Raman Spectrometry as a Tool for an Online Control of a Phototrophic Biological Nutrient Removal Process
Abstract
:1. Introduction
2. Materials and Methods
2.1. Reactor Operation and Sampling
2.2. Reference Analytical Methods
2.3. Raman Spectroscopic Method
2.4. Chemometric Analysis
3. Results and Discussion
3.1. Development of PLS Calibration Models
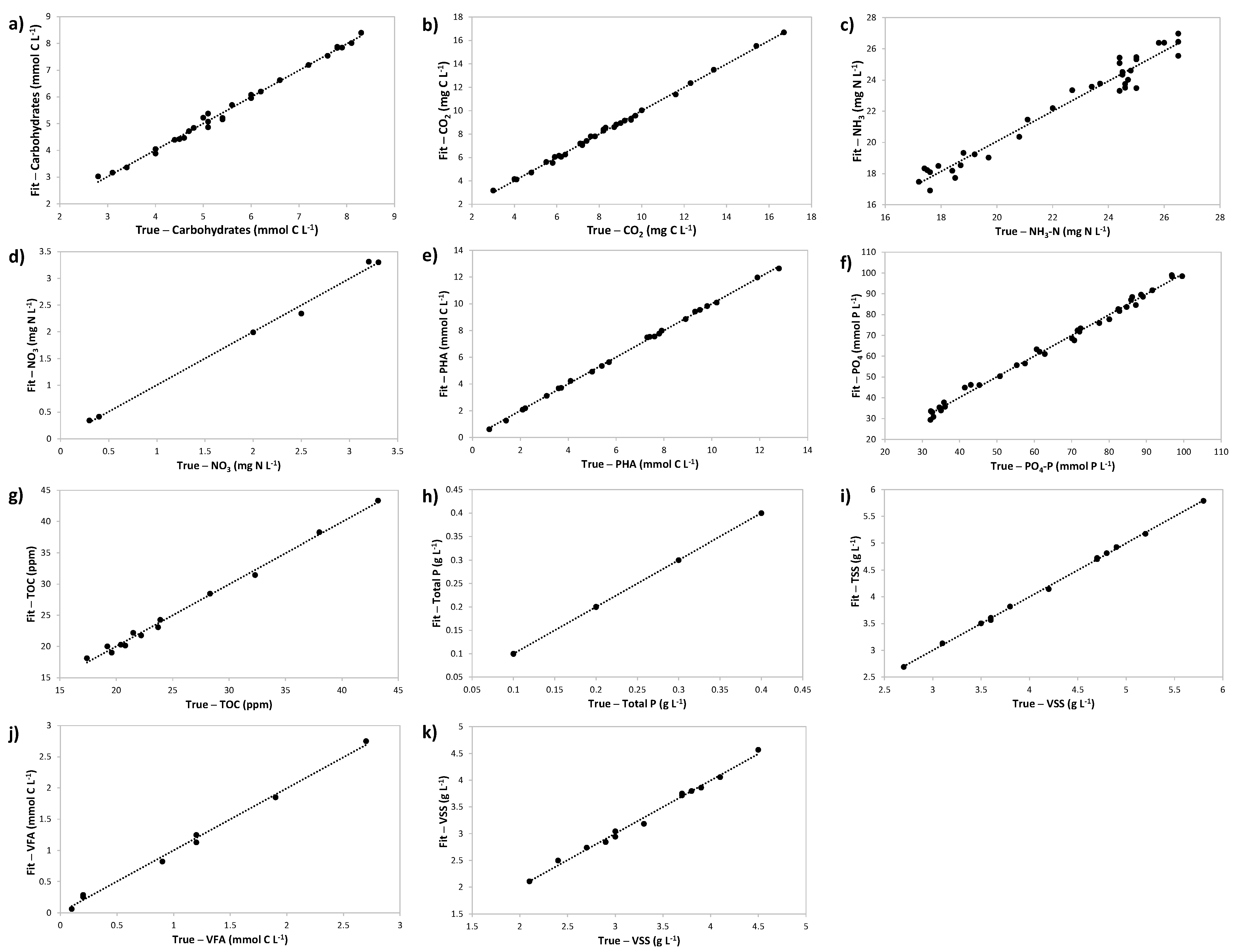
3.2. Evaluation of PLS Calibration Models
3.3. Nitrate (NO3)
3.4. Ammonia (NH3)
3.5. Phosphate (PO4) and Total Phosphorus (Total P)
3.6. Total Carbohydrates and Polyhydroxyalkanoates (PHAs)
3.7. Volatile Fatty Acids (VFA) and Total Organic Carbon (TOC)
3.8. Total Suspended Solids (TSSs) and Volatile Suspended Solids (VSSs)
3.9. Carbon Dioxide (CO2)
4. Conclusions
Supplementary Materials
Author Contributions
Funding
Data Availability Statement
Acknowledgments
Conflicts of Interest
References
- Taziki, M.; Ahmadzadeh, H.; Murry, M.A.; Lyon, S.R. Nitrate and Nitrite Removal from Wastewater using Algae. Curr. Biotechnol. 2016, 4, 426–440. [Google Scholar] [CrossRef]
- Izadi, P.; Eldyasti, A. Design, operation and technology configurations for enhanced biological phosphorus removal (EBPR) process: A review. Rev. Environ. Sci. Bio/Technol. 2020, 19, 561–593. [Google Scholar] [CrossRef]
- Mohsenpour, S.F.; Hennige, S.; Willoughby, N.; Adeloye, A.; Gutierrez, T. Integrating micro-algae into wastewater treatment: A review. Sci. Total Environ. 2021, 752, 142168. [Google Scholar] [CrossRef] [PubMed]
- Rosso, D.; Larson, L.E.; Stenstrom, M. Aeration of large-scale municipal wastewater treatment plants: State of the art. Water Sci. Technol. 2008, 57, 973–978. [Google Scholar] [CrossRef] [PubMed]
- Luo, L.; Dzakpasu, M.; Yang, B.; Zhang, W.; Yang, Y.; Wang, X.C. A novel index of total oxygen demand for the comprehensive evaluation of energy consumption for urban wastewater treatment. Appl. Energy 2019, 236, 253–261. [Google Scholar] [CrossRef]
- Capson-Tojo, G.; Batstone, D.J.; Grassino, M.; Vlaeminck, S.E.; Puyol, D.; Verstraete, W.; Kleerebezem, R.; Oehmen, A.; Ghimire, A.; Pikaar, I.; et al. Purple phototrophic bacteria for resource recovery: Challenges and opportunities. Biotechnol. Adv. 2020, 43, 107567. [Google Scholar] [CrossRef] [PubMed]
- Hülsen, T.; Batstone, D.; Keller, J. Phototrophic bacteria for nutrient recovery from domestic wastewater. Water Res. 2014, 50, 18–26. [Google Scholar] [CrossRef] [PubMed]
- Winkler, M.K.; Straka, L. New directions in biological nitrogen removal and recovery from wastewater. Curr. Opin. Biotechnol. 2019, 57, 50–55. [Google Scholar] [CrossRef] [PubMed]
