | --- | --- | 0 | 0 |
| CBZ | 0.043 | 0.47 | 0.22 | 45 | 1.25 | 0.044 | 1.3 | 0.29 | 94 | 3.2 |
| CFA | --- | --- | --- | 0 | 0 | --- | --- | --- | 0 | 0 |
| NPX | 0.053 | 1.0 | 0.071 | 64 | 1.75 | 0.036 | 0.34 | 0.11 | 76 | 2.6 |
| GTD | --- | --- | --- | 0 | 0 | --- | --- | --- | 53 | 1.8 |
| TTE | --- | --- | --- | 0 | 0 | --- | --- | --- | 12 | 0.4 |
| Basic method | ||||||||||
| BZF | 0.046 | 0.11 | 0.078 | 18 | 0.5 | 0.039 | 0.12 | 0.077 | 24 | 0.8 |
| IBUP | 0.090 | 0.097 | 0.094 | 18 | 0.5 | 0.093 | 0.10 | 0.098 | 12 | 0.4 |
| DCF | 0.036 | 2.5 | 0.85 | 55 | 1.5 | 0.49 | 3.5 | 1.6 | 82 | 2.8 |
| E1 | --- | --- | --- | 0 | 0 | --- | --- | --- | 0 | 0 |
| E3 | --- | --- | --- | 0 | 0 | --- | --- | --- | 0 | 0 |
| E2 | --- | --- | --- | 0 | 0 | --- | --- | --- | 0 | 0 |
| EE2 | --- | --- | --- | 0 | 0 | --- | --- | --- | 0 | 0 |
| DES | --- | --- | --- | 0 | 0 | --- | --- | --- | 0 | 0 |
| ERT | 0.14 | 0.14 | 0.14 | 9 | 0.25 | --- | --- | --- | 0 | 0 |
| FLX | --- | --- | --- | 0 | 0 | --- | --- | --- | 0 | 0 |
| CLR | --- | --- | --- | 0 | 0 | --- | --- | --- | 0 | 0 |
| AZM | 0.094 | 0.11 | 0.10 | 18 | 0.5 | 0.92 | 0.092 | 0.092 | 6 | 0.2 |
Publisher’s Note: MDPI stays neutral with regard to jurisdictional claims in published maps and institutional affiliations. |
© 2021 by the authors. Licensee MDPI, Basel, Switzerland. This article is an open access article distributed under the terms and conditions of the Creative Commons Attribution (CC BY) license (https://creativecommons.org/licenses/by/4.0/).
Share and Cite
Silva, S.; Cardoso, V.V.; Duarte, L.; Carneiro, R.N.; Almeida, C.M.M. Characterization of Five Portuguese Wastewater Treatment Plants: Removal Efficiency of Pharmaceutical Active Compounds through Conventional Treatment Processes and Environmental Risk. Appl. Sci. 2021, 11, 7388. https://doi.org/10.3390/app11167388
Silva S, Cardoso VV, Duarte L, Carneiro RN, Almeida CMM. Characterization of Five Portuguese Wastewater Treatment Plants: Removal Efficiency of Pharmaceutical Active Compounds through Conventional Treatment Processes and Environmental Risk. Applied Sciences. 2021; 11(16):7388. https://doi.org/10.3390/app11167388
Chicago/Turabian StyleSilva, Sofia, Vitor Vale Cardoso, Lúcia Duarte, Rui Neves Carneiro, and Cristina Maria Martins Almeida. 2021. "Characterization of Five Portuguese Wastewater Treatment Plants: Removal Efficiency of Pharmaceutical Active Compounds through Conventional Treatment Processes and Environmental Risk" Applied Sciences 11, no. 16: 7388. https://doi.org/10.3390/app11167388
APA StyleSilva, S., Cardoso, V. V., Duarte, L., Carneiro, R. N., & Almeida, C. M. M. (2021). Characterization of Five Portuguese Wastewater Treatment Plants: Removal Efficiency of Pharmaceutical Active Compounds through Conventional Treatment Processes and Environmental Risk. Applied Sciences, 11(16), 7388. https://doi.org/10.3390/app11167388