- Muñoz, R.; Guieysse, B. Algal–bacterial processes for the treatment of hazardous contaminants: A review. Water Res. 2006, 40, 2799–2815. [Google Scholar] [CrossRef]
- Toledo-Cervantes, A.; Posadas, E.; Bertol, I.; Turiel, S.; Alcoceba, A.; Muñoz, R. Assessing the influence of the hydraulic retention time and carbon/nitrogen ratio on urban wastewater treatment in a new anoxic-aerobic algal-bacterial photobioreactor configuration. Algal Res. 2019, 44, 101672. [Google Scholar] [CrossRef]
- Liu, L.; Fan, H.; Liu, Y.; Liu, C.; Huang, X. Development of algae-bacteria granular consortia in photo-sequencing batch reactor. Bioresour. Technol. 2017, 232, 64–71. [Google Scholar] [CrossRef]
- Muñoz, R.; Jacinto, M.; Guieysse, B.; Mattiasson, B. Combined carbon and nitrogen removal from acetonitrile using algal-bacterial bioreactors. Appl. Microbiol. Biotechnol. 2005, 67, 699–707. [Google Scholar] [CrossRef]
- Carvalho, V.; Freitas, E.; Silva, P.; Fradinho, J.; Reis, M.A.; Oehmen, A. The impact of operational strategies on the performance of a photo-EBPR system. Water Res. 2018, 129, 190–198. [Google Scholar] [CrossRef]
- Carvalho, V.; Kessler, M.; Fradinho, J.; Oehmen, A.; Reis, M. Achieving nitrogen and phosphorus removal at low C/N ratios without aeration through a novel phototrophic process. Sci. Total Environ. 2021, 793, 148501. [Google Scholar] [CrossRef]
- Lourenço, N.D.; Lopes, J.; Almeida, C.F.; Sarraguça, M.; Pinheiro, H. Bioreactor monitoring with spectroscopy and chemometrics: A review. Anal. Bioanal. Chem. 2012, 404, 1211–1237. [Google Scholar] [CrossRef]
- Veloso, A.C.A.; Ferreira, E.C. Online Analysis for Industrial Bioprocesses. Curr. Dev. Biotechnol. Bioeng. 2017, 23, 679–704. [Google Scholar] [CrossRef] [Green Version]
- Barra, I.; Haefele, S.M.; Sakrabani, R.; Kebede, F. Soil spectroscopy with the use of chemometrics, machine learning and pre-processing techniques in soil diagnosis: Recent advances—A review. TrAC Trends Anal. Chem. 2021, 135, 116166. [Google Scholar] [CrossRef]
- Ianoul, A.; Coleman, T.; Asher, S.A. UV Resonance Raman Spectroscopic Detection of Nitrate and Nitrite in Wastewater Treatment Processes. Anal. Chem. 2002, 74, 1458–1461. [Google Scholar] [CrossRef] [PubMed]
- Paudel, A.; Raijada, D.; Rantanen, J. Raman spectroscopy in pharmaceutical product design. Adv. Drug Deliv. Rev. 2015, 89, 3–20. [Google Scholar] [CrossRef] [PubMed] [Green Version]
- Kozma, B.; Hirsch, E.; Gergely, S.; Párta, L.; Pataki, H.; Salgó, A. On-line prediction of the glucose concentration of CHO cell cultivations by NIR and Raman spectroscopy: Comparative scalability test with a shake flask model system. J. Pharm. Biomed. Anal. 2017, 145, 346–355. [Google Scholar] [CrossRef] [PubMed]
- Claßen, J.; Aupert, F.; Reardon, K.F.; Solle, D.; Scheper, T. Spectroscopic sensors for in-line bioprocess monitoring in research and pharmaceutical industrial application. Anal. Bioanal. Chem. 2016, 409, 651–666. [Google Scholar] [CrossRef]
- Esmonde-White, K.A.; Cuellar, M.; Uerpmann, C.; Lenain, B.; Lewis, I.R. Raman spectroscopy as a process analytical technology for pharmaceutical manufacturing and bioprocessing. Anal. Bioanal. Chem. 2017, 409, 637–649. [Google Scholar] [CrossRef] [Green Version]
- Foladori, P.; Petrini, S.; Andreottola, G. How suspended solids concentration affects nitrification rate in microalgal-bacterial photobioreactors without external aeration. Heliyon 2020, 6, e03088. [Google Scholar] [CrossRef] [PubMed] [Green Version]
- Majed, N.; Gu, A.Z. Application of Raman Microscopy for Simultaneous and Quantitative Evaluation of Multiple Intracellular Polymers Dynamics Functionally Relevant to Enhanced Biological Phosphorus Removal Processes. Environ. Sci. Technol. 2010, 44, 8601–8608. [Google Scholar] [CrossRef] [PubMed]
- Li, Y.; Cope, H.A.; Rahman, S.M.; Li, G.; Nielsen, P.H.; Elfick, A.P.D.; Gu, A.Z. Toward Better Understanding of EBPR Systems via Linking Raman-Based Phenotypic Profiling with Phylogenetic Diversity. Environ. Sci. Technol. 2018, 52, 8596–8606. [Google Scholar] [CrossRef] [PubMed]
- Guo, G.; Wu, D.; Ekama, G.A.; Ivleva, N.P.; Hao, X.; Dai, J.; Cui, Y.; Biswal, B.K.; Chen, G. Investigation of multiple polymers in a denitrifying sulfur conversion-EBPR system: The structural dynamics and storage states. Water Res. 2019, 156, 179–187. [Google Scholar] [CrossRef]
- Fernando, E.; McIlroy, S.J.; Nierychlo, M.; Herbst, F.-A.; Petriglieri, F.; Schmid, M.C.; Wagner, M.; Nielsen, J.L.; Nielsen, P.H. Resolving the individual contribution of key microbial populations to enhanced biological phosphorus removal with Raman–FISH. ISME J. 2019, 13, 1933–1946. [Google Scholar] [CrossRef] [Green Version]
- Moudříková, Š.; Mojzeš, P.; Zachleder, V.; Pfaff, C.; Behrendt, D.; Nedbal, L. Raman and fluorescence microscopy sensing energy-transducing and energy-storing structures in microalgae. Algal Res. 2016, 16, 224–232. [Google Scholar] [CrossRef]
- Samek, O.; Obruča, S.; Šiler, M.; Sedláček, P.; Benešová, P.; Kučera, D.; Márova, I.; Ježek, J.; Bernatová, S.; Zemánek, P. Quantitative Raman Spectroscopy Analysis of Polyhydroxyalkanoates Produced by Cupriavidus necator H16. Sensors 2016, 16, 1808. [Google Scholar] [CrossRef] [Green Version]
- Carvalheira, M.; Oehmen, A.; Carvalho, G.; Reis, M.A. The effect of substrate competition on the metabolism of polyphosphate accumulating organisms (PAOs). Water Res. 2014, 64, 149–159. [Google Scholar] [CrossRef]
- Gschwind, B.; Ménard, L.; Albuisson, M.; Wald, L. Converting a successful research project into a sustainable service: The case of the SoDa Web service. Environ. Model. Softw. 2006, 21, 1555–1561. [Google Scholar] [CrossRef] [Green Version]
- Lanham, A.B.; Ricardo, A.R.; Coma, M.; Fradinho, J.; Carvalheira, M.; Oehmen, A.; Carvalho, G.; Reis, M.A. Optimisation of glycogen quantification in mixed microbial cultures. Bioresour. Technol. 2012, 118, 518–525. [Google Scholar] [CrossRef]
- Lanham, A.B.; Ricardo, A.R.; Albuquerque, M.G.; Pardelha, F.; Carvalheira, M.; Coma, M.; Fradinho, J.; Carvalho, G.; Oehmen, A.; Reis, M.A. Determination of the extraction kinetics for the quantification of polyhydroxyalkanoate monomers in mixed microbial systems. Process. Biochem. 2013, 48, 1626–1634. [Google Scholar] [CrossRef]
- American Public Health Association/American Water Works Association/Water Environment Federation (APHA/AWWA/WEF). Standard Methods for the Examination of Water and Wastewater, 21st ed.; APHA/AWWA/WEF: Washington, DC, USA, 2005; ISBN 0875532357. [Google Scholar]
- Dias, J.M.; Pardelha, F.; Eusébio, M.; Reis, M.A.; Oliveira, R. On-line monitoring of PHB production by mixed microbial cultures using respirometry, titrimetry and chemometric modelling. Process. Biochem. 2009, 44, 419–427. [Google Scholar] [CrossRef]
- Lueker, T.J.; Dickson, A.G.; Keeling, C.D. Ocean pCO2 calculated from dissolved inorganic carbon, alkalinity, and equations for K1 and K2: Validation based on laboratory measurements of CO2 in gas and seawater at equilibrium. Mar. Chem. 2000, 70, 105–119. [Google Scholar] [CrossRef]
- Ludwig, B.; Murugan, R.; Parama, V.R.R.; Vohland, M. Accuracy of Estimating Soil Properties with Mid-Infrared Spectroscopy: Implications of Different Chemometric Approaches and Software Packages Related to Calibration Sample Size. Soil Sci. Soc. Am. J. 2019, 83, 1542–1552. [Google Scholar] [CrossRef] [Green Version]
- Mendes, T.D.O.; Rodrigues, B.V.M.; Porto, B.L.S.; da Rocha, R.A.; de Oliveira, M.A.L.; de Castro, F.K.; Anjos, V.D.C.D.; Bell, M.J.V. Raman Spectroscopy as a fast tool for whey quantification in raw milk. Vib. Spectrosc. 2020, 111, 103150. [Google Scholar] [CrossRef]
- Movasaghi, Z.; Rehman, S.; Rehman, I.U. Raman Spectroscopy of Biological Tissues. Appl. Spectrosc. Rev. 2007, 42, 493–541. [Google Scholar] [CrossRef]
- Ma, H.; Xue, Y.; Zhang, Y.; Kobayashi, T.; Kubota, K.; Li, Y.-Y. Simultaneous nitrogen removal and phosphorus recovery using an anammox expanded reactor operated at 25 °C. Water Res. 2020, 172, 115510. [Google Scholar] [CrossRef]
- Majed, N.; Gu, A.Z. Phenotypic dynamics in polyphosphate and glycogen accumulating organisms in response to varying influent C/P ratios in EBPR systems. Sci. Total Environ. 2020, 743, 140603. [Google Scholar] [CrossRef]
- Kobayashi, T.; Yamamoto, J.; Hirajima, T.; Ishibashi, H.; Hirano, N.; Lai, Y.; Prikhod’Ko, V.S.; Arai, S. Conformity and precision of CO2 densimetry in CO2 inclusions: Microthermometry versus Raman microspectroscopic densimetry. J. Raman Spectrosc. 2012, 43, 1126–1133. [Google Scholar] [CrossRef]
- Jost, V.; Schwarz, M.; Langowski, H.-C. Investigation of the 3-hydroxyvalerate content and degree of crystallinity of P3HB-co-3HV cast films using Raman spectroscopy. Polymer 2017, 133, 160–170. [Google Scholar] [CrossRef]
- Izumi, C.; Temperini, M.L.A. FT-Raman investigation of biodegradable polymers: Poly(3-hydroxybutyrate) and poly(3-hydroxybutyrate-co-3-hydroxyvalerate). Vib. Spectrosc. 2010, 54, 127–132. [Google Scholar] [CrossRef]
- De Gelder, J.; Willemse-Erix, D.; Scholtes, M.J.; Sanchez, J.I.; Maquelin, K.; Vandenabeele, P.; De Boever, P.; Puppels, G.J.; Moens, L.; De Vos, P. Monitoring Poly(3-hydroxybutyrate) Production in Cupriavidus necator DSM 428 (H16) with Raman Spectroscopy. Anal. Chem. 2008, 80, 2155–2160. [Google Scholar] [CrossRef] [PubMed]
- Valverde Perez, B. Wastewater Resource Recovery via the Enhanced Biological Phosphorus Removal and Recovery (EBP2R) Process Coupled with Green Microalgae Cultivation. Ph.D. Thesis, Technical University of Denmark, DTU Environment, Lyngby, Denmark, 2015. [Google Scholar]
- Moros, J.; Garrigues, S.; de la Guardia, M. Evaluation of nutritional parameters in infant formulas and powdered milk by Raman spectroscopy. Anal. Chim. Acta 2007, 593, 30–38. [Google Scholar] [CrossRef] [PubMed]



| Calibration | Cross-Validation | |||||||||||
|---|---|---|---|---|---|---|---|---|---|---|---|---|
| Parameter | n | Range | Spectral Regions (cm−1) | Pre-Processing a | LV | R2Cal (%) | RMSEC b | RPDCal | R2CV (%) | RMSECV b | RPDCV | Bias |
| Carbohydrates | 28 | 2.8–8.3 mmolC L−1 | 1200.0–1159.5 999.4–959.0 920.3–878.0 839.4–798.9 | n.a.p. | 7 | 99.4 | 0.15 | 12.5 | 88.2 | 0.53 | 2.9 | −0.012 |
| CO2 | 33 | 3.0–16.7 g L−1 | 1450.3–1398.8 1374.8–1297.6 | MSC | 8 | 99.8 | 0.16 | 21.9 | 90.0 | 0.96 | 3.2 | 0.063 |
| NH3 | 37 | 17.2–26.5 mgN L−1 | 2677.7–1685.8 1439.2–1189.0 944.2–199.0 | 1st Der + MSC | 8 | 96.2 | 0.72 | 5.2 | 65.5 | 1.89 | 1.7 | −0.018 |
| NO3 | 6 | 0.3–3.3 mgN L−1 | 1080.4–1069.4 | n.a.p | 3 | 99.6 | 0.14 | 14.9 | 97.7 | 0.18 | 6.7 | −0.028 |
| PHA | 24 | 0.7–12.8 mmolC L−1 | 1001.3–898.2 850.4–798.9 491.6–464.0 | 1st Der + SNV | 9 | 99.9 | 0.12 | 37.6 | 95.9 | 0.71 | 5.0 | −0.011 |
| PO4 | 36 | 32.2–99.6 mgP L−1 | 1030.7–940.6 670.1–579.9 | n.a.p. | 8 | 99.4 | 1.95 | 13.1 | 70.0 | 12.10 | 1.8 | 0.364 |
| TOC | 13 | 17.4–43.2 ppm | 1501.8–1349.1 1051.0–898.2 751.0–598.3 | COE | 5 | 99.5 | 0.76 | 13.6 | 96.7 | 1.38 | 5.5 | 0.070 |
| Total P | 11 | 0.1–0.4 g L−1 | 1179.8–1168.7 1159.5–1139.3 | 1st Der + MSC | 9 | 100.0 | 0.00 | 323.0 | 99.0 | 0.01 | 10.3 | 0.001 |
| TSS | 13 | 2.7–5.8 g L−1 | 1801.8–1698.7 1601.2–1500.0 1100.7–999.4 | SNV | 5 | 99.9 | 0.03 | 34.2 | 97.5 | 0.14 | 6.3 | −0.003 |
| VFA | 8 | 0.1–2.7 mmolC L−1 | 1934.2–1685.8 944.2–694.0 | n.a.p. | 4 | 99.5 | 0.10 | 13.9 | 95.4 | 0.18 | 4.7 | 0.027 |
| VSS | 13 | 2.1–4.5 g L−1 | 1901.1–1500.0 1400.6–1299.4 1100.7–999.4 | Min–Max | 5 | 99.3 | 0.08 | 11.6 | 93.9 | 0.17 | 4.1 | −0.019 |
Publisher’s Note: MDPI stays neutral with regard to jurisdictional claims in published maps and institutional affiliations. |
© 2021 by the authors. Licensee MDPI, Basel, Switzerland. This article is an open access article distributed under the terms and conditions of the Creative Commons Attribution (CC BY) license (https://creativecommons.org/licenses/by/4.0/).
Share and Cite
Franca, R.D.G.; Carvalho, V.C.F.; Fradinho, J.C.; Reis, M.A.M.; Lourenço, N.D. Raman Spectrometry as a Tool for an Online Control of a Phototrophic Biological Nutrient Removal Process. Appl. Sci. 2021, 11, 6600. https://doi.org/10.3390/app11146600
Franca RDG, Carvalho VCF, Fradinho JC, Reis MAM, Lourenço ND. Raman Spectrometry as a Tool for an Online Control of a Phototrophic Biological Nutrient Removal Process. Applied Sciences. 2021; 11(14):6600. https://doi.org/10.3390/app11146600
Chicago/Turabian StyleFranca, Rita D. G., Virgínia C. F. Carvalho, Joana C. Fradinho, Maria A. M. Reis, and Nídia D. Lourenço. 2021. "Raman Spectrometry as a Tool for an Online Control of a Phototrophic Biological Nutrient Removal Process" Applied Sciences 11, no. 14: 6600. https://doi.org/10.3390/app11146600
APA StyleFranca, R. D. G., Carvalho, V. C. F., Fradinho, J. C., Reis, M. A. M., & Lourenço, N. D. (2021). Raman Spectrometry as a Tool for an Online Control of a Phototrophic Biological Nutrient Removal Process. Applied Sciences, 11(14), 6600. https://doi.org/10.3390/app11146600

